

1、判断题:
编写C程序时,main函数必不可少。
选项:
A: 正确
B: 错误
答案: 【 正确】
2、判断题:
printf("n"); 可实现换行
选项:
A: 正确
B: 错误
答案: 【 正确】
3、判断题:
C的每条语句结束处必须用分号。
选项:
A: 正确
B: 错误
答案: 【 正确】
4、判断题:
注释语句不影响程序的运行。
选项:
A: 正确
B: 错误
答案: 【 正确】
5、判断题:
若使用printf输出结果,则必须在程序前添加#include <stdio.h>
选项:
A: 正确
B: 错误
答案: 【 正确】
6、判断题:
C程序中的标点符号(如分号;)必须用英文的标点符号。
选项:
A: 正确
B: 错误
答案: 【 正确】
1、单选题:
下面的叙述正确的是()。
选项:
A: 一个C的源程序必须包含1个以上的main函数
B: 在C的源程序中,main函数不是必须的
C: 一个C的源程序可以由一个或多个函数组成
D: printf函数是程序执行的起始位置
答案: 【 一个C的源程序可以由一个或多个函数组成】
2、单选题:
C程序是从()开始执行的。
选项:
A: return语句
B: 主函数
C: 文件开始的注释部分
D: 放在最前面的函数
答案: 【 主函数】
3、单选题:
关于C程序的叙述,正确的是( )。
选项:
A: 一条语句可以写在多行,也可以多条语句写在一行
B: 一行只能写一条语句
C: 从//开始的程序都是注释内容
D: /* */只能写在一行,其中的内容为注释部分
答案: 【 一条语句可以写在多行,也可以多条语句写在一行】
4、单选题:
以下正确的printf语句是()。
选项:
A: printf ("This is a C program.")
B: printf ("This is a C program.);
C: printf ("This is a C program.n");
D: printf "This is a C program.";
答案: 【 printf ("This is a C program.n");】
5、单选题:
/*程序功能:打印输出hello world #include <stdio.h> int main() { printf("Hello, worldn"); return 0;}上面程序的运行结果是( )
选项:
A: 程序出错,不能运行
B: Hello, world
C: 程序功能:打印输出hello world
D: "Hello, worldn"
答案: 【 程序出错,不能运行】
6、单选题:
设有程序“1.cpp”,编译后运行该程序,执行的是( )文件。
选项:
A: 1.cpp
B: 1.obj
C: 1.exe
D: 1.c
答案: 【 1.exe】
7、多选题:
下面程序的错误是()#include <stdio.h> int mian() { printf("hello world") return 0;}
选项:
A: printf("hello world") 后面少分号
B: 主函数名写错
C: 多了return 0;
D: main()后面少分号
答案: 【 printf("hello world") 后面少分号;
主函数名写错】
8、多选题:
输出结果为500+200=700的语句是()。
选项:
A: printf("500+200=%d,500+200");
B: printf("500+200=%d",500+200);
C: printf("500+200=700");
D: print 500+200=700;
答案: 【 printf("500+200=%d",500+200);;
printf("500+200=700");】
9、多选题:
输出结果为25*64=1600的语句是()。
选项:
A: printf("25*64=%d",25*64);
B: printf("25*64=1600");
C: printf("25*64=%d, 25*64");
D: print 25*64=1600;
答案: 【 printf("25*64=%d",25*64);;
printf("25*64=1600");】
10、多选题:
下面是关于C程序注释的叙述,其中正确的是( )。
选项:
A: /*……*/可以注释多行,也可以注释一行
B: 从//开始的程序都是注释内容
C: /* */与//注释的范围没有区别
D: //是行注释,从//开始至行尾为注释内容
答案: 【 /*……*/可以注释多行,也可以注释一行;
//是行注释,从//开始至行尾为注释内容】
1、单选题:
下列浮点数的表示中不正确的是( )。
选项:
A: 22.3
B: .719e22
C: e23
D: 12. e2
答案: 【 e23】
2、单选题:
合法的C语言标识符是( )
选项:
A: 2a
B: sum
C: int
D: a*b
答案: 【 sum】
3、单选题:
不合法的C语言标识符是 ( )。
选项:
A: _8_
B: j2_KEY
C: 4d
D: Double
答案: 【 4d】
4、单选题:
下列定义变量的语句中错误的是( )。
选项:
A: int x1;
B: float y1;
C: double z1;
D: Double a1;
答案: 【 Double a1;】
5、单选题:
在C语言中,要求运算数必须是整型的运算符是( )。
选项:
A: %
B: /
C: +
D: –
答案: 【 %】
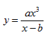
6、单选题:
下面( )语句正确地描述了计算公式

选项:
A: y = ax*x*x/x – b;
B: y = ax*x*x/(x – b);
C: y = (a*x*x*x)/(x – b);
D: y = a*x*x*x/x – b;
答案: 【 y = (a*x*x*x)/(x – b);】
7、单选题:
下面( )是合法的赋值语句 .
选项:
A: i=1;
B: i+1=5;
C: 5=i;
D: i *3=i+1;
答案: 【 i=1;】
8、单选题:
下面程序的输出是( ) 。#include <stdio.h>int main(){ int x=10,y=3; printf("%d",y=x/y); return 0;}
选项:
A: 0
B: 1
C: 3
D: 不确定的值
答案: 【 3】
9、单选题:
下面程序的输出是( ) 。#include <stdio.h>int main(){ int a= 5; printf("a=%dn",++a+2); return 0;}
选项:
A: a=6
B: 8
C: a=5
D: a=8
答案: 【 a=8】
10、单选题:
78%10的结果是( )。
选项:
A: 78
B: 8
C: 7
D: 10
答案: 【 8】
11、单选题:
下面程序的输出是( ) 。 #include <stdio.h>int main(){ int a=8; printf("%dn",(a++)*2); return 0;}
选项:
A: 8
B: 9
C: 16
D: 18
答案: 【 16】
12、单选题:
下面程序的输出是( ) 。#include <stdio.h>int main(){ int a=3; printf("%dn",(a–)*7); return 0;}
选项:
A: 21
B: 2
C: 3
D: 14
答案: 【 21】
13、单选题:
下面程序的输出是( ) 。#include <stdio.h>int main(){ int b=3,a= 3; printf("%d,%dn",b,a–); return 0;}
选项:
A: 3,2
B: 2,3
C: 3
D: 3,3
答案: 【 3,3】
14、单选题:
i=1;执行( )语句后,变量i的值不会发生变化。
选项:
A: i+5;
B: –i;
C: i=2*i;
D: i=6;
答案: 【 i+5;】
15、单选题:
int x;scanf("%d",&x);下面( )可以获得x的个位数。
选项:
A: x%10;
B: x/10;
C: x/100-x/10;
D: x-x/10;
答案: 【 x%10;】
16、单选题:
语句float x=3.0 ,y=4.0;下列表达式中y的值为9.0的是( )。
选项:
A: y/=x*27/4
B: y+=x+2.0
C: y-=x+0.8
D: y*=x-3.0
答案: 【 y+=x+2.0】
17、单选题:
有关运算符的正确描述是( )
选项:
A: 单目运算符优先级高于双目运算符
B: 赋值运算符是左结合的
C: 所有运算符都是左结合的
D: 赋值号的运算优先级是最低的
答案: 【 单目运算符优先级高于双目运算符】
18、多选题:
下面( )语句正确地描述了方程 
选项:
A: y = a * x * x * x + c;
B: y = a * x * x * (x + c);
C: y = (a * x * x * x) + c;
D: y = (a * x) * x * (x + c);
答案: 【 y = a * x * x * x + c;;
y = (a * x * x * x) + c;】
19、多选题:
下面( )能完成变量a,b的值的交换。
选项:
A: t=a;a=b;b=t;
B: a=b;b=a;
C: a=b;
D: a=a+b;b=a-b;a=a-b;
答案: 【 t=a;a=b;b=t;;
a=a+b;b=a-b;a=a-b;】
20、多选题:
( )可以使整型变量i的值加1 。
选项:
A: i++;
B: ++i;
C: i=i+1;
D: i+=1;
答案: 【 i++;;
++i;;
i=i+1;;
i+=1;】
21、多选题:
int y,a;scanf("%d",&y);输入任意整数,下面( )中,a是y的百位数。
选项:
A: a=y/100%10;
B: a=y%1000/100;
C: a=y%100;
D: a=y/100;
E: a=y/10000%10;
F: a=y/1000%10;
答案: 【 a=y/100%10;;
a=y%1000/100;】
1、单选题:
能正确表示逻辑关系x<=y<=z的C语言表达式为( )
选项:
A: (x<=y)&&(y<=z)
B: (x<=y)AND(y<=z)
C: (x<=y<=z)
D: (x<=y)&(y<=z)
答案: 【 (x<=y)&&(y<=z) 】
2、单选题:
能正确表示逻辑关系“a大于等于10或a小于等于0”的C语言表达式是 ( )
选项:
A: a>=10 or a<=0
B: a>=0|a<=10
C: a>=10&& a<=0
D: a>=10‖a<=0
答案: 【 a>=10‖a<=0 】
3、单选题:
能正确表示逻辑关系“79<X<90”的C语言表达式是( )
选项:
A: ( X>79 ) && ( X<90 )
B: ( X>79 )!=( X<90 )
C: 79<X<90
D: (X>79 )||( X<90)
答案: 【 ( X>79 ) && ( X<90 ) 】
4、单选题:
设a为整型变量,不能正确表达数学关系10<a<15的C语言表达式是( )
选项:
A: 10<a<15
B: a==11||a==12||a==13||a==14
C: a>10&&a<15
D: !(a<=10)&&!(a>=15)
答案: 【 10<a<15 】
5、单选题:
设x,t均为int型变量,则执行语句“x=10; t=x&&x>10;”后,t的值为( )
选项:
A: 值不确定
B: 10
C: 1
D: 0
答案: 【 0】
6、单选题:
下面程序,运行后的输出结果是( )#include<stdio.h>int main(){ int a=1, b = 3, c = 4;if(a<b) a=b;if(a<c) a=c;printf("%d, %d, %dn", a, b, c);}
选项:
A: 4,4,3
B: 4,3,4
C: 3,4,3
D: 1,3,4
答案: 【 4,3,4 】
7、单选题:
语法不正确的语句是( )
选项:
A: if (x>y);
B: if (x=y) {x++;y++;}
C: if (x==y) && (x!=0) x++;
D: if (x!=y) scanf ("%d", &x);
答案: 【 if (x==y) && (x!=0) x++;】
8、单选题:
如果整型变量a,b,c的值分别为5,4,3,则语句if(a>b>c) c++; 执行后c的值是( )
选项:
A: 5
B: 4
C: 3
D: 2
答案: 【 3】
9、单选题:
如果整型变量a,b,c的值分别为3,4,5,则语句 if(a<b<c) c++;执行后c的值是( )
选项:
A: 3
B: 4
C: 5
D: 6
答案: 【 6】
10、单选题:
运行以下程序,如果从键盘上输入5,则输出结果是( ) #include<stdio.h>int main(){ int x;scanf("%d", &x);if (x–< 5) printf("%d", x);}
选项:
A: 3
B: 4
C: 5
D: 无输出
答案: 【 无输出】
11、单选题:
C语言语句中,可以用来决定分支流程的表达式是( )
选项:
A: 任意表达式
B: 只能用逻辑表达式或关系表达式
C: 只能用逻辑表达式
D: 只能用关系表达式
答案: 【 任意表达式】
12、单选题:
int x=102,y=12;printf("%2d,%3dn",x,y);执行后输出结果是( )
选项:
A: 10,012
B: 02, 12
C: 102, 12
D: 102,120
答案: 【 102, 12】
13、单选题:
设i是 int 型变量 ,j是 float 型变量 , 用下面的语句给这两个变量输入值: scanf("i=%d, j=%f",&i,&j); 为了把 10 和 2.5分别赋给 i 和 j, 则正确的输入为( )
选项:
A: 10 2.5< 回车 >
B: i=10,j=2.5< 回车 >
C: 10 < 回车 > 2.5< 回车 >
D: x=10 < 回车 > ,y=2.5< 回车 >
答案: 【 i=10,j=2.5< 回车 > 】
14、单选题:
执行下面语句,int a =1,b=2,c=3;if(a>c) b =c; a=c; c=b;a,b,c的值分别为( )(用逗号分隔)
选项:
A: 3,2,2
B: 1,2,3
C: 3,3,2
D: 3,3,3
答案: 【 3,2,2】
15、单选题:
请选出正确的输入语句( )。
选项:
A: double f;scanf("%lf",&f);
B: float x,y; scanf("%f%f",x,y);
C: float x;scanf("%fn",x);
D: double x;scanf("%f",&x);
答案: 【 double f;scanf("%lf",&f);】
16、多选题:
在printf函数中,浮点型数据输出的格式控制符有( )。
选项:
A: %e
B: %d
C: %f
D: %g
答案: 【 %e;
%f;
%g】
17、多选题:
下面程序中,( )可以输出变量a,b,c的最大值。
选项:
A: if(a>=b && a>=c ) printf( "最大值为%dn",a); if(b>=a && b>=c) printf( "最大值为%dn",b); if(c>=a && c>=b) printf( "最大值为%dn",c);
B: max=a; if(b>max) max=b; if(c>max) max=c;printf( "最大值为%dn",max);
C: if(a>b>c ) printf( "最大值为%dn",a); if(b>a>c) printf( "最大值为%dn",b); if(c>a>b) printf( "最大值为%dn",c);
D: if(a>b) max=a; if(c>max) max=c;printf( "最大值为%dn",max);
答案: 【 if(a>=b && a>=c ) printf( "最大值为%dn",a); if(b>=a && b>=c) printf( "最大值为%dn",b); if(c>=a && c>=b) printf( "最大值为%dn",c); ;
max=a; if(b>max) max=b; if(c>max) max=c;printf( "最大值为%dn",max);】
18、填空题:
设a=1, b=2, c=3,关系表达式a+b>=c 的值是( )。
答案: 【 1】
19、填空题:
设a=1, b=2, c=3,逻辑表达式a && b && c的值是( )。
答案: 【 1】
20、填空题:
设a=1, b=2, c=3,逻辑表达式a || !b || !c的值是( )。
答案: 【 1】
21、填空题:
输入一个考试分数(0至100范围内),如果分数小于60分,则输出“不及格”;大于90分输出“优秀”;大于等于60并且小于等于90,则输出“合格”。(有1个空,答案一行写一个,不要添加多余的空格)#include <stdio.h> int main(){ int x; printf("请输入分数(0-100): "); scanf("%d",&x); if(x<60) printf( "不及格n"); if(x>90) printf( "优秀n"); printf( "合格n"); //注意分数在一个区间内,C语言中该如何描述 return 0;}
答案: 【 if(x>=60 && x<=90)##%_YZPRLFH_%##if(60<=x && x<=90)##%_YZPRLFH_%##if(60=x)##%_YZPRLFH_%##if(x>=60 && 90>=x)##%_YZPRLFH_%##if(x>=60&&x<=90)##%_YZPRLFH_%##if(60<=x&&x<=90)##%_YZPRLFH_%##if(60=x)##%_YZPRLFH_%##if(x>=60&&90>=x)##%_YZPRLFH_%##if((x>=60)&&(x<=90))】
22、填空题:
我国的邮政编码由六位阿拉伯数字组成,前第三位代表邮区,厦门市的邮政编码前三位为361 。下面的程序功能:如果输入的邮政编码前3位是361,则输出“厦门市的邮件”;如果不是361,则输出“不是厦门市的邮件”。请完善程序(有2个空,答案一行写一个,不要添加多余的空格).#include <stdio.h> int main(){ int code; printf("请输入邮政编码: "); scanf(" %*3d",&code); //用scanf函数截取输入邮政编码的前3位 if(361 code ) printf( "厦门市的邮件n"); if (361!=code) printf( "不是厦门市的邮件n"); return 0;}需要更多样例参考的同学可查阅课件 “ 选择结构初步 ” 里的最后一个文档 “ 习题解析 ”中第2题
答案: 【 %3d
==】
1、单选题:
分析以下程序, 下列说法正确的是( )#include<stdio.h>main(){ int x=5,a=0,b=0; if(x=a+b) printf("* * * *n"); else printf("# # # #n");}
选项:
A: 有语法错,不能通过编译
B: 通过编译,但不能连接
C: 输出* * * *
D: 输出# # # #
答案: 【 输出# # # #】
2、单选题:
分析以下程序, 下列说法正确的是( )#include<stdio.h> main(){ int x=6,a=8,b=3; if(x=a+b) printf("* * * *n"); else printf("# # # #n");}
选项:
A: 有语法错,不能通过编译
B: 通过编译,但不能连接
C: 输出* * * *
D: 输出# # # #
答案: 【 输出* * * * 】
3、单选题:
分析以下程序, 下列说法正确的是( )#include<stdio.h> main(){ int x=0,a=0,b=0; if(x==a+b) printf("* * * *n"); else printf("# # # #n");}
选项:
A: 有语法错,不能通过编译
B: 通过编译,但不能连接
C: 输出* * * *
D: 输出# # # #
答案: 【 输出* * * *】
4、单选题:
运行以下程序,如果从键盘上输入5,则输出结果是( )#include<stdio.h> int main(){ int x; scanf("%d", &x); if ( x–< 5) printf("%d", x); else printf("%d",x++);}
选项:
A: 3
B: 4
C: 5
D: 6
答案: 【 4】
5、单选题:
运行以下程序,如果从键盘上输入5,则输出结果是( )#include<stdio.h> int main(){ int x; scanf("%d", &x); if ( x–< 5) printf("%d", x); else printf("%d",++x);}
选项:
A: 3
B: 4
C: 5
D: 6
答案: 【 5】
6、单选题:
运行以下程序,如果从键盘上输入9,则输出结果是( )#include<stdio.h> int main(){ int x; scanf("%d", &x); if ( ++x< 10) printf("%d", x); else printf("%d",–x);}
选项:
A: 11
B: 10
C: 9
D: 8
答案: 【 9】
7、单选题:
以下程序的输出是( )#include<stdio.h> int main(){ float x=2.0,y; if (x<0.0) y=0.0; else if (x<10.0) y=1.0/x; else y= 1.0; printf("%fn", y);}
选项:
A: 0.000000
B: 0.250000
C: 0.500000
D: 1.000000
答案: 【 0.500000】
8、单选题:
下面程序的运行结果是( )。#include <stdio.h>main(){ int a=12, b= -34, c=56, min=0; min=a; if(min>b) min=b; if(min>c) min=c; printf("%d", min);}
选项:
A: 12
B: -34
C: 56
D: 0
答案: 【 -34】
9、单选题:
分析以下程序, 输出结果是( )#include<stdio.h>int main(){ int x=5; if(x) printf("* * * *n"); printf("# # # #n");}
选项:
A: * * * *# # # #
B: # # # #
C: * * * *
D: 无输出
答案: 【 * * * *# # # #】
10、单选题:
分析以下程序, 输出结果是( )#include<stdio.h>int main(){ int x=5; if(x) x=6; x=7; printf("%dn",x);}
选项:
A: 7
B: 5
C: 6
D: x
答案: 【 7】
11、多选题:
按功能键F5进入调试状态后,可以( )。
选项:
A: 查出所有的语法错误
B: 设置断点
C: 控制程序一步一步地执行,每执行一步,都可以暂停
D: 观察变量或表达式值的变化
答案: 【 设置断点;
控制程序一步一步地执行,每执行一步,都可以暂停;
观察变量或表达式值的变化】
12、多选题:
下面( )是正确的符号函数程序。当x>0时,y=1当x=0时,y=0当x<0时,y=-1(提示:按if-else配对规则分析程序,y值的运算结果与符号函数一致,才是正确的程序)
选项:
A: if(x>0) y=1;else if(x==0) y=0; else y=-1;
B: y=0;if(x!=0) if(x>0) y=1; else y=-1;
C: y=0;if(x>=0) if(x>0) y=1; else y=-1;
D: if(x>=0) if(x>0) y=1;else y=0;else y=1;
答案: 【 if(x>0) y=1;else if(x==0) y=0; else y=-1;;
y=0;if(x!=0) if(x>0) y=1; else y=-1;】
13、多选题:
程序功能:输入一个整数,当它是偶数时,输出“该数是偶数”,否则,输出“该数是奇数”。请完善程序,空格处应填( )。#include <stdio.h> int main(){ int x; printf("请输入x: "); scanf("%d",&x); if(x%2==0) printf( "该数是偶数n"); //偶数除以2的余数为0 printf( "该数是奇数n"); return 0;}
选项:
A: else
B: if(x%2!=0)
C: if(x/2!=0)
D: else if(x%2!=0)
答案: 【 else;
if(x%2!=0);
else if(x%2!=0)】
14、多选题:
输入一个考试分数(0至100范围内),如果分数小于60分,则输出“不及格”;否则输出“及格”。(程序有1个空,请选择正确的答案)#include <stdio.h> int main(){ int x; printf("请输入分数(0-100): "); scanf("%d",&x); if(x<60) printf( "不及格n"); printf( "及格n"); return 0;}
选项:
A: else
B: if(x>=60)
C: else if(x>=60)
D: x>=60
答案: 【 else;
if(x>=60);
else if(x>=60)】
15、填空题:
读程序,写出运行结果。#include <stdio.h>main(){ int a=1,b=3,c=5;if (c==a+b) printf("yesn");else printf("non");}
答案: 【 no】
16、填空题:
读程序,写出运行结果。#include <stdio.h>int main(){ int x=2, y=-1, z=5; if(x<y) if(y<0) z=0; else z=z+1; printf(“%dn”,z); }
答案: 【 5】
17、填空题:
读程序,写出运行结果。#include <stdio.h>main(){ float a,b,c,t;a=3;b=7;c=1;if(a>b) {t=a;a=b;b=t;}if(a>c) {t=a;a=c;c=t;}if(b>c) {t=b;b=c;c=t;}printf("%5.2f,%5.2f,%5.2f",a,b,c); //注意%5.2f 的输出格式与逗号}
答案: 【 1.00, 3.00, 7.00】
18、填空题:
下面是一个旅游自助程序。程序先输出选择菜单,

如果用户输入1,则提示输入租车数量,用变量i保存,然后计算需支付的金额,并输出。
如果用户输入2,则提示输入购票数量,用变量j保存,然后计算需支付的金额,并输出。
如果用户输入其它数,则提示选择错误。
费用计算方法:
租一辆车需支付150元。
门票一张60元,如果购票数>=10,则每张50元。
请完善程序。(程序有2个空,答案一行写一个,不要添加多余的空格)
#include <stdio.h>
备案号:冀ICP备20010840号 2020-2099辉辉网络科技 All Rights Reserved