

1、判断题:
对于七进制而言,70为有效码。
选项:
A: 正确
B: 错误
答案: 【 错误】
2、判断题:

选项:
A: 正确
B: 错误
答案: 【 正确】
3、判断题:
R进制的进位规则是“逢R进1”,有1,2,…,R个数码。
选项:
A: 正确
B: 错误
答案: 【 错误】
4、判断题:
十六进制数有0,1,2,… ,14,15等16个数码。
选项:
A: 正确
B: 错误
答案: 【 错误】
5、判断题:
15H=15D
选项:
A: 正确
B: 错误
答案: 【 错误】
1、单选题:
十进制数88等于十六进制数 。
选项:
A: 46H
B: 68H
C: 58H
D: 5CH
答案: 【 58H】
2、单选题:
十进制数(+10.25)10的二进制补码表示为 :
选项:
A: (0 1010.01)2
B: (0 1010. 10)2
C: (0 0111.10)2
D: (0 0110. 11)2
答案: 【 (0 1010.01)2 】
3、单选题:
已知A=(10.44)10(下标表示进制),下列结果正确的是A=
选项:
A: (1010.1)2
B: (0A.8)16
C: (12.4)8
D: (20.21)5
答案: 【 (20.21)5】
4、单选题:
10110.11B转化成8进制数为 。
选项:
A: (52.3)8
B: (26.6)8
C: (52.6)8
D: (26.3)8
答案: 【 (26.6)8】
5、单选题:
如果一个十六进制计数器的计数在(39FF)16的基础上增1,则应显示 。
选项:
A: 4000
B: 3A00
C: 3900
D: 4A00
答案: 【 3A00】
6、判断题:
任意的十进制数转化成R进制,方法是除R取余,逆序排列 。
选项:
A: 正确
B: 错误
答案: 【 错误】
1、单选题:
当用8位二进制数表示一定点小数时,其最大值取值为
选项:
A: 127/128
B: 127
C: 255
D: 255/256
答案: 【 127/128 】
2、判断题:
定点表示法中小数点的位置是固定不变的,符号’.’不必表示出来。
选项:
A: 正确
B: 错误
答案: 【 正确】
3、判断题:
浮点表示法中,小数点移动的规则是小数点右移一位,相当于尾数的数码向右移一位,而阶码加1。
选项:
A: 正确
B: 错误
答案: 【 错误】
1、单选题:
二进制数X=-1101,则其原码是
选项:
A: 1101
B: 11101
C: 01101
D: -1101
答案: 【 11101】
2、单选题:
二进制数X=-1101,则其反码是
选项:
A: 1101 (b) (c) (d)
B: 11101
C: 10010
D: 10011
答案: 【 10010】
3、单选题:
二进制数X=-1101,则其补码是
选项:
A: 1101
B: 11101
C: 10010
D: 10011
答案: 【 10011】
4、判断题:
负数的原码、反码、补码的符号位均为1。
选项:
A: 正确
B: 错误
答案: 【 正确】
5、判断题:
[[X]反]反=[X]原
选项:
A: 正确
B: 错误
答案: 【 正确】
6、判断题:
正数的原码、反码和补码是一样的。
选项:
A: 正确
B: 错误
答案: 【 正确】
7、判断题:
乘法运算可用加法和移位两种操作实现,而除法运算可用减法加移位操作实现。
选项:
A: 正确
B: 错误
答案: 【 正确】
8、判断题:
[[X]补]补=[X]原
选项:
A: 正确
B: 错误
答案: 【 正确】
9、判断题:
二进制数的补码就是将原码按位取反,最低位加1。
选项:
A: 正确
B: 错误
答案: 【 错误】
10、判断题:
补码的数值部分仅仅是在反码的最后一位加1即可。
选项:
A: 正确
B: 错误
答案: 【 错误】
1、判断题:
通常数码有两种功能:一是表示数量的大小,二是作为事物的代码。
选项:
A: 正确
B: 错误
答案: 【 正确】
2、判断题:
数字系统中一般都采用二进制数码0、1来进行编码。
选项:
A: 正确
B: 错误
答案: 【 正确】
3、判断题:
N位二进制代码可以表示
个对象。
选项:
A: 正确
B: 错误
答案: 【 正确】
4、判断题:
有权码1001一定表示十进制数9。
选项:
A: 正确
B: 错误
答案: 【 错误】
5、判断题:
数字和字符可以编码,但标点符号是无法编码的。
选项:
A: 正确
B: 错误
答案: 【 错误】
1、单选题:
(75) =( ) 8421BCD
选项:
A: 1110101
B: 01110101
C: 111101
D: 1001011
答案: 【 01110101】
2、单选题:
(1011)8421BCD=( )10
选项:
A: 禁用码
B: 12
C: 13
D: 11
答案: 【 禁用码】
3、单选题:
已知某二进制数为(10111101010.1)2,则下列转换正确的是
选项:
A: (5724.4)8
B: (BD4. 8)16
C: (1514.2)10
D: (0100100001000111.1000)余3-BCD
答案: 【 (0100100001000111.1000)余3-BCD】
4、单选题:
十进制数5用631-1BCD码表示为
选项:
A: 1011
B: 0111
C: 0101
D: 1001
答案: 【 1001】
5、判断题:
一组4位二进制数组成的BCD码可表示16以内的任何一个十进制数。
选项:
A: 正确
B: 错误
答案: 【 错误】
6、判断题:
BCD码均为恒权码,如8421-BCD、5421-BCD、余3-BCD码等。
选项:
A: 正确
B: 错误
答案: 【 错误】
7、判断题:
8421BCD码不能用来表示大于9的十进制数 。
选项:
A: 正确
B: 错误
答案: 【 错误】
8、判断题:
BCD码是一种人为选定的表示0~9这十个字符的代码。
选项:
A: 正确
B: 错误
答案: 【 正确】
9、判断题:
(0011)8421BCD=(0011)5421BCD =( 3 )10
选项:
A: 正确
B: 错误
答案: 【 正确】
1、判断题:
格雷码是一种有权码,任何两个相邻的N位格雷码仅有一位码元不同。
选项:
A: 正确
B: 错误
答案: 【 错误】
2、判断题:
任何两个相邻的十进制数的格雷码仅有一位不同,这样可大大减小代码变化时出现的错误概率,所以它是一种错误最小化代码。
选项:
A: 正确
B: 错误
答案: 【 正确】
3、判断题:
格雷码都是无权码。
选项:
A: 正确
B: 错误
答案: 【 正确】
4、判断题:
0~9中任何两个相邻的十进制数的格雷码仅有一位不同。
选项:
A: 正确
B: 错误
答案: 【 正确】
5、判断题:
典型格雷码具有镜面反射特性,所以又称反射码。
选项:
A: 正确
B: 错误
答案: 【 错误】
1、单选题:
下列代码中 可以在一定条件下获得纠错功能。
选项:
A: 5421BCD码
B: 奇校验码
C: 偶校验码
D: 各代码间的最小Hamming距离为3的代码
答案: 【 各代码间的最小Hamming距离为3的代码】
2、判断题:
误差检验码具有发现错误并纠正的能力。
选项:
A: 正确
B: 错误
答案: 【 正确】
3、判断题:
增加监督码元后,使整个码组“1”码元的数目为奇数,称为奇校验码。
选项:
A: 正确
B: 错误
答案: 【 正确】
4、判断题:
‘110011’有偶数个1,它可增加的偶校验码为1。
选项:
A: 正确
B: 错误
答案: 【 错误】
5、判断题:
奇偶校验码可以检测单向单错,且为可分离码。
选项:
A: 正确
B: 错误
答案: 【 正确】
1、单选题:
ASCII编码一般为 位。
选项:
A: 7
B: 8
C: 9
D: 10
答案: 【 8】
2、判断题:
ASCII码中十进制数0~9采用相同的高三位,即011。
选项:
A: 正确
B: 错误
答案: 【 正确】
3、判断题:
英文字母a和A的ASCII码是相同的。
选项:
A: 正确
B: 错误
答案: 【 错误】
1、单选题:

选项:
A: 与或非
B: 或与非
C: 同或
D: 异或
答案: 【 与或非】
2、单选题:

选项:
A: 与
B: 或
C: 非
D: 与非
答案: 【 或】
3、单选题:

选项:
A: 与
B: 或
C: 或非
D: 与非
答案: 【 与非】
4、单选题:

选项:
A: 与非
B: 或非
C: 同或
D: 异或
答案: 【 或非】
5、判断题:
逻辑变量的取值只有两种:“1”或“0”。这里的“1”和“0”既可表示数量的大小,又可表示完全对立的两种状态。
选项:
A: 正确
B: 错误
答案: 【 错误】
6、判断题:
逻辑运算中,A+A+1=1。
选项:
A: 正确
B: 错误
答案: 【 正确】
1、单选题:
辑函数的描述有多种,下列仅 描述是惟一的。
选项:
A: 逻辑函数表达式
B: 真值表
C: 逻辑电路图
D: 语言描述
答案: 【 真值表 】
2、单选题:
三变量的真值表输入有 种不同的取值。
选项:
A: 3
B: 8
C: 4
D: 9
答案: 【 8】
3、判断题:
波形图反映了各个逻辑变量的逻辑值随时间变化的规律。
选项:
A: 正确
B: 错误
答案: 【 正确】
4、判断题:
真值表和卡诺图的逻辑函数表示都是唯一的。
选项:
A: 正确
B: 错误
答案: 【 正确】
5、判断题:
逻辑函数的各种描述方法之间均可以相互转换。
选项:
A: 正确
B: 错误
答案: 【 正确】
1、单选题:

选项:
A: 与非门
B: 或非门
C: 同或门
D: 异或门
答案: 【 异或门】
2、单选题:
下列描述式中,等式不成立的是 。
选项:
A: 
B: 
C: 
D: 
答案: 【
】
3、单选题:

选项:
A: 与非门
B: 或非门
C: 异或门或同或门
D: 与或非门
答案: 【 异或门或同或门】
4、单选题:
一个4输入端或非门,使其输出为1的输入变量组合有 种。
选项:
A: 1
B: 4
C: 8
D: 15
答案: 【 1】
5、单选题:
一个4输入端与非门,使其输出为0的输入变量组合有 种。
选项:
A: 1
B: 2
C: 4
D: 15
答案: 【 1】
6、判断题:
若X+Y=X,则必有Y=0。
选项:
A: 正确
B: 错误
答案: 【 错误】
7、判断题:
A⊙B⊙C =A⊕B⊕C
选项:
A: 正确
B: 错误
答案: 【 正确】
8、判断题:
已知X+Y=X+Z,则必有Y=Z。
选项:
A: 正确
B: 错误
答案: 【 错误】
9、判断题:
偶数个变量同或的结果与异或的结果互非。
选项:
A: 正确
B: 错误
答案: 【 正确】
10、填空题:
奇数个逻辑变量A连续同或,结果为 ______。
答案: 【 A】
1、单选题:

选项:
A: 
B: 
C: 
D: 
答案: 【
】
2、单选题:

选项:
A: 
B: 
C: 
D: 
答案: 【
】
3、单选题:

选项:
A: 
B: 
C: 
D: 
答案: 【
】
4、单选题:

选项:
A: 
B: 
C: 
D: 
答案: 【
】
5、判断题:
根据对偶定理,逻辑式与其对偶式是相等的。
选项:
A: 正确
B: 错误
答案: 【 错误】
6、判断题:
一个包含变量A的逻辑等式中,若以另外一个逻辑式代入式中所有A的位置,则等式可能不再成立。
选项:
A: 正确
B: 错误
答案: 【 错误】
7、填空题:
定理指出,对于任意一个逻辑式Y,若将其中所有的“·”换成“+”,“+”换成“·”,“0”换成“1”,“1”换成“0”,原变量换成反变量,反变量换成原变量,则得到的结果就是Y的逻辑非。
答案: 【 反演】
8、填空题:
对于任何一个逻辑式Y,若将其中的“·”换成“+”,“+”换成“·”,“0”换成“1”,“1”换成“0”,则可得到一个新的逻辑式Y*, Y*即为Y的 式。
答案: 【 对偶】
1、判断题:
逻辑函数的最简“与-或式”规则是乘积项(与项)最少,且每个乘积项里的因子最少。
选项:
A: 正确
B: 错误
答案: 【 正确】
2、判断题:
逻辑函数的最简形式是唯一的。
选项:
A: 正确
B: 错误
答案: 【 错误】
1、单选题:
下列等式正确的是 。
选项:
A: A+AB+B=A +B
B: 
C: 
D: 
答案: 【 A+AB+B=A +B】
2、单选题:
逻辑代数的运算法则不正确的是 。
选项:
A: 
B: 
C: 
D: 
答案: 【
】
3、单选题:
逻辑函数
化简结果正确的是 。
选项:
A: Y=A
B: Y=B
C: Y=1
D: Y=A+B
答案: 【 Y=1】
4、单选题:
下列描述式中,等式不成立的是 。
选项:
A: 
B: 
C: 
D: 
答案: 【
】
5、单选题:
逻辑函数
化简结果正确的是 。
选项:
A: Y=A+D
B: 
C: Y=AD
D: Y=A+B
答案: 【 Y=AD】
6、单选题:
逻辑函数
化简结果正确的是 .
选项:
A: 
B: Y=A
C: Y=ABCD
D: 
答案: 【
】
7、单选题:
逻辑函数
化简结果正确的是 。
选项:
A: 
B: 
C: 
D: 
答案: 【
】
8、单选题:
逻辑函Y=
化简结果正确的是 。
选项:
A: Y=B
B: Y=1
C: Y=A
D: Y=0
答案: 【 Y=0】
9、单选题:
逻辑函数
化简正确的是
选项:
A: 
B: 
C: 
D: 
答案: 【
】
10、单选题:
逻辑函数
化简结果正确的是 。
选项:
A: Y=A
B: Y=B
C: Y=1
D: Y=A+B
答案: 【 Y=A+B】
1、单选题:
逻辑函数
,可用与非门和非门表示为 。
选项:
A: 
B: 
C: 
D: 
答案: 【
】
2、单选题:
逻辑函数Y=AB+AC+BC,可用与非门表示为 。
选项:
A: 
B: 
C: 
D: 
答案: 【
】
3、单选题:
逻辑函数
,可用与非门和非门表示为 。
选项:
A: 
B: 
C: 
D: 
答案: 【
】
1、单选题:
一个4变量逻辑函数,下列 是其最小项之一。
选项:
A: ABC+D
B: ACD
C: AB+CD
D: 
答案: 【
】
2、判断题:
在输入变量的任何取值下必有一个且仅有一个最小项的值为0。
选项:
A: 正确
B: 错误
答案: 【 错误】
3、判断题:
任意两个最小项的乘积为0。
选项:
A: 正确
B: 错误
答案: 【 正确】
4、判断题:
某一最小项若不包含在逻辑式F中,则必在F的对偶式中。
选项:
A: 正确
B: 错误
答案: 【 错误】
5、填空题:
在n变量逻辑函数中,若m为包含n个因子的乘积项,而且这n个变量均以原变量或反变量的形式在m中出现一次,则称m为该组变量的 。
答案: 【 最小项】
1、单选题:
下列说法正确的是 。
选项:
A: 一个逻辑函数全部最小项之和恒等于0
B: 一个逻辑函数全部最大项之和恒等于0
C: 一个逻辑函数全部最小项之积恒等于1
D: 一个逻辑函数全部最大项之积恒等于0
答案: 【 一个逻辑函数全部最大项之积恒等于0】
2、判断题:
在输入变量的任何取值下必有一个且仅有一个最大项的值为1。
选项:
A: 正确
B: 错误
答案: 【 错误】
3、判断题:
某一最大项若不包含在逻辑式F中,则必在F的反演式中。
选项:
A: 正确
B: 错误
答案: 【 正确】
4、判断题:
任意两个最大项之和为1。
选项:
A: 正确
B: 错误
答案: 【 正确】
5、填空题:
在n变量函数中,若M为n个变量之和,且这n个变量均以原变量或反变量的形式在M中出现一次,则称M为该组变量的 。
答案: 【 最大项】
1、单选题:
将逻辑函数式
化为最小项之和的形式为 。
选项:
A: 
B: 
C: 
D: 
答案: 【
】
2、单选题:
将逻辑函数式
化为最大项之积的形式为 。
选项:
A: 
B: 
C: 
D: 
答案: 【
】
3、单选题:
将逻辑函数式
化为最大项之积的形式为 。
选项:
A: 
B: 
C: 
D: 
答案: 【
】
4、单选题:
函数
的反函数
是 。
选项:
A: 
B: 
C: 
D: 
答案: 【
】
5、单选题:
将逻辑函数式
化为最大项之积的形式为 。
选项:
A: 
B: 
C: 
D: 
答案: 【
】
6、单选题:
将逻辑函数式
化为最小项之和的形式为 。
选项:
A: 
B: 
C: 
D: 
答案: 【
】
7、单选题:

选项:
A: 
B: 
C: 
D: G(A,B,C)=A(B+C)
答案: 【
】
8、单选题:
一个4输入端与非门,使其输出为1的输入变量组合有 。
选项:
A: 1
B: 2
C: 4
D: 15
答案: 【 15】
9、单选题:
将逻辑函数式
化为最小项之和的形式为 。
选项:
A: 
B: 
C: 
D: 
答案: 【
】
10、判断题:
任何逻辑函数均可化为最小项之积或最大项之和的标准形式。
选项:
A: 正确
B: 错误
答案: 【 错误】
1、判断题:
卡诺图中紧挨着的方格是逻辑相邻的,上下、左右相对应的方格不是相邻的。
选项:
A: 正确
B: 错误
答案: 【 错误】
2、填空题:
卡洛图的每个小方格代表逻辑函数的一个 。
答案: 【 最小项】
3、填空题:
卡洛图中几何相邻的小方格具有 相邻性,即两相邻小方格所代表的最小项只有一个变量取值不同。
答案: 【 逻辑】
4、填空题:
卡诺图中变量的取值不能按照自然二进制数的顺序排列,必须按 码排列。
答案: 【 循环】
5、填空题:
卡诺图中的小方格数等于最小项总数,若逻辑函数的变量数为4,则小方格数为 个。
答案: 【 16】
1、单选题:
逻辑函数
的卡洛图表示正确的是 。
选项:
A: 
B: 
C: 
D: 
答案: 【
】
2、单选题:

选项:
A: 
B: Y=m1+m4+m7
C: 
D: 
答案: 【 Y=m1+m4+m7】
3、判断题:
逻辑函数的卡诺图表示不是唯一的。
选项:
A: 正确
B: 错误
答案: 【 错误】
1、判断题:
卡诺图中2n个相邻“1”格的最小项可以合并成一个与项,并消去n个变量。
选项:
A: 正确
B: 错误
答案: 【 错误】
2、判断题:
只有一个变量不同的两个最小项的乘积等于各相同变量之积。
选项:
A: 正确
B: 错误
答案: 【 错误】
3、判断题:
4变量卡诺图,可圈的相邻小方格最大数为8。
选项:
A: 正确
B: 错误
答案: 【 错误】
4、判断题:
在n个变量的卡诺图中,若有
个“1”格相邻(k=0,1,2,3,…,n),它们可以圈在一起加以合并,合并时可以消去k个不同的变量,简化为一个具有(n-k)个变量的与项。
选项:
A: 正确
B: 错误
答案: 【 正确】
5、判断题:
只有一个变量不同的两个最大项的乘积等于各相同变量之和。
选项:
A: 正确
B: 错误
答案: 【 正确】
6、判断题:
卡诺图中2个相邻“1”格的最小项可以合并成一个与项,并消去一个变量。
选项:
A: 正确
B: 错误
答案: 【 正确】
1、单选题:

选项:
A: Y=A+C+D
B: Y=AB+C+D
C: 
D: 
答案: 【
】
2、单选题:

选项:
A: 
B: 
C: 
D: 
答案: 【
】
3、单选题:

选项:
A: 
B: 
C: 
D: 
答案: 【
】
4、单选题:

选项:
A: Y=B+C+D
B: 
C: 
D: Y=A+C+D
答案: 【
】
5、单选题:

选项:
A: 
B: 
C: 
D: B或C
答案: 【 B或C】
6、单选题:

选项:
A: 
B: 
C: 
D: 
答案: 【
】
7、单选题:

选项:
A: 
B: 
C: 
D: 
答案: 【
】
8、判断题:
卡诺图化简得到的最简与或式是唯一的。
选项:
A: 正确
B: 错误
答案: 【 错误】
1、单选题:
8、用卡诺图法将逻辑函数
化为最简“与或”式,给定的约束条件为
,结果正确的是 。
选项:
A: 
B: 
C: 
D: 
答案: 【
】
2、单选题:

选项:
A: 
B: 
C: 
D: 
答案: 【
】
3、单选题:
逻辑函数
的最简与或式是 。
选项:
A: 
B: 
C: 
D: 
答案: 【
】
4、单选题:

选项:
A: 
B: 
C: 
D: 
答案: 【
】
5、单选题:
用卡诺图法将逻辑函数
化为最简“与或”式,给定的约束条件为AB+CD=0,结果正确的是 。
选项:
A: 
B: 
C: 
D: Y=B+AD+AC
答案: 【
】
6、判断题:
合并最小项时,究竟把卡诺图上的“×”作为1还是0,应以得到的相邻最小项矩形组合最大,而且矩形组合数目最小为原则。
选项:
A: 正确
B: 错误
答案: 【 正确】
7、判断题:
在化简逻辑函数时,需要把无关项置0。
选项:
A: 正确
B: 错误
答案: 【 错误】
8、填空题:
有时输入变量的某些取值是1还是0皆可,并不影响电路的功能。在这些变量取值下,其值等于1的那些最小项称为 项。
答案: 【 任意】
9、填空题:
约束项和任意项统称为逻辑函数中的 项,在卡诺图中用“×”表示。
答案: 【 无关】
10、填空题:
在某些情况下,输入变量的取值不是任意的。当限制某些输入变量的取值不能出现时,可以用它们对应的最小项恒等于0来表示。这些恒等于0的最小项叫 项。
答案: 【 约束】
1、单选题:
(88)10=( )16。
选项:
A: 58
B: 46
C: 68
D: 5C
答案: 【 58】
2、单选题:
将逻辑函数
表示成最简“与非–与非”形式为 。
选项:
A: 
B: 
C: 
D: 
答案: 【
】
3、单选题:
函数
的反函数
。
选项:
A: 
B: 
C: 
D: 
答案: 【
】
4、单选题:
将(57.6)8进行数制转换时,转换错误的是:
选项:
A: (47.3)10
B: (101111.110)2
C: (2F.C)16
D: (00101111.11)2
答案: 【 (47.3)10】
5、单选题:
下列几种说法中与BCD码的性质不符的是:
选项:
A: BCD码均为恒权码,如8421-BCD,5421-BCD,2421-BCD等等
B: 一组四位二进制数组成的BCD码只能表示一位十进制数
C: BCD码是一种人为选定的0~9这十个字符的代码
D: BCD码有多种
答案: 【 BCD码均为恒权码,如8421-BCD,5421-BCD,2421-BCD等等】
6、单选题:
若仅当输入变量A、B全为‘1’时,输出F=0,则输出与输入的关系是 运算。
选项:
A: 与非
B: 同或
C: 异或
D: 或非
E: 或
答案: 【 与非】
7、单选题:
已知函数
,将其化为最简"与-或"形式为
选项:
A: ABC+ACD
B: ABC+ABD
C: 
D: 
答案: 【 ABC+ACD】
8、单选题:
已知函数
,约束条件为
,将其化为最简“与–或”形式为
选项:
A: 
B: 
C: 
D: 
答案: 【
】
9、单选题:
若已知
,则判断
成立的最简单方法是以下 规则?
选项:
A: 对偶规则
B: 代数规则
C: 反演规则
D: 互补规则
答案: 【 对偶规则】
10、单选题:
若A+B=1,则
。
选项:
A: 
B: 
C: 
D: 
答案: 【
】
11、判断题:
奇偶校验码是一种典型的误差纠错码。
选项:
A: 正确
B: 错误
答案: 【 错误】
12、判断题:
任何逻辑函数均可化为最小项之和和最大项之积两种标准形式。
选项:
A: 正确
B: 错误
答案: 【 正确】
13、判断题:
约束项和无关项均为任意项。
选项:
A: 正确
B: 错误
答案: 【 错误】
14、判断题:
一组四位二进制数组成的BCD码能表示十六以内的任何一个十进制数。
选项:
A: 正确
B: 错误
答案: 【 错误】
15、判断题:
n变量逻辑函数的最小项数目和最大项数目一样多,均为
个。
选项:
A: 正确
B: 错误
答案: 【 正确】
16、判断题:
在数字电路和数字计算机中,所有二进制数的补码均采用将数值按位“取反+1”的法则来求得,且二进制数的加、减、乘、除运算都可以用补码的加法运算电路完成。
选项:
A: 正确
B: 错误
答案: 【 错误】
17、判断题:
逻辑函数描述方式中仅有真值表具有惟一性。
选项:
A: 正确
B: 错误
答案: 【 错误】
18、判断题:
布尔代数是建立在‘0’、‘1’二值逻辑和“与”、“或”、“非”三种基本逻辑之上的。
选项:
A: 正确
B: 错误
答案: 【 正确】
19、判断题:
求一个逻辑函数的反函数可采用对偶定理。
选项:
A: 正确
B: 错误
答案: 【 错误】
20、判断题:
应用对偶定理能很好地将两变量德摩根定律扩展为多变量德摩根定律。
选项:
A: 正确
B: 错误
答案: 【 错误】
21、判断题:
卡诺图化简时,圈‘1’的面积应尽可能大,且圈中‘1’的数目需为
个,n为
的整数。
选项:
A: 正确
B: 错误
答案: 【 正确】
22、填空题:
(8F.FF)16=( )8
答案: 【 217.776】
23、填空题:
(25.7)10=( )2 ,保留小数点以后4位有效数字
答案: 【 11001.1011】
24、填空题:
(0011)631-1BCD=( )10
答案: 【 0】
25、填空题:
(3D.BE)16=( )10
答案: 【 61.7421875】
26、填空题:
(-00101.01)2的补码为
答案: 【 111010.11】
27、填空题:
若AB=0,则
答案: 【 A+B】
28、填空题:
逻辑函数Y=A+B+CD的最小项之和的形式为
答案: 【 3,4,5,6,7,8,9,10,11,12,13,14,15】
29、填空题:
已知逻辑函数
,其卡诺图化简为最简“与–或”形式的结果为
答案: 【 A+BC+BD】
30、填空题:
逻辑函数
的最大项之积的形式为Y=
答案: 【 0,1,7】
31、填空题:
数制是人们对数量计数的一种统计规则。任何一种进位计数包含基数和 两个基本因素。
答案: 【 位权】
32、填空题:
逻辑函数
化为最简“与–或”形式的结果为
答案: 【 0】
33、填空题:
逻辑函数Y=
的对偶式的最简“与–或”形式为
答案: 【 B+C】
34、填空题:
将逻辑函数
的反函数化简为最简“与–或”形式结果为
答案: 【 0】
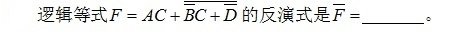
1、单选题:
数字电路中,正、负逻辑的规定是 。
选项:
A: 正逻辑低电平为“0”,高电平为“1”;负逻辑高电平为“0”,低电平为“1”
B: 正逻辑低电平为“1”,高电平为“0”;负逻辑高电平为“1”,低电平为“0”
C: 正负逻辑都是高电平为“0”,低电平为“1”
D: 正负逻辑都是高电平为“1”,低电平为“0”
答案: 【 正逻辑低电平为“0”,高电平为“1”;负逻辑高电平为“0”,低电平为“1”】
2、判断题:
数字电路对元、器件参数精度和电源稳定度较模拟电路低一些。
选项:
A: 正确
B: 错误
答案: 【 正确】
3、判断题:
提高数字电路的运算精度主要靠提高电源的稳定度。
选项:
A: 正确
B: 错误
答案: 【 错误】
4、判断题:
用单开关电路获得高、低电平的主要特点是静态功耗低。
选项:
A: 正确
B: 错误
答案: 【 错误】
5、填空题:
用以实现基本逻辑功能和复合逻辑运算的单元电路称为 。
答案: 【 门电路】
1、单选题:
在数字电路中,将晶体二级管当做开关使用时,利用的是其 模型。
选项:
A: 折线
B: 小信号
C: 恒压降
D: 理想
答案: 【 恒压降】
2、单选题:
在数字电路中,晶体三极管主要工作在 区。
选项:
A: 放大区
B: 截止区和饱和区
C: 击穿区
D: 任意
答案: 【 截止区和饱和区】
3、单选题:
在数字电路中,MOS管工作在开关闭合状态时,其漏-源之间的等效电阻 。
选项:
A: 一般>
Ω
B: 一般<
Ω
C: 为0
D: 无法确定
答案: 【 一般<
Ω】
4、判断题:
当外加电压突然由正向变为反向时,二极管内部电流立即为零。
选项:
A: 正确
B: 错误
答案: 【 错误】
5、填空题:
在数字电路中,晶体三极管工作在深度饱和状态时,其CE结之间的压降一般仅为 V。
答案: 【 0.1-0.3】
1、单选题:
下图所示电路可实现的逻辑关系为

选项:
A: 与
B: 或
C: 非
D: 异或
答案: 【 或】
2、单选题:
下图所示电路实现的逻辑关系为

选项:
A: 与非
B: 或非
C: 同或
D: 异或
答案: 【 与非】
3、单选题:
分立元件电路的缺陷包括以下 。
选项:
A: 体积大、功耗大、可靠性差
B: 易发生高、低电平的偏移
C: 不利于直接驱动负载电路
D: 以上均是
答案: 【 以上均是】
1、单选题:
典型TTL、CMOS、ECL逻辑门中,时延最小、功耗最低和速度最快的门电路分别 。
选项:
A: TTL、CMOS、ECL
B: TTL、CMOS、TTL
C: ECL、CMOS、ECL
D: CMOS、CMOS、ECL
答案: 【 ECL、CMOS、ECL 】
2、单选题:
下面哪个不属于集成电路的优点 。
选项:
A: 体积小
B: 重量轻
C: 成本高
D: 寿命长
答案: 【 成本高】
3、单选题:
下面 集成电路的集成度可以做得很大?
选项:
A: IIL
B: TTL
C: ECL
D: HTL
答案: 【 IIL】
4、填空题:
通常把一个封装内含有等效逻辑门的个数或元器件的个数定义为 。
答案: 【 集成度】
1、单选题:
下列 不属于CMOS反相器的特点。
选项:
A: 静态功耗低
B: 工作速度快
C: 工作频率不受限制
D: 噪声容限高
答案: 【 工作频率不受限制 】
2、单选题:
下列器件通常被当做CMOS电路的缓冲器使用的是 。
选项:
A: CMOS传输门
B: CMOS反相器
C: CMOS与非门
D: CMOS异或门
答案: 【 CMOS反相器】
3、填空题:
CMOS反相器为低阻回路,所以带 负载时,充放电速度很快。
答案: 【 容性】
4、填空题:
CMOS逻辑门输出高电平、低电平的典型值为 VDD和 。
答案: 【 0】
5、填空题:
CMOS反相器和 是构成复杂CMOS逻辑电路的两种基本模块。
答案: 【 传输门##%_YZPRLFH_%##TG门】
1、单选题:
一个二输入CMOS与非门,一输入端接一只10KΩ的电阻接地,另一输入端接变量A,则输出Y= :
选项:
A: 0
B: 1
C: A
D: 
答案: 【 1】
2、单选题:
一个二输入CMOS异或门,一输入端接一只10KΩ的电阻接地,另一输入端接变量A,则输出Y= :
选项:
A: 0
B: 1
C: A
D: 
答案: 【 A】
3、单选题:
一个二输入CMOS或非门,一输入端接一只10KΩ的电阻接地,另一输入端接变量A,则输出Y= :
选项:
A: 0
B: 1
C: A
D: 
答案: 【
】
4、单选题:
下列CMOS器件可以当做模拟开关使用的是 :
选项:
A: CMOS传输门
B: CMOS或非门
C: CMOS与非门
D: CMOS异或门
答案: 【 CMOS传输门】
5、判断题:
CMOS与非门的多余输入端可连在高电平上。
选项:
A: 正确
B: 错误
答案: 【 正确】
备案号:冀ICP备20010840号 2020-2099辉辉网络科技 All Rights Reserved