

1、单选题:
设A, B, C均为n 阶方阵, 则下列结论一定正确的是[ ].
选项:
A: 若 AB = AC, 则 B = C.
B: 若 AB = AC 而且 A ¹ O, 则 B = C.
C: A(BC) = (AC)B.
D: 
E: 
答案: 【
;
】
2、单选题:
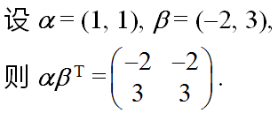
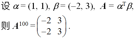
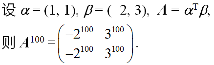
设
,
,
,
,
则[ ].
选项:
A: 
B: 
C: 
D: 
E: 
F: 
答案: 【
】
3、单选题:
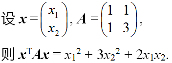
设
,
为2阶单位矩阵, 则下列等式中正确的是[ ].
选项:
A: 
B: 
C: 
D: 
E: 
答案: 【
;
】
4、判断题:
设矩阵 
则 
选项:
A: 正确
B: 错误
答案: 【 错误】
5、判断题:
设
则
.
选项:
A: 正确
B: 错误
答案: 【 正确】
6、判断题:
设
, 则 
选项:
A: 正确
B: 错误
答案: 【 正确】
7、判断题:

选项:
A: 正确
B: 错误
答案: 【 错误】
8、判断题:

选项:
A: 正确
B: 错误
答案: 【 正确】
9、判断题:
若
阶矩阵
满足
其中
为零矩阵, 则 
选项:
A: 正确
B: 错误
答案: 【 错误】
10、判断题:
已知多项式
则 
选项:
A: 正确
B: 错误
答案: 【 错误】
11、判断题:
已知多项式
则 
选项:
A: 正确
B: 错误
答案: 【 正确】
12、判断题:
任何两个矩阵都可以相乘.
选项:
A: 正确
B: 错误
答案: 【 错误】
13、判断题:
任何两个矩阵都可以相加.
选项:
A: 正确
B: 错误
答案: 【 错误】
14、判断题:
若矩阵
满足
而且
则
选项:
A: 正确
B: 错误
答案: 【 错误】
15、判断题:
设
为2阶方阵,
为多项式,
则
选项:
A: 正确
B: 错误
答案: 【 正确】
1、单选题:

选项:
A: 
B: 
C: 
D: 
E: 
F: 
答案: 【
;
;
】
2、单选题:

选项:
A: 
B: 
C: 
D: 
E: 
F: 
答案: 【
;
】
3、单选题:

选项:
A: 
B: 
C: 
D: 
答案: 【
】
4、判断题:

选项:
A: 正确
B: 错误
答案: 【 正确】
5、判断题:

选项:
A: 正确
B: 错误
答案: 【 错误】
6、判断题:

选项:
A: 正确
B: 错误
答案: 【 错误】
7、判断题:

选项:
A: 正确
B: 错误
答案: 【 正确】
8、判断题:

选项:
A: 正确
B: 错误
答案: 【 错误】
9、判断题:

选项:
A: 正确
B: 错误
答案: 【 正确】
10、判断题:

选项:
A: 正确
B: 错误
答案: 【 错误】
11、判断题:

选项:
A: 正确
B: 错误
答案: 【 正确】
12、判断题:

选项:
A: 正确
B: 错误
答案: 【 正确】
13、判断题:

选项:
A: 正确
B: 错误
答案: 【 正确】
14、判断题:

选项:
A: 正确
B: 错误
答案: 【 错误】
15、判断题:

选项:
A: 正确
B: 错误
答案: 【 正确】
16、判断题:

选项:
A: 正确
B: 错误
答案: 【 正确】
1、单选题:

选项:
A: 
B: 
C: 
D: 
E: 
F: 
答案: 【
;
】
2、单选题:

选项:
A: 
B: 
C: 
D: 
E: 
备案号:冀ICP备20010840号 2020-2099辉辉网络科技 All Rights Reserved