

1、单选题:
图示结构A支座处的反力为:

选项:
A: 
B: 
C: 
D: 
答案: 【
】
2、单选题:
图示结构C截面弯矩为:

选项:
A: 0
B: 
C: 
D: 
答案: 【 0】
3、单选题:
图示结构中B结点的弯矩是:

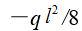
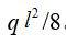
选项:
A: 外侧受拉
B: 内侧受拉
C: 数值为零
D: 以上三种可能都存在
答案: 【 以上三种可能都存在】
4、单选题:
图示结构中:

选项:
A: 
B: 
C: 
D: 
答案: 【
】
5、单选题:
图示结构支座处A 截面的弯矩和跨中C 截面的弯矩分别为(设下面受拉为正):

选项:
A: 
B: 
C: 
D: 
答案: 【
】
6、单选题:
静定结构的内力计算与结构中杆件的:
选项:
A: EI 无关
B: EI 相对值有关
C: EI 绝对值有关
D: E无关,I 有关
答案: 【 EI 无关】
7、单选题:
图示多跨静定梁截面C的弯矩值等于:

选项:
A: Pl(上侧受拉)
B: Pl(下侧受拉)
C: Pl/2(上侧受拉)
D: Pl/2(下侧受拉)
答案: 【 Pl/2(下侧受拉)】
8、单选题:
图示结构K 处下侧截面的剪力为:

选项:
A: 0
B: P
C: -P
D: P/2
答案: 【 0】
9、单选题:
作用于多跨静定梁基本部分上的荷载在附属部分上
选项:
A: 绝对不产生内力
B: 一般不产生内力
C: 一般会产生内力
D: 一定会产生内力
答案: 【 绝对不产生内力】
10、单选题:
图示结构 K 截面的弯矩(设下面受拉为正)为:

选项:
A: 
B: 
C: 
D: 
答案: 【
】
11、单选题:
图示结构中,CA 杆C 截面的弯矩和CB 杆C 截面的剪力为:

选项:
A: 
B: 
C: 
D: 
答案: 【
】
12、单选题:
图示刚架BC杆B截面处的杆端弯矩为:

选项:
A: 80kN·m(下侧受拉)
B: 40kN·m(下侧受拉)
C: 80kN·m (上侧受拉)
D: 40kN·m (上侧受拉)
答案: 【 80kN·m(下侧受拉)】
13、单选题:
选择正确的弯矩图。
选项:
A: 
B: 
C: 
D: 
答案: 【
】
14、单选题:
图示结构支座B的反力矩(以右侧受拉为正)是

选项:
A: 
B: 
C: 
D: 
答案: 【
】
15、单选题:
图示结构K截面弯矩值为:

选项:
A: 10kN·m (右侧受拉)
B: 10kN·m(左侧受拉)
C: 12kN·m (左侧受拉)
D: 12kN·m (右侧受拉)
答案: 【 12kN·m (右侧受拉)】
16、单选题:
图示结构中,EG杆E段的弯矩和BA杆B端的剪力全对的是:

选项:
A: 
B: 
C: 
D: 
答案: 【
】
17、单选题:
图示结构B点杆端弯矩(设内侧受拉为正)为:

选项:
A: 
B: 
C: 
D: 
答案: 【
】
18、单选题:
图示刚架CD杆C 截面的弯矩为:
选项:
A: 0
B: -Pl(上拉)
C: Pl(下拉)
D: -2Pl(上拉)
答案: 【 0】
19、单选题:
图示结构BA杆B 截面的杆端弯矩(设左侧受拉为正)为:

选项:
A: 2Pa
B: Pa
C: 3Pa
D: -3Pa
答案: 【 3Pa】
20、单选题:
图示结构DC杆D截面的弯矩(设下侧受拉为正)为:

选项:
A: -Pa
B: Pa
C: -Pa/2
D: Pa/2
答案: 【 -Pa/2】
21、单选题:
图示结构支座A 的反力(向上为正)是:

选项:
A: -P
B: -2P/3
C: -P/3
D: 0
答案: 【 0】
22、单选题:


选项:
A: 0
B: 1kN·m,右侧受拉
C: 2kN·m,右侧受拉
D: 1kN·m,左侧受拉
答案: 【 2kN·m,右侧受拉】
23、单选题:


选项:
A: 
B: 
C: 
D: 
答案: 【
】
24、单选题:
图示多跨静定梁,截面K的弯矩为(下侧受拉为正):

选项:
A: 5kN·m
B: 9kN·m
C: 13kN·m
D: 6kN·m
答案: 【 5kN·m】
25、单选题:
选择正确的M 图。
选项:
A: 
B: 
C: 
D: 
答案: 【
】
1、判断题:
图示结构的支座反力是正确的。

选项:
A: 正确
B: 错误
答案: 【 错误】
1、单选题:
在某一平面内运动,没有受到约束的点,即平面自由点,具有 个自由度。
选项:
A: 0
B: 1
C: 2
D: 3
答案: 【 2】
2、单选题:
在某一平面内运动,没有受到约束的刚体,即平面自由刚体,具有 个自由度。
选项:
A: 0
B: 1
C: 2
D: 3
答案: 【 3】
3、单选题:
一个连接3个杆件的铰,相当于 个约束。
选项:
A: 1
B: 2
C: 3
D: 4
答案: 【 4】
4、判断题:
几何不变体系的计算自由度一定等于零。
选项:
A: 正确
B: 错误
答案: 【 错误】
5、判断题:
有多余约束的体系一定是几何不变体系。
选项:
A: 正确
B: 错误
答案: 【 错误】
1、判断题:
几何可变体系在任何荷载作用下都不能平衡。
选项:
A: 正确
B: 错误
答案: 【 错误】
2、判断题:
一个刚片可以是一根杆或者是由几个刚片组成的几何不变体系。
选项:
A: 正确
B: 错误
答案: 【 正确】
1、单选题:
图示平面体系的几何组成性质是:

选项:
A: 几何不变,且无多余联系的
B: 几何不变,且有多余联系的
C: 几何可变的
D: 瞬变的
答案: 【 几何不变,且无多余联系的】
2、单选题:
判断图示体系的几何性质( )

选项:
A: 几何常变体系
B: 几何瞬变体系
C: 几何不变,无多余约束 体系
D: 几何不变,有多余约束体系
答案: 【 几何不变,无多余约束 体系】
3、判断题:
图示体系是几何不变体系。

选项:
A: 正确
B: 错误
答案: 【 错误】
1、单选题:
三个刚片用三个铰两两相互联结而成的体系是:
选项:
A: 几何不变
B: 几何常变
C: 几何瞬变
D: 几何不变、几何常变或几何瞬变
答案: 【 几何不变、几何常变或几何瞬变】
2、判断题:
三刚片由三个单铰或任意六根链杆两两相联,体系必为几何不变。
选项:
A: 正确
B: 错误
答案: 【 错误】
3、判断题:
三个刚片用不在同一直线上的三个虚铰两两相联,则所组成的体系是无多余约束的几何不变体系。
选项:
A: 正确
B: 错误
答案: 【 正确】
4、判断题:
图示体系按三刚片法则分析,三铰共线,故为几何瞬变体系。

选项:
A: 正确
B: 错误
答案: 【 错误】
5、判断题:
几何瞬变体系产生的运动非常微小并很快就转变成几何不变体系,因而可以用 作工程结构。
选项:
A: 正确
B: 错误
答案: 【 错误】
1、单选题:
两个刚片,用三根链杆联结而成的体系是:
选项:
A: 几何常变
B: 几何不变
C: 几何瞬变
D: 几何不变或几何常变或几何瞬变
答案: 【 几何不变或几何常变或几何瞬变】
2、判断题:
两刚片用汇交于一点的三根链杆相联,可组成几何不变体系。
选项:
A: 正确
B: 错误
答案: 【 错误】
3、判断题:
图示体系为几何可变体系。

选项:
A: 正确
B: 错误
答案: 【 错误】
4、判断题:
图示体系是几何不变体系。

选项:
A: 正确
B: 错误
答案: 【 错误】
5、判断题:
图中链杆1和2的交点O为虚铰。

选项:
A: 正确
B: 错误
答案: 【 错误】
1、单选题:
下图结构体系为( )

选项:
A: 几何可变体系
B: 几何不变体系无多余约束
C: 几何瞬变体系
D: 几何不变有多余约束
答案: 【 几何不变体系无多余约束】
2、单选题:
下图结构体系为( )

选项:
A: 几何可变体系
B: 几何不变体系无多余约束
C: 瞬变体系
D: 几何不变有多余约束
答案: 【 瞬变体系】
3、单选题:
下图结构体系为( )

选项:
A: 几何常变体系
B: 几何不变体系无多余约束
C: 瞬变体系
D: 几何不变有多余约束
答案: 【 几何常变体系】
4、单选题:
下图体系为( )

选项:
A: 几何可变
B: 几何不变无多余约束
C: 瞬变
D: 几何不变无多约束
答案: 【 瞬变】
5、单选题:
下图体系为( )

选项:
A: 几何不变有多余约束
B: 几何可变
C: 几何不变无多余约束
D: 瞬变
答案: 【 几何可变】
6、单选题:
下图体系为( )

选项:
A: 几何常变
B: 几何不变无多余约束
C: 瞬变
D: 几何不变有多余约束
答案: 【 几何不变无多余约束】
1、单选题:
图示体系的几何组成情况为:

选项:
A: 无多余约束的几何不变体系
B: 几何瞬变体系
C: 几何常变体系
D: 有多余约束的几何不变体系
答案: 【 无多余约束的几何不变体系】
2、单选题:
图示体系的几何组成情况为:

选项:
A: 无多余约束的几何不变体系
B: 几何瞬变体系
C: 几何常变体系
D: 有多余约束的几何不变体系
答案: 【 几何瞬变体系】
3、判断题:
两刚片或三刚片组成几何不变体系的规则中,不仅指明了必需的约束数目,而且指明了这些约束必须满足的条件。
选项:
A: 正确
B: 错误
答案: 【 正确】
4、判断题:
在图示体系中,去掉1—5,3—5,4—5,2—5,四根链杆后,得简支梁12,故该体系为具有四个多余约束的几何不变体系。

选项:
A: 正确
B: 错误
答案: 【 错误】
5、判断题:
有些体系为几何可变体系,但却有多余约束存在。
选项:
A: 正确
B: 错误
答案: 【 正确】
6、判断题:
平面几何不变体系的三个基本组成规则是可以相互沟通的。
选项:
A: 正确
B: 错误
答案: 【 正确】
7、判断题:
图示平面体系,因A、B、C三铰共线,所以该体系是瞬变体系。

选项:
A: 正确
B: 错误
答案: 【 错误】
8、判断题:
图中AC杆和BC杆组成了一个二元体,在几何组成分析时可将该二元体去掉,则剩下的部分为常变体系,故原体系也是常变体系。

选项:
A: 正确
B: 错误
答案: 【 错误】
9、判断题:
有多余约束的体系一定是几何不变体系。
选项:
A: 正确
B: 错误
答案: 【 错误】
10、判断题:
两刚片或三刚片组成几何不变体系的规则中,不仅指明了必需的约束数目,而且指明了这些约束必需满足的几何条件。
选项:
A: 正确
B: 错误
答案: 【 正确】
1、单选题:
静定结构的几何特征是:
选项:
A: 无多余的约束
B: 几何不变体系
C: 运动自由度等于零
D: 几何不变且无多余约束
答案: 【 几何不变且无多余约束】
2、单选题:
备案号:冀ICP备20010840号 2020-2099辉辉网络科技 All Rights Reserved