

1、单选题:
设A, B, C为三个事件,则“A, B, C中至少有一个不发生”这一事件可表示为( )
选项:
A: 
B: A+B+C
C: A
D: 
答案: 【
】
2、判断题:
样本空间
也是随机事件.
选项:
A: 正确
B: 错误
答案: 【 正确】
3、判断题:
已知
与
是随机事件,则
.
选项:
A: 正确
B: 错误
答案: 【 错误】
4、判断题:
不可能事件
是任何事件的子事件.
选项:
A: 正确
B: 错误
答案: 【 正确】
1、单选题:
设1个人的生日等可能地分布在12个月内, 则6个人的生日恰好集中在1月和2月的概率为 .
选项:
A: 
B: 
C: 
D: 
答案: 【
】
2、判断题:
频率方法确定事件发生的概率就是将频率的极限定义为概率.
选项:
A: 正确
B: 错误
答案: 【 错误】
3、填空题:
从(0,1)中随机地取两个数, 则这两数之和小于1.2的概率为_________.
答案: 【 0.68】
1、判断题:
设A和B是随机事件,则
.
选项:
A: 正确
B: 错误
答案: 【 错误】
2、判断题:
若P(AB)=0, 则AB是不可能事件。
选项:
A: 正确
B: 错误
答案: 【 错误】
3、判断题:
若P(AB)=0, 则A和B是互不相容的。
选项:
A: 正确
B: 错误
答案: 【 错误】
4、判断题:
若P(AB)=0, 则P(A)=0或者P(B)=0.
选项:
A: 正确
B: 错误
答案: 【 错误】
5、填空题:
已知事件A和B互不相容, 且
则
——-
答案: 【 0.1】
6、填空题:
老师让5位身高各不相同的同学站成一排, 求个子最高者在左端或最低者在右端的概率.(用小数表示)
答案: 【 0.35】
7、填空题:
若P(A)=0.5, P(B)=0.4, P(Aoverline{B})=0.3, 则P(
)=( )
答案: 【 0.7】
8、填空题:
若P(A)=0.5, P(B)=0.4, P(Aoverline{B})=0.3, 则P(
)=( ),
答案: 【 0.8】
9、填空题:
若P(A)=0.5, P(B)=0.4, P(Aoverline{B})=0.3, 则P(
)=( )
答案: 【 0.3】
1、单选题:
设事件A和B互不相容,P(A)=p, P(B)=q, 则P(
)=( )
选项:
A: (1-p)q
B: pq
C: p
D: q
答案: 【 q】
2、单选题:
设P(A)=0.8, P(B)=0,7, P(A|B)=0.8, 则下列说法正确的是( )
选项:
A: A与B互不相容
B: 
C: A与B相互独立
D:
P(
)=P(A) +P(B)
答案: 【 A与B相互独立】
3、判断题:
只要样本空间所含样本点的个数是有限个,就一定可以用古典方法来计算事件发生的概率.
选项:
A: 正确
B: 错误
答案: 【 错误】
4、判断题:
概率为零的事件与任何事件都是独立的。
选项:
A: 正确
B: 错误
答案: 【 正确】
5、判断题:
设P(A)>0, P(B)>0。若A与B相互独立,则A与B相容.
选项:
A: 正确
B: 错误
答案: 【 正确】
6、判断题:
概率为一的事件一定是必然事件
选项:
A: 正确
B: 错误
答案: 【 错误】
7、判断题:
若A
B, P(B)>0, 则P(A)
P(A|B)
选项:
A: 正确
B: 错误
答案: 【 正确】
8、填空题:
现要从有9个男生5个女生的社团中选出3位学生代表, 则这3位被选中的代表中至少有1位是女生的概率为_____(保留两位小数)
答案: 【 0.77】
9、填空题:
同时抛掷两枚骰子, 至少有一颗骰子的点数小于3的概率为——(保留两位小数)
答案: 【 0.56】
10、填空题:
设两个相互独立的事件A和B,二者都不发生的概率为1/9,A发生B不发生的概率与B发生A不发生的概率相等, 则P(A)= ( )(保留两位小数)
答案: 【 0.67】
1、判断题:
两个随机事件相互独立, 则它们一定是互不相容的.
选项:
A: 正确
B: 错误
答案: 【 错误】
2、判断题:
若随机事件A与B相互独立, 随机事件A与C相互独立, 则A与
相互独立.
选项:
A: 正确
B: 错误
答案: 【 错误】
3、判断题:
若随机事件
相互独立, 则
相互独立.
选项:
A: 正确
B: 错误
答案: 【 正确】
1、单选题:
设
,
, 则
______
选项:
A: >
B: <
C: =
D: 无法确定
答案: 【 >】
2、判断题:
已知P(A|B)=1, 则
选项:
A: 正确
B: 错误
答案: 【 错误】
3、判断题:
设随机事件A和B满足
,且P(B)>0, 则P(A)>P(A|B).
选项:
A: 正确
B: 错误
答案: 【 错误】
4、填空题:
现有甲乙两个袋子,甲袋有4个白球和5个红球,乙袋有4个白球和4个红球. 现从甲袋中任取一只放入乙袋,充分混合后再从乙袋中取出一球. 已知从乙袋中取出的球是红球, 则从甲袋中取出的那只球是红球的概率为____(结果保留至小数点后2位).
答案: 【 0.61】
1、判断题:
随机变量就是定义在样本空间上的实值函数.
选项:
A: 正确
B: 错误
答案: 【 错误】
2、判断题:
随机变量本质上是一个可测映射.
选项:
A: 正确
B: 错误
答案: 【 正确】
3、判断题:
不同的随机变量可以有相同的分布函数.
选项:
A: 正确
B: 错误
答案: 【 正确】
4、判断题:
分布函数和随机变量是一一对应的.
选项:
A: 正确
B: 错误
答案: 【 错误】
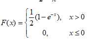
5、判断题:
函数
是分布函数.
选项:
A: 正确
B: 错误
答案: 【 正确】
1、单选题:
设X的密度函数为f(x),分布函数为F(x),且f(x)=f(-x)。那么对任意给定的a>0都有
选项:
A: 
B: 
C: F(a)=F(-a)
D: F(-a)=2F(a)-1
答案: 【
】
2、单选题:
下列函数中,可作为某一随机变量的分布函数是
选项:
A:

B:

C: 
D: 
答案: 【

】
3、单选题:
X~N(1,1), 概率密度为
, 分布函数为F(x), 则
选项:
A: 
B: 
C: 
D: F(x)=F(-x)
答案: 【&nb
备案号:冀ICP备20010840号 2020-2099辉辉网络科技 All Rights Reserved