

1、判断题:
数学建模的过程包括表述、求解、解释、验证等4个过程。
选项:
A: 正确
B: 错误
答案: 【 正确】
1、单选题:
以下哪种误差可以完全避免?
选项:
A: 模型误差
B: 过失误差
C: 舍入误差
D: 观察误差和截断误差
答案: 【 过失误差】
2、判断题:
非过失误差在数值计算中往往是无法避免的。
选项:
A: 正确
B: 错误
答案: 【 正确】
3、判断题:
只要计算机能表示的精度足够高,可以不需要考虑算法的稳定性。
选项:
A: 正确
B: 错误
答案: 【 错误】
1、单选题:
关于误差的衡量,哪个是不准确的()
选项:
A: 相对误差
B: 绝对误差
C: 百分误差
D: 估计误差
答案: 【 估计误差】
2、判断题:
误差增长因子的绝对值很大时,数据误差在运算中传播后,可能会造成结果的很大误差。原始数据的微小变化可能引起结果的很大变化的这类问题,称为病态问题或坏条件问题。
选项:
A: 正确
B: 错误
答案: 【 正确】
3、判断题:
在数值计算中,我们不需要避免以下情况:大小相近的近似数相减、乘数的绝对值很大、除数接近于0。
选项:
A: 正确
B: 错误
答案: 【 错误】
1、单选题:
0.048657168具有5位有效数字的近似值是________.
选项:
A: 0.04865
B: 0.048657
C: 0.0486
D: 0.0486571
答案: 【 0.048657】
2、单选题:
设数据x1,x2的绝对误差分别为0.025和0.006,那么两数的乘积x1x2的绝对误差为________.
选项:
A: 0.025x1x2
B: 0.025
C: 0.025×2 +0.006×1
D: 0.031(x1+x2)
答案: 【 0.025×2 +0.006×1】
3、单选题:

选项:
A: 
B: 
C: 
D: 
答案: 【
】
4、单选题:
若精确值是100,则近似值99.9的绝对误差和相对误差分别是 。
选项:
A: 0.1, 0.01
B: 0.1, 0.001
C: 0.01, 0.001
D: 0.01, 0.001
答案: 【 0.1, 0.001】
5、单选题:


选项:
A: 0.001
B: 0.003
C: 0.002
D: 0.004
答案: 【 0.003】
6、单选题:
舍入误差是___________产生的误差。
选项:
A: 只取有限位数
B: 模型准确值与用数值方法求得的准确值
C: 观察与测量
D: 数学模型准确值与实际值
答案: 【 只取有限位数】
7、判断题:
精确解就是解析解。
选项:
A: 正确
B: 错误
答案: 【 错误】
8、判断题:
一个算法如果输入数据有误差 ,而在计算过程中舍入误差不增长,则称此算法数值稳定的,否则称此算法为不稳定的。
选项:
A: 正确
B: 错误
答案: 【 正确】
9、判断题:
简化计算步骤,有助于减少运算次数.
选项:
A: 正确
B: 错误
答案: 【 正确】
10、判断题:
截断误差又称为方法误差。
选项:
A: 正确
B: 错误
答案: 【 正确】
1、单选题:
若n+1个插值节点互不相同,则满足插值条件的n次插值多项式( )
选项:
A: 不一定存在
B: 存在但不唯一
C: 唯一存在
D: 一定不存在
答案: 【 唯一存在】
1、单选题:
Lagrange插值基函数满足插值条件
,
则a,b值分别为( )
选项:
A: 1, 1
B: 1, 0
C: 0, 1
D: 0, 0
答案: 【 1, 0】
1、判断题:
n+1个节点的Lagrange插值多项式与牛顿插值多项式只是形式不同,最终可以化简为同一个表达式。
选项:
A: 正确
B: 错误
答案: 【 正确】
2、判断题:
Newton基本插值多项式中,每增加一个点,所有的差商值都需要重新计算。
选项:
A: 正确
B: 错误
答案: 【 错误】
1、判断题:
Runge现象产生的原因是插值节点不够多。
选项:
A: 正确
B: 错误
答案: 【 错误】
1、单选题:
三次样条函数的插值条件中,最多可以插值于给定数据点的 阶导数。
选项:
A: 0
B: 1
C: 2
D: 3
答案: 【 2】
2、判断题:
三次样条插值只需要插值节点位置即可。
选项:
A: 正确
B: 错误
答案: 【 错误】
1、判断题:
多项式插值彻底解决了由函数表求函数的近似表达式问题。
选项:
A: 正确
B: 错误
答案: 【 错误】
2、判断题:
构造正交多项式的方法存在唯一。
选项:
A: 正确
B: 错误
答案: 【 错误】
1、单选题:
n次插值多项式存在唯一的条件是_____.
选项:
A: 有n个节点
B: 有n+1个节点
C: 有n个插值条件
D: n+1个节点互异
答案: 【 n+1个节点互异】
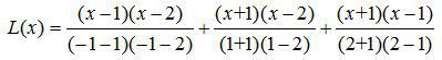
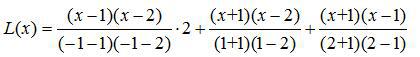
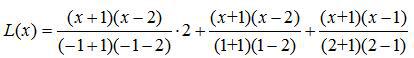
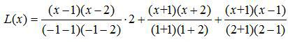
2、单选题:
Lagrange插值基函数l1(x)在节点x0处的函数值l1(x0)=__________.
选项:
A: 1
B: 0
C: 2
D: -1
答案: 【 0】
3、单选题:
对于Newton向前插值公式与Newton向后插值公式的选则,当要计算的点x靠近起点x0时,应选用Newton______插值公式,当要计算的点x靠近终点xn时应选用Newton______插值公式.
选项:
A: 向前,向前
B: 向前,向后
C: 向后,向前
D: 向后,向后
答案: 【 向前,向后】
4、单选题:
插值多项式随着节点的增多而_________.
选项:
A: 增加
B: 减少
C: 不增加
D: 在某些点可能产生激烈的振荡
答案: 【 在某些点可能产生激烈的振荡】
5、单选题:
分段低次插值克服了高次插值多项式可能产生震荡的不足,但分段低次插值函数在整个插值区间上不能保证_________.
选项:
A: 连续
B: 一阶可导
C: 一阶导数连续
D: 二阶可导
答案: 【 一阶可导】
6、单选题:
通常不用________来估计拟合函数拟合效果的好坏。
选项:
A: 偏差和
B: 偏差绝对值之和的平均值
C: 偏差平方和
D: 均方误差
答案: 【 偏差和】
7、单选题:

选项:
A: 2.1
B: 2.2
C: 2.3
D: 2.4
答案: 【 2.4】
8、单选题:

选项:
A: 
B: 
C: 
D: 
答案: 【
】
9、单选题:

选项:
A: -1
B: 0
C: 1
D: -2
答案: 【 -2】
10、单选题:

选项:
A: -1
B: 0
C: 1
D: -2
答案: 【 1】
11、单选题:


选项:
A: -24 , -27
B: -12 , -15/2
C: 8, -5/4
D: -8, -11/4
答案: 【 -8, -11/4】
12、单选题:


选项:
A: 
B: 
C: 
D: 
答案: 【
】
1、单选题:
以下哪项不属于数值求积的必要性?
选项:
A: f(x)的结构复杂,求原函数很困难
B: f(x)的精确表达式不知道,只给出了一张由实验提供的函数表
C: f(x)的不能用初等函数表示
D: f(x)的原函数不能用初等函数表示
答案: 【 f(x)的不能用初等函数表示】
2、判断题:

选项:
A: 正确
B: 错误
答案: 【 正确】
1、单选题:

选项:
A: 1
B: 2
C: 3
D: 4
答案: 【 1】
2、单选题:

选项:
A: -1
B: 0
C: 1
D: 2
答案: 【 1】
3、判断题:
计算柯特斯系数需要知道等距点的函数值及区间。
选项:
A: 正确
B: 错误
答案: 【 错误】
4、判断题:
辛普森公式又名抛物线公式。
选项:
A: 正确
B: 错误
答案: 【 正确】
5、判断题:
梯形公式、辛普森公式和柯特斯公式的余项的代数精度成等差数列。
选项:
A: 正确
B: 错误
答案: 【 错误】
6、判断题:
所谓复合求积,就是先将积分区间分成几个小区间,并在每个小区间上用低阶Newton-Cotes公式计算积分的近似值,然后对这些近似值求和,从而得到所求积分的近似值。
选项:
A: 正确
B: 错误
答案: 【 正确】
1、判断题:
Romberg算法作为一种外推算法, 虽然相对于上节介绍的算法增加了计算量,但也相对地提高了误差的精度。
选项:
A: 正确
B: 错误
答案: 【 错误】
1、判断题:
Gauss型公式的明显缺点是:当n改变大小时,系数和节点几乎都在改变。
选项:
A: 正确
B: 错误
答案: 【 正确】
1、单选题:

选项:
A: 0
B: 1
C: 2
D: 3
答案: 【 1】
2、单选题:

选项:
A: 1
B: 2
C: 3
D: 4
答案: 【 4】
3、单选题:

选项:
A: n+1
B: n
C: n-1
D: 1
答案: 【 n】
4、单选题:

选项:
A: 
B: 
C: 
D: 
答案: 【
】
5、单选题:

选项:
A: 2.98725
B: 3.00000
C: 3.13333
D: 3.14159
答案: 【 3.13333】
6、判断题:
插值型求积公式是机械积分公式吗?
选项:
A: 正确
B: 错误
答案: 【 正确】
7、判断题:
Cotes求积系数与积分区间和被积函数无关。
选项:
A: 正确
B: 错误
答案: 【 正确】
8、判断题:
Romberg算法是在积分区间逐次分半的过程中,对用复合梯形产生的近似值进行加权平均,以获得精度更高的一种方法。
选项:
A: 正确
B: 错误
答案: 【 正确】
9、判断题:
对于一般区间[a,b]上的积分,可以利用视频中的表3.5.1(Gauss型求积公式节点和系数表)写出对应的Gauss型求积公式。
选项:
A: 正确
B: 错误
答案: 【 正确】
10、判断题:
备案号:冀ICP备20010840号 2020-2099辉辉网络科技 All Rights Reserved