

1、单选题:
| 下图为某市一天24小时的气温变化图. |
则气温到达0℃的时刻是( )
选项:
A: 7时和23时
B: 23时
C: 7时
D: 0时
答案: 【 7时和23时】
2、单选题:
汽车以60米/小时的速度均匀行驶,行驶里程为s千米,行驶时间为t小时,根据下表所提供的t与s的对应关系,用含t的式子表示s正确的是( )t/小时12345s/千米60120180240300
选项:
A: s=60t
B: s=30t
C: s=20t
D: s=15t
答案: 【 s=60t】
3、单选题:
下图表示每个运动员学号和号码布上号码的对应关系:运动员学号 1512253437号码布号码123124125126127128则127号码布所应的运动员学号是( )
选项:
A: 12
B: 25
C: 34
D: 5
答案: 【 34】
1、单选题:

选项:
A: 增函数
B: 减函数
C: 增区间
D: 减区间
答案: 【 增函数】
2、单选题:

选项:
A: 增大
B: 减小
C: 不变
D: 无法确定
答案: 【 减小】
3、单选题:

选项:
A: 
B: 
C: 
D: 
答案: 【
】
1、单选题:

选项:
A: 
B: 
C:
D:
答案: 【
】
2、单选题:

选项:
A: 
B: 
C: 
D: 
答案: 【
】
3、单选题:

选项:
A: 
B: 
C: 
D: 
答案: 【
】
1、单选题:

选项:
A: 增函数
B: 减函数
C: 不具单调性
D: 无法判断
答案: 【 减函数】
2、单选题:

选项:
A: 不具单调性
B: 增函数
C: 减函数
D: 无法确定
答案: 【 减函数】
3、单选题:

选项:
A: 不具单调性
B: 增函数
C: 减函数
D: 无法确定
答案: 【 不具单调性】
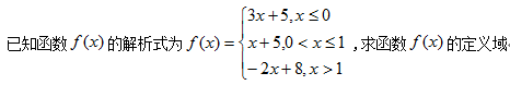
1、单选题:
函数的三大要素指的是( )
选项:
A: 定义域、表达式、值域
B: 定义域、对应法则、值域
C: 定义域、对应法则、函数值
D: 自变量、对应法则、因变量
答案: 【 定义域、对应法则、值域】
2、单选题:

选项:
A: 0个
B: 3个
C: 2个
D: 1个
答案: 【 1个】
3、单选题:
下列对应法则不是函数是( )
选项:
A: 
B: 
C: 
D: 
答案: 【
】
1、单选题:
函数f(x)=
的定义域是( )
选项:
A: 
B: 
C: 
D: R
答案: 【
】
2、判断题:
函数f(x)=
的定义域是{x
1}
选项:
A: 正确
B: 错误
答案: 【 错误】
3、判断题:
f(x)=
与g(x)=x-2表示的不是同一个函数.
选项:
A: 正确
B: 错误
答案: 【 正确】
4、填空题:
已知函数f(x)=
,则f(0)的值为
答案: 【 0】
1、单选题:

选项:
A: 
B: 
C: 
D: 
答案: 【
】
2、单选题:

选项:
A: 
B: 
C: 
D: 
答案: 【
】
3、单选题:

选项:
A: 
B: 
C: 
D: 无法确定
答案: 【
】
1、单选题:
函数f(x)=kx+b的图像经过点(1,2),(0,1),则函数解析式为( ).
选项:
A: f(x)=-x+1
B: f(x)=x+1
C: f(x)=-x-1
D: f(x)=x-1
答案: 【 f(x)=x+1】
2、单选题:
若函数f(x)用列表法表示为x-2-10123f(x) 345678则它的定义域是( ).
选项:
A: {-2,-1,0,1,2,3}
B: {3,4,5,6,7,8}
C: Z
D: N
答案: 【 {-2,-1,0,1,2,3}】
3、单选题:
若函数用图像法表示为:
则函数的定义域是( ).
选项:
A: [-3,-2]
B: (-3,2]
C: [-3,2)
D: (-3,2)
答案: 【 (-3,2]】
4、判断题:
点M(1,-1)在函数y=1-2x的图像上.
选项:
A: 正确
B: 错误
答案: 【 正确】
1、单选题:

选项:
A: 3
B: -3
C: 2
D: -2
答案: 【 3】
2、单选题:

选项:
A: 3
B: -3
C: 1
D: -1
答案: 【 -3】
3、单选题:

选项:
A: 
B: 
C: 
D: 
答案: 【
】
1、单选题:
下列函数是奇函数的是( )
选项:
A: 
B: 
C: 
D: 
答案: 【
】
2、单选题:
下列函数是偶函数的是( )
选项:
A: 
B: 
C: 
D: 
答案: 【
】
3、单选题:

选项:
A: 偶函数
B: 奇函数
C: 既奇又偶函数
D: 非奇非偶函数
答案: 【 奇函数】
1、单选题:
下列函数中是偶函数的是( )
选项:
A: 
B: 
C: 
D: 
答案: 【
】
2、单选题:
下列函数中是奇函数的是( )
选项:
A: 
B: 
C: 
D: 
答案: 【
】
3、单选题:

选项:
A: 无法确定
B: 常函数
C: 增函数
D: 减函数
答案: 【 减函数】
1、单选题:

选项:
A: 
B: 
C: 
D: 
答案: 【
】
2、单选题:

选项:
A: 
B: 
C: 
D: 
答案: 【
】
3、单选题:

选项:
A: 
B: 
C: 
D: 
答案: 【
】
1、单选题:
已知
,当m<0时,f(m)=( )
选项:
A: -m
B: m
C: 
D: 0
答案: 【 -m】
2、单选题:
若
,则
( )
选项:
A: 
B: 
C: 2
D: -2
答案: 【 2】
3、单选题:
已知f(x)=1-2x,则f(1-x)=( )
选项:
A: 2x-1
B: -2x-1
C: 3-2x
D: 2x
答案: 【 2x-1】
4、判断题:
设函数
,则f(-3)=9
选项:
A: 正确
B: 错误
答案: 【 错误】
1、单选题:

选项:
A: 7
B: 8
C: 9
D: 10
答案: 【 9】
2、单选题:

选项:
A: 9
B: 8
C: 7
D: 6
答案: 【 6】
3、单选题:

选项:
A: 11250
B: 5625
C: 10000
D: 12250
答案: 【 11250】
1、单选题:

选项:
A: 
B: 
C: 
D: 
答案: 【
】
2、单选题:

选项:
A: 2
B: 
C: 
D: 
答案: 【
】
3、单选题:

选项:
A: 
B: 
C: 
D: 
答案: 【
】
1、单选题:

选项:
A: -1
B: 1
C: 4
D: 0
答案: 【 1】
2、单选题:

选项:
A: 
B: 
C: 
D: 
答案: 【
】
3、判断题:

选项:
A: 正确
B: 错误
答案: 【 错误】
1、单选题:

选项:
A: 18
B: 14
C: 16
D: 12
答案: 【 14】
2、单选题:

选项:
A: 55
B: 45
C: 50
D: 60
答案: 【 55】
3、单选题:

选项:
A: 30
B: 40
C: 50
D: 60
答案: 【 40】
1、单选题:
某移动公司采用分段计费的方法来计算话费,月通话时间与相应话费之间的函数图象如图所示:
当x>100时,求y与x之间的函数关系式
选项:
A: y=0.2x+20
B: y=0.4x
C: y=0.3x
D: y=0.2x+40
答案: 【 y=0.2x+20】
2、判断题:
某移动公司采用分段计费的方法来计算话费,月通话时间与相应话费之间的函数图象如图所示:

当通话时间是150分钟时,话费是50元。
选项:
A: 正确
B: 错误
答案: 【 正确】
3、判断题:
某移动公司采用分段计费的方法来计算话费,月通话时间与相应话费之间的函数图象如图所示:

已知本月话费是80元时,通话时长是100分钟。
选项:
A: 正确
B: 错误
答案: 【 错误】
1、单选题:

选项:
A: 增函数
B: 减函数
C: 常函数
D: 无法确定
答案: 【 减函数】
2、单选题:
下列函数中为奇函数的是( )
选项:
A: 
B: 
C: 
D: 
答案: 【
】
3、单选题:

选项:
A: 
B: 
C: 
D: 
答案: 【
】
1、单选题:

选项:
A: 
B: 
C: 
D: 
答案: 【
】
2、单选题:

选项:
A: 1
B: 
C: 3.14
D: 0
答案: 【 1】
3、单选题:

选项:
A: 
B: 
C: 
D: 
答案: 【
】
4、单选题:

选项:
A: 
B: 
C: 
D: 
答案: 【
】
5、单选题:

选项:
A: 
B: 
C: 
D: 
答案: 【
】
6、单选题:

选项:
A: 125
B: 25
C: 15
D: 5
答案: 【 125】
7、单选题:
下列函数是幂函数的是( )
选项:
A: 
B: 
C: 
D: 
答案: 【
】
8、单选题:
下列函数是指数函数的是( )
选项:
A: 
B: 
C: 
D: 
答案: 【
】
9、单选题:

选项:
A: 
B: 
C: 
D: 
答案: 【
】
10、单选题:
下列指数函数的图像从左往右看上是下降的是( )
选项:
A: 
B: 
C: 
D: 
答案: 【
】
11、单选题:
某台机器今年3月份的价值是5000元,从今年4月起每月折旧10%,那么今年7月份的价值是( )
选项:
A: 
B: 
C: 
D: 
答案: 【
】
12、单选题:

选项:
A: 
B: 
C: 
D: 
答案: 【
】
13、单选题:

选项:
A: 
B: 
C: 
D: 
答案: 【
】
14、单选题:

选项:
A: 
B: 
C: 2
D: 1
答案: 【 2】
15、单选题:

选项:
A: 
B: 
C: 
D: 
E: 
备案号:冀ICP备20010840号 2020-2099辉辉网络科技 All Rights Reserved