

1、单选题:
下列说法正确的是:
选项:
A: 电场强度定义为
,因此可以说某点的电场强度取决于试探电荷所受的力;
B:
场强的方向可由
定出,其中
可正、可负;
C: 一点的场强方向就是该点的试探电荷所受电场力的方向;
D: 在以点电荷为心的球面上,由该点电荷所产生的场强处处相等;
答案: 【
场强的方向可由
定出,其中
可正、可负;
】
2、单选题:
如图,一总电量为正的导体球,它的附近P点产生的场强为
,现将一点电荷
引入P点。实际测得它受力为
,设
,且其电量不是足够小,正确的是 。

选项:
A: 
B: 
C: 
D: 不确定
答案: 【
】
3、单选题:
不导电的塑料被弯成一个不闭合的圆环,所留空隙为1cm,圆环半径为0.6m。该环带电量为
C正电荷,并在环上均匀分布,则环心处的电场强度为 。(从下面选择正确的答案)
已知常数

选项:
A: 方向背离空隙,大小为
B: 0
C: 方向指向空隙,大小为
D: 方向指向空隙,大小为
答案: 【 方向指向空隙,大小为
】
4、单选题:
如图所示,一个正负电荷相等的电偶极子处于外加电场中,问以下哪一个图中的偶极子所受的合力为零?

选项:
A: b和d。
B: a和c。
C: c和d。
D: 其他。
E: 其它选项都不对。
答案: 【 c和d。】
5、单选题:
用细线悬挂三个带电泡沫小球,实验发现球1和球2互相吸引,而球2和球3互相吸引,由此可知
选项:
A: 球1和球3带异种电荷。
B: 球1和球3带同种电荷。
C: 三个小球都带有同种电荷。
D: 需要更多的实验才能证明。
答案: 【 球1和球3带同种电荷。】
6、单选题:
氢原子由一个电子和一个质子组成。两者之间所受的静电力远大于万有引力。问能否调整两者之间的距离使它们之间的电场力和万有引力相等?
选项:
A: 可以,增大两者之间的距离。
B: 可以,减小两者之间的距离。
C: 不可以,找不到合适的位置。
D: 若将质子看成电荷均匀分布的均质小球,则有可能。
答案: 【 不可以,找不到合适的位置。】
7、单选题:
在正方形的顶点上各放一个电荷量相同的同性点电荷q,在中心放一点电荷Q,使顶点上每个电荷受到的合力恰为零,则Q是q多少倍?
选项:
A: 
B: 
C: 
D: 
答案: 【
】
8、单选题:
均匀带电圆环的半径为R,总电量为q,在过圆心O的垂直于圆平面的轴线上,距离O点多远时场强最大?
选项:
A: 0
B: 
C: 
D: 
E: 
答案: 【
】
9、多选题:
关于静电力,下面哪个是不正确的?
选项:
A: 随着两个带电粒子之间的距离平方的倒数增加而减少。
B: 电子和质子之间的静电力远大于它们之间的引力。
C: 距离为d的两个质子之间的静电力大于距离同样为d的两个电子之间的静电力。
D: 静电力规律只对静止电荷才成立。
答案: 【 随着两个带电粒子之间的距离平方的倒数增加而减少。;
距离为d的两个质子之间的静电力大于距离同样为d的两个电子之间的静电力。;
静电力规律只对静止电荷才成立。】
1、单选题:
关于位移电流,以下说法错误的是:
选项:
A: 位移电流可以激发磁场。
B: 位移电流实质是变化的电场。
C: 位移电流可以产生热效应。
D: 电容中没有传导电流,但可以有位移电流。
答案: 【 位移电流可以产生热效应。】
2、单选题:
电容器充电达到恒定电压状态,此时电容器内部的位移电流:
选项:
A: 与充电过程中最大电流值相同。
B: 等于零。
C: 产生了磁场。
D: 边缘处与中心处大小不同。
答案: 【 等于零。】
3、单选题:
如图,电源电动势
,
,
,则开关接通的瞬间,电容器极板间的位移电流为:

选项:
A: 2 A。
B: 1 A。
C: 20A。
D: 10A。
答案: 【 2 A。】
4、单选题:
真空中,一列平面电磁波沿着
轴正方向传播,电场强度
方向沿着
轴正方向,则磁感应强度
方向为:
选项:
A:
轴正方向。
B:
轴负方向。
C:
轴正方向。
D:
轴负方向。
答案: 【
轴正方向。】
5、单选题:
真空中的一列平面电磁波,已知电场强度和磁感应强度的时间变化圆频率为
,则坡印廷矢量的时间变化圆频率为:
选项:
A:
。
B:
。
C:
。
D:
。
答案: 【
。】
6、单选题:
关于电磁波产生的条件,以下说法正确的是:
选项:
A: 电场随时间的变化为常数时,可以形成电磁波。
B: 磁场随时间的变化为常数时,可以形成电磁波。
C: 电磁波的传播需要介质。
D: 电磁波的传播不需要介质。
答案: 【 电磁波的传播不需要介质。】
7、单选题:
用LC串联电路产生持续的电磁波辐射时,以下说法错误的是:
选项:
A: 辐射频率要达到谐振频率。
B: 电路是开放电路,即打开电容产生向外的能流。
C: 通过电源不断补偿辐射的损失。
D: 不需要电源,辐射的损失由电感中储存的磁能补充。
答案: 【 不需要电源,辐射的损失由电感中储存的磁能补充。】
8、多选题:
以下说法错误的是:
选项:
A: 真空中电磁波速最大。
B: 线性均匀介质磁导率越大,电磁波速越大。
C: 线性均匀介质介电常数越大,电磁波速越大。
D: 存在各向异性的介质,即电磁波在其中传播时不同方向速度不同。
答案: 【 线性均匀介质磁导率越大,电磁波速越大。;
线性均匀介质介电常数越大,电磁波速越大。】
9、多选题:
关于真空中电磁波,以下说法正确的是:
选项:
A: 电场和磁场的能量密度相同。
B: 电场的能量密度远大于磁场的能量密度。
C: 磁场的能量密度远大于电场的能量密度。
D: 电磁波的传播伴随着能量和动量的传播。
答案: 【 电场和磁场的能量密度相同。;
电磁波的传播伴随着能量和动量的传播。】
10、多选题:
关于真空中电磁波的能流密度矢量,以下说法正确的是:
选项:
A: 能流沿着电场强度方向。
B: 能流沿着磁场强度方向。
C: 能流沿着波矢
正方向。
D: 能流传播方向既垂直于磁场方向,又垂直于电场方向。
答案: 【 能流沿着波矢
正方向。;
能流传播方向既垂直于磁场方向,又垂直于电场方向。】
1、单选题:
如图所示,图中为四种不同的电场分布,假定图中没有电荷。那么哪个图表示的是静电场?

选项:
A: b和d
B: a和c
C: b和c
D: b
E: 没有
答案: 【 b】
2、单选题:
以下正确的说法是
选项:
A: 闭合面上各点场强为零时,面内必没有电荷;
B: 闭合面内总电量为零时,面上各点的场强必为零;
C: 闭合面上的场强不仅仅由面内的电荷激发;
D: 闭合曲面的通量为零时,面上各点的场强必为零;
答案: 【 闭合面上的场强不仅仅由面内的电荷激发;】
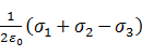
3、单选题:
三个互相平行的无限大平面,都均匀带有正电荷,平面上的电荷面密度分别为
、
、
(如图),以x方向为正,则区域Ⅱ的电场强度为

选项:
A: 
B: 
C: 
D: 
答案: 【
】
4、单选题:
在场强为
的均匀电场中,将带有电荷密度为
的大薄板沿
的方向放置在电场中,板的法线方向与
备案号:冀ICP备20010840号 2020-2099辉辉网络科技 All Rights Reserved