

1、单选题:
对线性系统的状态空间表达式进行非奇异线性变换
,下述说法错误的是( ):
选项:
A: 非奇异线性变换不改变系统的特征根;
B: 非奇异线性变换不改变系统的传递函数矩阵;
C: 非奇异线性变换不改变系统的状态空间描述;
D: 矩阵P是同一线性空间两组不同状态变量之间的线性变换矩阵;
答案: 【 非奇异线性变换不改变系统的状态空间描述;】
2、单选题:
以下对状态变量描述错误的是( )
选项:
A: 足以完全表征系统运动状态的最少个数的一组变量;
B: 同一系统状态变量的选取是唯一的;
C: 状态变量在数学上是线性无关的;
D: 同一系统状态变量的个数是唯一的。
答案: 【 同一系统状态变量的选取是唯一的;】
3、单选题:
以下对状态空间表达式描述正确的是( )
选项:
A: 状态方程和输出方程的总和;
B: 由系统状态变量构成的描述系统动态过程的一阶微分方程组;
C: 描述系统输入引起系统状态变化的一阶微分方程组;
D: 描述系统输出与系统输入及系统状态之间的一个关系表达式;
答案: 【 状态方程和输出方程的总和;】
4、单选题:
下列关于线性定常控制系统说法错误的是( )。
选项:
A: 同一动态系统的特征根是唯一确定的;
B: 同一动态系统的状态向量的维数是唯一的;
C: 同一动态系统的状态空间表达式是唯一的;
D: 同一动态系统的传递函数矩阵是唯一的;
答案: 【 同一动态系统的状态空间表达式是唯一的;】
5、单选题:
两个子系统可串联的条件为( )。
选项:
A: 前一个子系统输出的维数与后一个子系统输出的维数相等;
B: 前一个子系统输出的维数与后一个子系统输入的维数相等;
C: 两个子系统输入维数相等、输出维数也相等;
D: 一个子系统输入的维数等于另一个子系统输出的维数;
答案: 【 前一个子系统输出的维数与后一个子系统输入的维数相等;】
6、单选题:
由系统的传递函数得到系统的状态空间表达式,若直接传输矩阵等于零,则有
选项:
A: 传递函数分子的阶数小于分母的阶数
B: 传递函数分子的阶数等于分母的阶数
C: 传递函数分子的阶数大于分母的阶数
D: 传递函数分子的阶数大于等于分母的阶数
答案: 【 传递函数分子的阶数小于分母的阶数】
7、单选题:
由系统的框图建立系统状态空间表达式,需将方框图化为只包含( )的方框图。
选项:
A: 比例环节和积分环节
B: 积分环节
C: 一阶惯性环节和二阶振荡环节
D: 加法器和积分器
E: 比例环节、积分环节和加法器
答案: 【 比例环节、积分环节和加法器】
8、单选题:
建立实际物理系统状态方程时,应按( )的原则确定状态变量个数。
选项:
A: 每一个动态环节对应一个状态变量;
B: 每一个静态环节对应一个状态变量;
C: 每一个独立储能元件对应一个状态变量;
D: 每一个积分环节对应一个状态变量;
答案: 【 每一个独立储能元件对应一个状态变量;】
9、单选题:
如下输入输出描述
的一个状态空间表达式为( )
选项:
A: 
B: 
C: 
D: 
答案: 【
】
10、单选题:
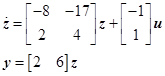
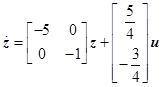
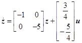
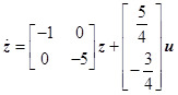
系统的状态空间表达式为:
对系统进行非奇异线性变换
,系统的状态空间表达式为( )
选项:
A: 
B: 
C: 
D: 
答案: 【
】
11、单选题:
已知系统的高阶微分方程为
,其所对应的状态空间表达式为:

则列写该状态空间表达式所选取的状态变量为( )
选项:
A: 
B: 
C: 
D: 
答案: 【
】
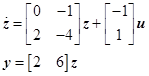
12、单选题:
系统的状态方程为
,其所对应的对角规范型为( )
选项:
A: 
B: 
C: 
D: 
答案: 【
】
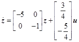
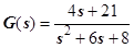
13、单选题:
已知系统的状态方程式为
,其所对应的传递函数矩阵为( )
选项:
A: 
B: 
C: 
D: 
答案: 【
】
14、单选题:
二个子系统可并联的条件为( )
选项:
A: 前一个系统输入的维数与后一个子系统输出的维数相等;
B: 前一个系统输出的维数与后一个子系统输入的维数相等;
C: 二个子系统输入维数相等、输出维数也相等;
D: 一个子系统输入的维数等于另一个子系统输出的维数;
答案: 【 二个子系统输入维数相等、输出维数也相等;】
15、单选题:
由系统的传递函数得到系统的状态空间表达式,若直接传输矩阵不等于零,则有( )。
选项:
A: 传递函数分子的阶数小于分母的阶数;
B: 传递函数分子的阶数等于分母的阶数;
C: 传递函数分子的阶数小于等于分母的阶数;
D: 传递函数分子的阶数大于分母的阶数;
答案: 【 传递函数分子的阶数等于分母的阶数;】
16、单选题:
下列关于非奇异线性变换说法错误的是( )。
选项:
A: 同一系统不同状态向量之间存在非奇异线性变换关系;
B: 合理地选取非奇异变换矩阵一定能将系统矩阵化为对角规范型;
C: 非奇异线性变化不改变系统的特征值;
D: 非奇异线性变换不改变系统的传递函数矩阵;
答案: 【 合理地选取非奇异变换矩阵一定能将系统矩阵化为对角规范型;】
17、单选题:
以下对状态向量最小性描述错误的是( )。
选项:
A: 对于一个实际物理系统状态变量的个数等于系统中独立储能元件的个数;
B: 足以完全表征系统动态行为的最少个数的一组变量;
C: 状态变量在数学上是线性无关的;
D: 状态变量在数学上是线性相关的;
答案: 【 状态变量在数学上是线性相关的;】
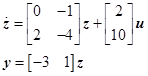
18、单选题:
系统的状态方程为
,其所对应的约当规范型为( )
选项:
A: 
B: 
C: 
D: 
答案: 【
】
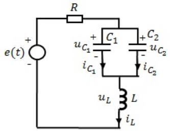
19、多选题:
对于如图所⽰RLC电路,列写状态方程,状态变量选取正确的是( )

选项:
A: 
B: 
C: 
D: 
E: 
答案: 【
;
】
20、多选题:
以下对状态向量最小性描述错误的是( )。
选项:
A: 对于一个实际物理系统状态变量的个数等于系统中储能元件的个数;
B: 足以完全表征系统动态行为的最少个数的一组变量;
C: 状态变量在数学上是线性无关的;
D: 状态变量在数学上是线性相关的;
答案: 【 对于一个实际物理系统状态变量的个数等于系统中储能元件的个数;;
状态变量在数学上是线性相关的;】
1、单选题:
关于线性定常系统的时间响应描述正确的是()
选项:
A: 响应包含两部分,一部分是零输入响应,另一部分是零状态响应;
B: 线性系统的零状态响应是稳态响应的一部分;
C: 线性系统的零输入响应是稳态响应的一部分;
D: 线性系统的暂态响应是零输入响应的一部分;
答案: 【 响应包含两部分,一部分是零输入响应,另一部分是零状态响应;】
2、单选题:
下列关于线性时变系统状态转移矩阵说法错误的是( )
选项:
A: 初始时刻的状态转移矩阵为单位阵;
B: 状态转移矩阵和矩阵指数函数在数学上是等价的;
C: 同一系统的状态转移矩阵和系统矩阵的乘积,一般情况下是不可交换的;
D: 状态转移矩阵就是系统在零输入条件下,两个不同时刻间状态的线性变换;
答案: 【
备案号:冀ICP备20010840号 2020-2099辉辉网络科技 All Rights Reserved