

1、判断题:
两个余3码表示的十进制数字相加时,对“和”必须修正。修正的方法是:如果有进位,则结果减3;如果无进位,则结果加6。
选项:
A: 正确
B: 错误
答案: 【 错误】
2、判断题:
在2421BCD中,0111对应的十进制数是7。
选项:
A: 正确
B: 错误
答案: 【 错误】
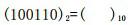
3、填空题:

答案: 【 01000010 111111】
1、多选题:
数字系统采用( )可以将减法运算转换为加法运算。
选项:
A: 原码
B: 反码
C: 补码
D: 真值
答案: 【 反码;
补码】
2、填空题:
带符号二进制数-110011的反码是____,补码是_____。(答案请用2个空格分开)
答案: 【 1001100 1001101】
3、填空题:
带符号二进制小数-0.10101的反码是____,补码是_____。(答案请用2个空格分开)
答案: 【 1.01010 1.01011】
1、填空题:

答案: 【 38】
2、填空题:

答案: 【 100011.11 43.6】
3、填空题:

答案: 【 27.1 17.2】
1、填空题:
代码的编制过程叫做
答案: 【 编码】
2、填空题:
8421码的“0011”为十进制数中的?
答案: 【 3】
3、填空题:
8421码的“0011”为2421码中的?
答案: 【 0011】
4、填空题:
与8421码相比,对应相同十进制数均要多
答案: 【 0011】
1、单选题:
假定某个电路如图示,指示灯F和开关A、B、C的逻辑关系表达式为( )。

选项:
A: 
B: 
C: 
D: 
答案: 【
】
2、判断题:
如果AB和AC的逻辑值相同,那么B和C的逻辑值一定相同。
选项:
A: 正确
B: 错误
答案: 【 错误】
3、判断题:
2个逻辑函数的函数表达式不同,真值表相同,则这两个逻辑函数不相同。
选项:
A: 正确
B: 错误
答案: 【 错误】
1、单选题:

选项:
A: 
B: 
C: 
D: 
答案: 【
】
2、判断题:

选项:
A: 正确
B: 错误
答案: 【 正确】
3、判断题:
异或逻辑与同或逻辑的关系既互为相反,又互为对偶。
选项:
A: 正确
B: 错误
答案: 【 正确】
1、单选题:

选项:
A: 2, 3, 7
B: 3, 4, 7
C: 2, 5, 7
D: 2, 6, 7
答案: 【 2, 6, 7】
2、判断题:
任何有限的逻辑关系,不论多复杂,其逻辑函数都可通过逻辑变量的与、或、非三种运算符加以实现,而逻辑函数表达式的基本形式是唯一的。
选项:
A: 正确
B: 错误
答案: 【 错误】
3、判断题:
一个逻辑变量有0和1两种可能的取值,因此,一个n变量的逻辑函数有2n个最小项。
选项:
A: 正确
B: 错误
答案: 【 错误】
4、判断题:

选项:
A: 正确
B: 错误
答案: 【 错误】
1、单选题:

选项:
A: AB
B: BC
C: AB+BC
D: (A+C)B
答案: 【 AB+BC】
2、单选题:

选项:
A: 
B: 
C: 
D: 
答案: 【
】
3、单选题:

选项:
A: 
B: 
C: 
D: 
答案: 【
】
4、填空题:

答案: 【 B】
1、单选题:
带符号二进制数–00101的补码为( )
选项:
A: 000101
B: 100101
C: 111011
D: 111010
答案: 【 111011】
2、单选题:
将十进制数75.25转换成十六进制数为( )
选项:
A: 2B.1
B: 3B.2
C: 4B.4
D: 5B.8
答案: 【 4B.4】
3、单选题:
进行加、减运算时,需要对运算结果最低位进行调整的编码为( )
选项:
A: 反码
B: 补码
C: 真值
D: 原码
答案: 【 反码】
4、单选题:

选项:
A: 
B: 
C: 
D: 
答案: 【
】
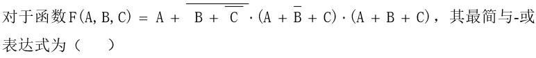
5、单选题:
逻辑函数F(A,B,C) = (A+B)(B+C)(A+C)的最简与或表达式是( )。
选项:
A: AB+AC
B: AB+AC+BC
C: AB+BC
D: AC+BC
答案: 【 AB+AC+BC】
6、单选题:
在( )情况下,函数
运算的结果是逻辑“0”。
选项:
A: 任
备案号:冀ICP备20010840号 2020-2099辉辉网络科技 All Rights Reserved