

1、单选题:

选项:
A: 
B: 
C: 
D: 
答案: 【
】
1、单选题:

选项:
A: A
B: B
C: C
D: D
答案: 【 B】
2、单选题:

选项:
A: A
B: B
C: C
D: D
答案: 【 B】
3、单选题:

选项:
A: A
B: B
C: C
D: D
答案: 【 B】
4、单选题:

选项:
A: A
B: B
C: C
D: D
答案: 【 C】
5、单选题:

选项:
A: A
B: B
C: C
D: D
答案: 【 C】
6、单选题:

选项:
A: A
B: B
C: C
D: D
答案: 【 D】
7、单选题:

选项:
A: A
B: B
C: C
D: D
答案: 【 B】
8、单选题:

选项:
A: A
B: B
C: C
D: D
答案: 【 A】
9、单选题:

选项:
A: A
B: B
C: C
D: D
答案: 【 D】
10、单选题:

选项:
A: A
B: B
C: C
D: D
答案: 【 B】
1、单选题:

选项:
A: A
B: B
C: C
D: D
答案: 【 C】
2、单选题:

选项:
A: A
B: B
C: C
D: D
答案: 【 D】
3、单选题:

选项:
A: A
B: B
C: C
D: D
答案: 【 C】
4、单选题:

选项:
A: A
B: B
C: C
D: D
答案: 【 C】
5、单选题:

选项:
A: A
B: B
C: C
D: D
答案: 【 A】
6、单选题:

选项:
A: A
B: B
C: C
D: D
答案: 【 B】
7、单选题:

选项:
A: A
B: B
C: C
D: D
答案: 【 A】
8、单选题:

选项:
A: A
B: B
C: C
D: D
答案: 【 B】
9、单选题:

选项:
A: A
B: B
C: C
D: D
答案: 【 B】
10、单选题:

选项:
A: A
B: B
C: C
D: D
答案: 【 B】
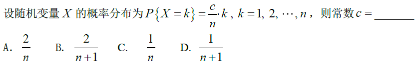
1、单选题:

选项:
A: 单调增大
B: 单调减小
C: 保持不变
D: 非单调变化
答案: 【 单调减小】
2、单选题:

选项:
A: 
B: 
C: 
D: 
答案: 【
】
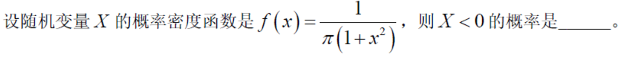
3、单选题:

选项:
A: 0
B: 1/4
C: 1/3
D: 1/2
答案: 【 1/2】
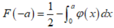
4、单选题:

选项:
A: 
B: 
C: 
D: 
答案: 【
】
5、单选题:

选项:
A: 0.0222
B: 0.0224
C: 0.0226
D: 0.0228
答案: 【 0.0228】
6、单选题:

选项:
A: a=2/3,b=2/3
B: a=3/5,b=2/5
C: a=3/2,b=-1/2
D: a=2/3,b=3/4
答案: 【 a=3/5,b=2/5】
7、单选题:

选项:
A: 0.95
B: -0.95
C: -0.05
D: 0.05
答案: 【 -0.95】
8、单选题:

选项:
A: 2
B: 3
C: 4
D: 5
答案: 【 4】
9、单选题:

选项:
A: 
B: 
C: 
D: 
答案: 【
】
10、单选题:

选项:
A: 
B: 
C: 
D: 
答案: 【
】
1、单选题:

选项:
A: 1/2
B: 0
C: 1/4
D: 1
答案: 【 0】
2、单选题:

选项:
A: 3/4
B: 1/2
C: 2/3
D: 4/5
答案: 【 3/4】
3、单选题:
备案号:冀ICP备20010840号 2020-2099辉辉网络科技 All Rights Reserved