

1、单选题:
下列叙述中正确的是( )
选项:
A: 
B: 
C: 
D: 
答案: 【
】
2、单选题:
物质的量相同的下列化合物水溶液pH最高的是( )
选项:
A: 
B: NaCl
C: 
D: 
答案: 【
】
3、单选题:
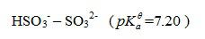
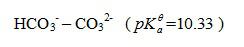
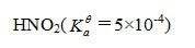
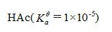
欲配制pH=5的缓冲溶液,应选用的缓冲对为( )
选项:
A: 
B: 
C: 
D: 
答案: 【
】
4、单选题:
中性溶液严格地说是指( )
选项:
A: pH=7.0的溶液
B: pOH=7.0的溶液
C: pH+pOH=14.0的溶液
D: 
答案: 【
】
5、单选题:

选项:
A: 离解常数增大
B: 离解常数减小
C: 电离度增大
D: 电离度减小
答案: 【 电离度减小】
6、单选题:
下列各组酸碱对中,属于共轭酸碱对的是( )
选项:
A: 
B: 
C: 
D: 
答案: 【
】
7、单选题:

选项:
A: 3.75
B: 6.38
C: 10.25
D: 7.62
答案: 【 3.75】
8、判断题:

选项:
A: 正确
B: 错误
答案: 【 正确】
9、判断题:
弱碱溶液越稀,其电离度越大,因而氢氧根浓度也越大。
选项:
A: 正确
B: 错误
答案: 【 错误】
10、判断题:
pH值小于7的溶液一定是酸性的。
选项:
A: 正确
B: 错误
答案: 【 错误】
11、判断题:
在共轭酸碱体系中,酸、碱的浓度越大,则其缓冲能力越强。
选项:
A: 正确
B: 错误
答案: 【 正确】
12、填空题:


答案: 【 2.16】
13、填空题:


答案: 【 4.68】
14、填空题:


答案: 【 7.21】
1、单选题:
下列各组酸碱对中,不属于共轭酸碱对的是( )
选项:
A: 
B: 
C: 
D: 
答案: 【
】
2、单选题:
下列物质不属于质子酸的是( )
选项:
A:
B: 
C: 
D: 
答案: 【
】
3、单选题:
下列物质不属于质子理论的两性物质的是( )
选项:
A: 
B: 
C: 
D: 
答案: 【
】
4、单选题:
下列物质只能作为质子碱的是( )
选项:
A: 
B: 
C: 
D: 
答案: 【
】
5、单选题:

选项:
A: 
B: 
C: 
D: HCN
答案: 【
】
6、判断题:
共轭酸碱对中,共轭的酸越强,则其共轭的碱也越强。
选项:
A: 正确
B: 错误
答案: 【 错误】
7、判断题:
酸碱反应的实质是质子在两个共轭酸碱对之间的转移。
选项:
A: 正确
B: 错误
答案: 【 正确】
8、填空题:

答案: 【 9.25】
1、单选题:

选项:
A: 1.0
B: 2.0
C: 3.0
D: 3.5
答案: 【 3.0】
2、单选题:

选项:
A: 3.0
B: 3.2
C: 4.0
D: 4.3
答案: 【 3.2】
3、单选题:

选项:
A: 11.6
B: 13.0
C: 2.4
D: 9.7
答案: 【 11.6】
4、单选题:

选项:
A: 11.6
B: 8.3
C: 9.7
D: 2.4
答案: 【 8.3】
5、单选题:

选项:
A: a=b
B: a>b
C: a<b
D: 以上都不对
答案: 【 a<b】
6、单选题:

选项:
A: 
B: 
C: 
D: 
答案: 【
】
7、判断题:
对二元弱酸,其酸根离子浓度近似等于该酸的一级离解常数。
选项:
A: 正确
B: 错误
答案: 【 错误】
8、判断题:
在计算多元酸、多元碱溶液的pH值时,全部按照一元酸、一元碱处理,主要原因是多元酸、多元碱溶液的表观酸性由第一级离解决定。
选项:
A: 正确
B: 错误
答案: 【 正确】
9、填空题:

答案: 【 6.500】
1、单选题:
稀释定律的内涵是( )
选项:
A: 弱电解质溶液越稀,pH越大
B: 弱电解质溶液越稀,离解常数就越大
C: 弱电解质溶液越稀,电离度α就越大
D: 弱电解质溶液越稀,共轭的酸或碱就越强
答案: 【 弱电解质溶液越稀,电离度α就越大】
2、单选题:
在氨水中加入少许氯化铵固体(体积变化可以忽略),下列说法正确的是( )
选项:
A: 氨的离解常数减小
B: 氨的电离度α减小
C: 使平衡向左移动,pH值增大
D: 使平衡向右移动,pH值减小
答案: 【 氨的电离度α减小】
3、单选题:

选项:
A: 7.00
B: 6.13
C: 6.133
D: 12.26
答案: 【 6.133】
4、判断题:
对pH=6的HCl溶液加水稀释,使其体积增大为原来的100倍,此时溶液的pH=8。
选项:
A: 正确
B: 错误
答案: 【 错误】
5、判断题:
在同离子效应发生的同时,必然伴随着盐效应的发生。
选项:
A: 正确
B: 错误
答案: 【 正确】
6、判断题:

选项:
A: 正确
B: 错误
答案: 【 正确】
1、单选题:
下列各混合溶液,不具有缓冲能力的是( )
选项:
A: 
B: 
C: 
D: 
答案: 【
】
2、单选题:
欲配制pH=9的缓冲溶液,应选用下列何种弱酸或弱碱和它们的盐来配制( )
选项:
A: 
B: 
C: 
D: 
答案: 【
】
3、单选题:
与缓冲溶液的缓冲容量大小有关的因素是( )
选项:
A: 缓冲溶液的pH范围
B: 缓冲溶液的总浓度
C: 缓冲溶液组分的浓度比
D: 外加的酸量
答案: 【 缓冲溶液组分的浓度比】
4、单选题:

选项:
A: 6~8
B: 4~6
C: 10~12
D: 8~10
答案: 【 8~10】
5、单选题:
如果把少量NaAc固体加到HAc溶液中,则pH值将( )
选项:
A: 增大
B: 减小
C: 不变
D: 无法肯定
答案: 【 增大】
6、单选题:

选项:
A: 22.5
B: 15.0
C: 45.0
D: 60.0
答案: 【 45.0】
7、判断题:
只有弱酸及其共轭碱才能组成缓冲溶液。
选项:
A: 正确
B: 错误
答案: 【 错误】
8、判断题:

选项:
A: 正确
B: 错误
答案: 【 正确】
9、判断题:

选项:
A: 正确
B: 错误
答案: 【 正确】
1、单选题:

选项:
A: 偏高
B: 偏低
C: 无影响
D: 无法确定
答案: 【 偏高】
2、单选题:

选项:
A: 百里酚酞
B: 酚酞
C: 中性红
D: 甲基红
答案: 【 甲基红】
3、单选题:
下列物质中,能用标准强碱溶液直接滴定的是( )
选项:
A: 
B: 
C: 
D: 
答案: 【
】
4、单选题:

选项:
A: 9.7~4.3
B: 8.7~4.3
C: 10.7~3.3
D: 10.7~7.7
答案: 【 10.7~3.3】
5、单选题:

选项:
A: 甲基红
B: 酚酞
C: 中性红
D: 百里酚酞
答案: 【 甲基红】
6、单选题:

选项:
A: 
B:
C: 
D: 
答案: 【
】
7、单选题:

选项:
A: x > y
B: y = 2x
C: y >2x
D: x = y
答案: 【 y >2x】
8、判断题:

选项:
A: 正确
B: 错误
答案: 【 正确】
9、判断题:

选项:
A: 正确
B: 错误
答案: 【 正确】
10、判断题:

选项:
A: 正确
B: 错误
答案: 【 错误】
11、判断题:
酸碱滴定中,对于二氧化碳的影响,如果滴定和标定使用同一指示剂,其影响可以基本消除,对结果的影响可以忽略。
选项:
A: 正确
B: 错误
答案: 【 正确】
12、填空题:

答案: 【 偏高】
13、填空题:

答案: 【 甲基橙】
14、填空题:

答案: 【 9.00】
1、单选题:

选项:
A: 甲基橙
B: 酚酞
C: 甲基红
D: 甲基黄
答案: 【 甲基黄】
2、单选题:

选项:
A: 甲基橙
B: 酚酞
C: 甲基红
D: 甲基黄
答案: 【 酚酞】
3、单选题:

选项:
A: 2~8
B: 3~7
C: 4~6
D: 5~7
答案: 【 4~6】
4、单选题:

选项:
A: 2.0~6.0
B: 4.0~8.0
C: 4.0~10.0
D: 8.0~10.0
答案: 【 4.0~10.0】
5、单选题:

选项:
A: 6.0~10.7
B: 6.0~9.7
C: 7.0~10.7
D: 8.0~9.7
答案: 【 6.0~9.7】
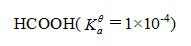
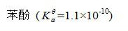
6、单选题:

选项:
A: HCOOH
B:
备案号:冀ICP备20010840号 2020-2099辉辉网络科技 All Rights Reserved