聚合答案库

免费查题,不限次数,
扫描二维码立即使用。

了解更多
免费中国大学MOOC 2021春大学计算机SPOC(哈尔滨工业大学(深圳))1462485204 最新慕课答案-聚合答案库
作者:20782912023-03-04 00:00 点赞 收藏 热度:19

第1讲之模拟练习题

1、单选题:
‍计算之树中,通用计算环境的演化思维是怎样概括的?________。‌
选项:
A: 程序执行环境—由CPU-内存环境,到CPU-存储体系环境,到多CPU-多存储器环境,再到云计算虚拟计算环境
B: 网络运行环境—由个人计算机、到局域网广域网、再到Internet
C: 元器件—由电子管、晶体管、到集成电路、大规模集成电路和超大规模集成电路
D: 上述全不对
答案: 【 程序执行环境—由CPU-内存环境,到CPU-存储体系环境,到多CPU-多存储器环境,再到云计算虚拟计算环境

2、单选题:
‏计算之树中,网络化思维是怎样概括的________。‌
选项:
A: 局域网、广域网和互联网
B: 机器网络、信息网络和人-机-物互联的网络化社会
C: 机器网络、信息网络和物联网
D: 局域网络、互联网络和数据网络
答案: 【 机器网络、信息网络和人-机-物互联的网络化社会

3、单选题:
‏人类应具备的三大思维能力是指_____。‌
选项:
A: 抽象思维、逻辑思维和形象思维
B: 实验思维、理论思维和计算思维
C: 逆向思维、演绎思维和发散思维
D: 计算思维、理论思维和辩证思维
答案: 【 实验思维、理论思维和计算思维

4、单选题:
‏如何学习计算思维?_____。​
选项:
A: 为思维而学习知识而不是为知识而学习知识
B: 不断训练,只有这样才能将思维转换为能力
C: 先从贯通知识的角度学习思维,再学习更为细节性的知识,即用思维引导知识的学习
D: 以上所有
答案: 【 以上所有

5、单选题:
‍自动计算需要解决的基本问题是什么?_______。‏
选项:
A: 数据的表示,数据和计算规则的表示
B: 数据和计算规则的表示与自动存储
C: 数据和计算规则的表示、自动存储和计算规则的自动执行
D: 上述说法都不正确
答案: 【 数据和计算规则的表示、自动存储和计算规则的自动执行

6、单选题:
​计算机器的基本目标是什么? _______。‎
选项:
A: 能够辅助人进行计算,能够执行简单的四则运算规则
B: 能够执行特定的计算规则,例如能够执行差分计算规则等
C: 能够执行一般的任意复杂的计算规则
D: 上述说法都不正确
答案: 【 能够执行一般的任意复杂的计算规则

7、单选题:
​摩尔定律是指_______。‌
选项:
A: 芯片集成晶体管的能力每年增长一倍,其计算能力也增长一倍
B: 芯片集成晶体管的能力每两年增长一倍,其计算能力也增长一倍
C: 芯片集成晶体管的能力每18个月增长一倍,其计算能力也增长一倍
D: 芯片集成晶体管的能力每6个月增长一倍,其计算能力也增长一倍
答案: 【 芯片集成晶体管的能力每18个月增长一倍,其计算能力也增长一倍

8、单选题:
‍计算之树概括了计算学科的经典思维,它从几个维度来概括的?________。‍
选项:
A: 三个维度:计算技术、计算系统与问题求解
B: 四个维度:计算技术的奠基性思维、通用计算环境的演化思维、社会/自然与计算的融合思维、交替促进与共同进化的问题求解思维
C: 五个维度:计算技术的奠基性思维、通用计算环境的演化思维、社会/自然与计算的融合思维、交替促进与共同进化的问题求解思维、由机器网络到网络化社会的网络化思维
D: 六个维度:计算技术的奠基性思维、通用计算环境的演化思维、社会/自然与计算的融合思维、问题求解思维、网络化思维和数据化思维
答案: 【 六个维度:计算技术的奠基性思维、通用计算环境的演化思维、社会/自然与计算的融合思维、问题求解思维、网络化思维和数据化思维

9、单选题:
​计算机包括_____。‏
选项:
A: 软件 
B: 台式机、便携机
C: 嵌入在各种设备中的芯片
D: 以上所有
答案: 【 以上所有

10、单选题:
​计算之树中,计算技术的奠基性思维包括________。‌
选项:
A: 0和1、程序和递归;
B: 0和1、程序、递归和算法
C: 0和1、程序、递归、算法和网络
D: 上述全不对
答案: 【 0和1、程序和递归;

11、单选题:
‍计算学科的计算研究什么? _______。‌
选项:
A: 面向人可执行的一些复杂函数的等效、简便计算方法
B: 面向机器可自动执行的一些复杂函数的等效、简便计算方法
C: 面向人可执行的求解一般问题的计算规则
D: 面向机器可自动执行的求解一般问题的计算规则
答案: 【 面向机器可自动执行的求解一般问题的计算规则

12、单选题:
‎“人”计算与“机器”计算有什么差异? _______。‌
选项:
A: “人”计算宁愿使用复杂的计算规则,以便减少计算量能够获取结果,“机器”计算则需使用简单的计算规则,以便于能够做出执行规则的机器
B: “机器”计算使用的计算规则可能很简单但计算量却很大,尽管这样,对越来越多的计算,机器也能够完成计算结果的获得
C: “机器”可以采用“人”所使用的计算规则,也可以不采用“人”所使用的规则
D: 上述说法都正确
答案: 【 上述说法都正确

13、单选题:
‏衡量微处理器芯片性能好坏的指标包括_______。​
选项:
A: 机器字长–字长越大越好,机器主频–主频越高越好,功耗–功耗越低越好
B: 晶体管数量–晶体管数量越多越好
C: 微处理器所能完成的功能–指令种类越多越好
D: 上述所有
答案: 【 上述所有

14、单选题:
‏衡量存储设备性能的指标包括_______。‏
选项:
A: 存储容量–容量越大越好,存取速度–速度越快越好
B: 价格–价格越低越好,功耗–功耗越低越好
C: 可靠性与持久性–越高越长越好
D: 上述所有
答案: 【 上述所有

15、单选题:
‏计算系统的发展方向_______。‌
选项:
A: 各个部件乃至整体的体积越来越小
B: 将越来越多的CPU集成起来,提高计算能力
C: 越来越拥有人的智能,使人-计算机-物体互联在一起
D: 上述都是
答案: 【 上述都是

16、单选题:
‏关于计算系统的网络化的说法正确的是_______。‎
选项:
A: 物联网能够使物与物、物与人通过互联网连接在一起,因此,未来互联网将被物联网所取代
B: 社会网络能够使人与人通过互联网连接在一起,因此,未来互联网将被社会网络(或社交网)所取代
C: 未来互联网将发展为包括物联网、社会网络、服务网络以及与现实中各种网络深度融合的网络系统
D: 未来互联网将发展为全3维的虚拟世界网络
答案: 【 未来互联网将发展为包括物联网、社会网络、服务网络以及与现实中各种网络深度融合的网络系统

17、单选题:
‎IBM提出的Smart Planet基本特点是什么_______。‌
选项:
A: 使社会万事万物可感知,即能将万事万物的信息数字化
B: 使社会各种事物、每个人员都可与互联网相联,实现互联互通
C: 使社会/自然系统具有更好的自适应性、自调节性,最优化地满足人们工作、生活的需要
D: 上述内容结合在一起才是Smart Planet
答案: 【 上述内容结合在一起才是Smart Planet

18、单选题:
‌计算之树中,两类典型的问题求解思维是指________。‍
选项:
A: 抽象和自动化
B: 算法和系统
C: 社会计算和自然计算
D: 程序和递归
答案: 【 算法和系统

19、单选题:
‌本课程中拟学习的计算思维是指_____。​
选项:
A: 计算机相关的知识
B: 算法与程序设计技巧
C: 蕴含在计算学科知识背后的具有贯通性和联想性的内容
D: 知识与技巧的结合
答案: 【 蕴含在计算学科知识背后的具有贯通性和联想性的内容

20、单选题:
‌下列说法正确的是_______。‏
选项:
A: 一般计算机中仅配备有ROM、RAM存储器、磁盘、磁带等存储器
B: 软盘是由软性材料制作的永久存储器
C: 软盘是可移动的可更换的永久存储器
D: 固态硬盘、USB移动硬盘是当前常见的非永久存储器
答案: 【 软盘是可移动的可更换的永久存储器

21、单选题:
‍关于计算系统,下列说法正确的是_______。‍
选项:
A: 计算系统由输入设备、输出设备和微处理器构成
B: 计算系统由输入设备、输出设备和存储设备构成
C: 计算系统由微处理器、存储设备、输入设备和输出设备构成
D: 计算系统由微处理器和存储设备构成
答案: 【 计算系统由微处理器、存储设备、输入设备和输出设备构成

22、单选题:
‏为什么要学习计算思维? 因为 _______。‌
选项:
A: 计算学科知识膨胀速度非常快,知识学习的速度跟不上知识膨胀的速度,因此要先从知识的学习转向思维的学习,在思维的指引下再去学习知识
B: 如果理解了计算思维,则便具有了融会贯通、联想启发的能力,这样再看计算学科的知识便感觉他们似乎具有相同的道理或原理,只是术语不同而已
C: 学习计算思维并不仅仅是学习计算机及相关软件的原理,因为社会/自然中的很多问题解决思路与计算学科中的方法和原理是一致的,计算思维的学习也可以提高解决社会/自然问题的能力
D: 不仅仅是上述的理由, 有很多理由说明大思维比小技巧更重要,思维的学习比知识的学习更重要
答案: 【 不仅仅是上述的理由, 有很多理由说明大思维比小技巧更重要,思维的学习比知识的学习更重要

23、单选题:
‏电子计算机器的基本特征是什么?_______。‎
选项:
A: 基于二进制–存储0和1的元件如电子管、晶体管等
B: 基于二进制的运算与变换,电子技术实现计算规则
C: 集成技术实现更为复杂的变换
D: 上述所有
答案: 【 上述所有

第1讲测验

1、单选题:
​计算机器的基本目标是什么?‏
选项:
A: 能够执行一般的任意复杂的计算规则
B: 能够辅助人进行计算
C: 能够执行简单的四则运算规则
D: 能够执行特定的计算规则,例如能够执行差分计算规则等
答案: 【 能够执行一般的任意复杂的计算规则

2、单选题:
‍衡量存储设备性能的指标包括_______。‏
选项:
A: 其它三个选项都包括
B: 存储容量–容量越大越好,存取速度–速度越快越好
C: 价格–价格越低越好,功耗–功耗越低越好
D: 可靠性与持久性–越高越长越好
答案: 【 其它三个选项都包括

3、单选题:
‍计算之树中,网络化思维是怎样概括的?‍
选项:
A: 机器网络、信息网络和人-机-物互联的网络化社会
B: 局域网、广域网和互联网
C: 机器网络、信息网络和物联网
D: 局域网络、互联网络和数据网络
答案: 【 机器网络、信息网络和人-机-物互联的网络化社会

4、单选题:
‎计算机包括_____。‌
选项:
A: 其它三个选项都包括
B: 台式机、便携机
C: 嵌入在各种设备中的芯片
D: 软件
答案: 【 其它三个选项都包括

5、单选题:
‍“人”计算与“机器”计算有什么差异?​
选项:
A: 其它选项的说法都正确
B: “人”计算宁愿使用复杂的计算规则,以便减少计算量能够获取结果
C: “机器”计算则需使用简单的计算规则,以便于能够做出执行规则的机器
D: “机器”计算使用的计算规则可能很简单但计算量却很大,尽管这样,对越来越多的计算,机器也能够完成计算结果的获得
E: “机器”可以采用“人”所使用的计算规则,也可以不采用“人”所使用的规则
答案: 【 其它选项的说法都正确

6、单选题:
‍衡量微处理器芯片性能好坏的指标包括_______。‌
选项:
A: 其它选项都包括
B: 机器字长–字长越大越好,机器主频–主频越高越好
C: 功耗–功耗越低越好,晶体管数量–晶体管数量越多越好
D: 微处理器所能完成的功能–指令种类越多越好
答案: 【 其它选项都包括

7、单选题:
‎关于计算系统,下列说法正确的是_______。‍
选项:
A: 计算系统由微处理器、存储设备、输入设备和输出设备构成
B: 计算系统由输入设备、输出设备和微处理器构成
C: 计算系统由输入设备、输出设备和存储设备构成
D: 计算系统由微处理器和存储设备构成
答案: 【 计算系统由微处理器、存储设备、输入设备和输出设备构成

8、单选题:
​人类应具备的三大思维能力是指_____。‏
选项:
A: 实验思维、理论思维和计算思维
B: 抽象思维、逻辑思维和形象思维
C: 逆向思维、演绎思维和发散思维
D: 计算思维、理论思维和辩证思维
答案: 【 实验思维、理论思维和计算思维

9、单选题:
​自动计算需要解决的基本问题是什么?‎
选项:
A: 数据和计算规则的表示、自动存储和计算规则的自动执行
B: 数据的表示
C: 数据和计算规则的表示
D: 数据和计算规则的表示与自动存储
答案: 【 数据和计算规则的表示、自动存储和计算规则的自动执行

10、单选题:
‌电子计算机器的基本特征是什么?​
选项:
A: 其它三个选项都正确
B: 基于二进制–存储0和1的元件如电子管、晶体管等
C: 基于二进制的运算与变换
D: 电子技术实现计算规则,集成技术实现更为复杂的变换
答案: 【 其它三个选项都正确

11、单选题:
‏计算系统的发展方向是_______。‏
选项:
A: 其它三个选项都是正确的
B: 各个部件乃至整体的体积越来越小
C: 将越来越多的CPU集成起来,提高计算能力
D: 越来越拥有人的智能
E: 越来越使人-计算机-物体互联在一起
答案: 【 其它三个选项都是正确的

12、单选题:
‌计算之树中,通用计算环境的演化思维是怎样概括的?​
选项:
A: 程序执行环境—由CPU-内存环境,到CPU-存储体系环境,到多CPU-多存储器环境,再到云计算虚拟计算环境
B: 网络运行环境—由个人计算机、到局域网广域网、再到Internet
C: 元器件—由电子管、晶体管、到集成电路、大规模集成电路和超大规模集成电路
D: 其它三个选项都不对
答案: 【 程序执行环境—由CPU-内存环境,到CPU-存储体系环境,到多CPU-多存储器环境,再到云计算虚拟计算环境

13、单选题:
‍计算之树中,两类典型的问题求解思维是指________。‏
选项:
A: 算法和系统
B: 抽象和自动化
C: 社会计算和自然计算
D: 程序和递归
答案: 【 算法和系统

14、单选题:
‏本课程中拟学习的计算思维是指_____。​
选项:
A: 蕴含在计算学科知识背后的具有贯通性和联想性的内容
B: 计算机相关的知识
C: 算法与程序设计技巧
D: 知识与技巧的结合
答案: 【 蕴含在计算学科知识背后的具有贯通性和联想性的内容

15、单选题:
‌计算学科的计算研究什么?‌
选项:
A: 面向机器可自动执行的求解一般问题的计算规则
B: 面向人可执行的一些复杂函数的等效、简便计算方法
C: 面向机器可自动执行的一些复杂函数的等效、简便计算方法
D: 面向人可执行的求解一般问题的计算规则
E: 其它选项说法都不正确
答案: 【 面向机器可自动执行的求解一般问题的计算规则

16、单选题:
‏摩尔定律是指_______。‎
选项:
A: 芯片集成晶体管的能力每18个月增长一倍,其计算能力也增长一倍
B: 芯片集成晶体管的能力每年增长一倍,其计算能力也增长一倍
C: 芯片集成晶体管的能力每两年增长一倍,其计算能力也增长一倍
D: 芯片集成晶体管的能力每6个月增长一倍,其计算能力也增长一倍
答案: 【 芯片集成晶体管的能力每18个月增长一倍,其计算能力也增长一倍

17、单选题:
‌下列说法正确的是_______。‎
选项:
A: 软盘是可移动的可更换的永久存储器
B: 一般计算机中仅配备有ROM、RAM存储器
C: 一般计算机中配备有磁盘、磁带等存储器
D: 软盘是由软性材料制作的永久存储器
E: 固态硬盘、USB移动硬盘是当前常见的非永久存储器
答案: 【 软盘是可移动的可更换的永久存储器

18、单选题:
‎IBM提出的Smart Planet基本特点是什么_______。‎
选项:
A: 其它选项内容结合在一起才是Smart Planet
B: 使社会万事万物可感知,即能将万事万物的信息数字化
C: 使社会各种事物、每个人员都可与互联网相联,实现互联互通
D: 使社会/自然系统具有更好的自适应性、自调节性,最优化地满足人们工作、生活的需要
答案: 【 其它选项内容结合在一起才是Smart Planet

19、单选题:
‌关于计算系统的网络化的说法正确的是_______。‍
选项:
A: 未来互联网将发展为包括物联网、社会网络、服务网络以及与现实中各种网络深度融合的网络系统
B: 物联网能够使物与物、物与人通过互联网连接在一起,因此,未来互联网将被物联网所取代
C: 社会网络能够使人与人通过互联网连接在一起,因此,未来互联网将被社会网络(或社交网)所取代
D: 未来互联网将发展为全3维的虚拟世界网络
答案: 【 未来互联网将发展为包括物联网、社会网络、服务网络以及与现实中各种网络深度融合的网络系统

20、单选题:
‏为什么要学习计算思维? 因为 _______。‌
选项:
A: 不仅仅是其它三个选项的理由, 有很多理由说明大思维比小技巧更重要,思维的学习比知识的学习更重要
B: 计算学科知识膨胀速度非常快,知识学习的速度跟不上知识膨胀的速度,因此要先从知识的学习转向思维的学习,在思维的指引下再去学习知识
C: 如果理解了计算思维,则便具有了融会贯通、联想启发的能力,这样再看计算学科的知识便感觉他们似乎具有相同的道理或原理,只是术语不同而已
D: 学习计算思维并不仅仅是学习计算机及相关软件的原理,因为社会/自然中的很多问题解决思路与计算学科中的方法和原理是一致的,计算思维的学习也可以提高解决社会/自然问题的能力
答案: 【 不仅仅是其它三个选项的理由, 有很多理由说明大思维比小技巧更重要,思维的学习比知识的学习更重要

21、单选题:
​计算之树概括了计算学科的经典思维,它是从几个维度来概括的?‏
选项:
A: 六个维度:计算技术的奠基性思维、通用计算环境的演化思维、社会/自然与计算的融合思维、问题求解思维、网络化思维和数据化思维
B: 三个维度:计算技术、计算系统与问题求解
C: 四个维度:计算技术的奠基性思维、通用计算环境的演化思维、社会/自然与计算的融合思维、交替促进与共同进化的问题求解思维
D: 五个维度:计算技术的奠基性思维、通用计算环境的演化思维、社会/自然与计算的融合思维、交替促进与共同进化的问题求解思维、由机器网络到网络化社会的网络化思维
答案: 【 六个维度:计算技术的奠基性思维、通用计算环境的演化思维、社会/自然与计算的融合思维、问题求解思维、网络化思维和数据化思维

22、单选题:
​计算之树中,计算技术的奠基性思维包括________。‌
选项:
A: 0和1、程序和递归
B: 0和1、程序、递归和算法
C: 0和1、程序、递归、算法和网络
D: 其它三个选项都不对
答案: 【 0和1、程序和递归

23、单选题:
​如何学习计算思维?‎
选项:
A: 其它三个选项都是正确的
B: 为思维而学习知识而不是为知识而学习知识
C: 不断训练,只有这样才能将思维转换为能力
D: 先从贯通知识的角度学习思维,再学习更为细节性的知识,即用思维引导知识的学习
答案: 【 其它三个选项都是正确的

第2讲 符号化、计算化与自动化

第2讲之模拟练习题

1、单选题:

​假设基本门电路的符号为,已知如下电路

​问该电路不能实现的功能为_____。

‎选项:
A: 当A=1,B=0, 则P=1
B: 当A=1,B=1, 则P=1
C: 当A=0,B=1, 则P=0
D: 当A=0,B=0, 则P=1
答案: 【 当A=0,B=1, 则P=0

2、单选题:
‍逻辑运算是最基本的基于“真/假”值的运算,也可以被看作是基于“1/0”的运算,1为真,0为假。关于基本逻辑运算,下列说法不正确的是_____。‍
选项:
A: “与”运算是“有0为0,全1为1”
B: “或”运算是“有1为1,全0为0”
C: “非”运算是“非0则1,非1则0”
D: “异或”运算是“相同为1,不同为0”
答案: 【 “异或”运算是“相同为1,不同为0”

3、单选题:
‎已知:M、N和K的值只能有一个1,其他为0,并且满足下列所有逻辑式:‌‎((M AND (NOT K)) OR ((NOT M) AND K)) = 1;‌‎(NOT N) AND ((M AND (NOT K)) OR ((NOT M) AND K)) = 1‌‎(NOT N) AND (NOT K) = 1;‌‎问:M、N、K的值为_____。‌
选项:
A: 0,1,0
B: 1,0,0
C: 0,0,1
D: 0,1,1
答案: 【 1,0,0

4、单选题:

‎若用8位0,1表示一个二进制数,其中1位即最高位为符号位,其余7位为数值位。

的原码、反码和补码表示,正确的是_____。

‏选项:
A: 10001111,11110000,11110001
B:  00001111,01110000,01110001
C:  00001111,00001111,00001111
D: 00001111,01110001,01110000
答案: 【  00001111,00001111,00001111

5、单选题:

‌若用8位0,1表示一个二进制数,其中1位即最高位为符号位,其余7位为数值位。

的原码、反码和补码表示,正确的是_____。

‍选项:
A: 10010010,01101101,01101110
B: 10010010,11101101,11101110
C: 10010010,11101110,11101101
D: 00010010,01101101,01101110
答案: 【 10010010,11101101,11101110

6、单选题:
‏关于二进制算术运算,下列说法不正确的是_____。‍
选项:
A: 二进制算术运算可以用逻辑运算来实现
B: 二进制算术运算的符号位可以和数值位一样参与运算并能得到正确的结果
C: 二进制算术运算的符号位不能和数值位一样参与运算但能得到正确的结果
D: 前述说法有不正确的
答案: 【 二进制算术运算的符号位不能和数值位一样参与运算但能得到正确的结果

7、单选题:
‍关于十进制235,下列正确的是_____。‍
选项:
A: 其ASCII码为0011 0010 0011 0011 0011 0101
B: 其ASCII码为0000 0010 0000 0011 0000 0101
C: 其ASCII码为1110 1011
D: 其ASCII码为0010 0011 0101
答案: 【 其ASCII码为0011 0010 0011 0011 0011 0101

8、单选题:
‏关于汉字内码,下列说法不正确的是_____。‌
选项:
A: 汉字内码是两字节码
B: 汉字内码是两字节码且两字节的最高位均为1
C: 汉字内码是机器存储和显示汉字所使用的编码
D: 上述说法有不正确的
答案: 【 汉字内码是机器存储和显示汉字所使用的编码

9、单选题:
​下列说法不正确的是_____。‏
选项:
A: 数值信息可采用二进制数进行表示
B: 非数值信息可采用基于0/1的编码进行表示
C: 任何信息,若想用计算机进行处理,只需要将其用0和1表示出来即可
D: 上述说法有不正确的
答案: 【 上述说法有不正确的

10、单选题:

‍假设基本门电路的符号为,已知如下电路

‍问该电路所实现的正确的逻辑运算为_____。

‌选项:
A: P = (A  AND  B)  AND  (A  OR  B)
B: P = A  XOR  B
C: P = NOT (A  AND  B)  AND  (A  AND  B)
D: P = (A  OR  B)  AND  (A  AND  (NOT  B))
答案: 【 P = A  XOR  B

11、单选题:

‍假设基本门电路的符号为,已知如下电路

‍问该电路不能实现的功能为_____。

‎选项:
A: 当A=1,B=0, 则P=1
B: 当A=1,B=1, 则P=1
C: 当A=0,B=1, 则P=1
D: 当A=0,B=0, 则P=0
答案: 【 当A=1,B=1, 则P=1

12、单选题:
‌0和1的思维反映了语义符号化→符号计算化→计算0(和)1化→0(和)1自动化→分层构造化→构造集成化,关于此思维的说法不正确的是_____。‌
选项:
A: 0和1是实现任何计算的基础,是最基本的抽象与自动化机制
B: 0和1是连接硬件与软件的纽带,理论上来说,任何计算既可以由硬件实现,也可以由软件实现
C: 符号化计算化是社会/自然与计算融合的基本思维模式,即:若要使任何社会/自然问题被计算机处理,则首先要将该问题相关的内容符号化并提出相应的计算规则,符号化不仅仅是指数学符号化,而是指最终可以转换为二进制比特的各种符号
D: 上述说法有不正确的
答案: 【 上述说法有不正确的

13、单选题:
‍关于十进制245的下列说法不正确的是_____。‏
选项:
A: 它转换为八进制表示为365
B: 它转换为十六进制表示为0F5
C: 它转换为二进制表示为1101 0101
D: 前述有不正确的
答案: 【 它转换为二进制表示为1101 0101

14、单选题:
‎若用5位0,1表示一个二进制数,其中1位即最高位为符号位,其余4位为数值位。若要进行-7 – 4 的操作,可转换为(-7) + (-4)的操作,采用补码进行运算,下列运算式及结果正确的是_____。‎
选项:
A:  1 0111 + 1 0100 = 1 1011
B:  1 1011 + 1 1100 = 1 0111
C:  1 1001 + 1 1100 = 1 0101
D: 0 1011 + 1 1011 = 0 0110
答案: 【  1 1001 + 1 1100 = 1 0101

15、单选题:
‎关于二进制小数的处理,下列说法不正确的是_____。‎
选项:
A: 定点数是指二进制小数的小数点被默认处理,或者默认在符号位后面数值位前面,或者默认在整个数值位的后面
B: 浮点数采取类科学计数法的形式进行表示,分三部分:符号位、纯小数部分和指数部分,其中指数的不同值确定了小数点的不同位置,故名浮点数。
C: 用于浮点数表示的位数不同,其表达的精度也不同,因此浮点数依据其表示位数的多少被区分为单精度数和双精度数。二进制数浮点数处理比定点数处理要复杂得多,机器中一般有专门处理浮点数的计算部件。
D: 前述说法有不正确的。
答案: 【 前述说法有不正确的。

16、单选题:

‏已知A-Z的ASCII码是 ~ ,请将下面一段ASCII码存储的文件解析出来,

‏“0100 0111 0100 0101 0100 0111 0100 0110 0100 1000 0100 0010”

‏正确的是_____。

‏选项:
A:  HBFFEG
B:  HBGFGE
C:  GBHEGB
D:  GEGFHB
答案: 【  GEGFHB

17、单选题:
‏易经的符号化案例,启示我们_____。‏
选项:
A: 社会/自然规律的一种研究方法是符号化,即利用符号的组合及其变化来反映社会/自然现象及其变化,将看起来不能够计算的事物转换为可以计算的事物
B: 任何事物只要符号化,就可以被计算。符号化,不仅仅是数学符号化;任何事物都可以符号化为0和1,也就能进行基于0和1的运算
C: 符号的计算不仅仅是数学计算,符号的组合及其变化同样也是一种计算,这种计算可以基于0和1来实现
D: 上述全部
答案: 【 上述全部

18、单选题:
‏若用5位0,1表示一个二进制数,其中1位即最高位为符号位,其余4位为数值位。若要进行-7 – 13 的操作,可转换为(-7) + (-13)的操作,采用补码进行运算,下列运算式及结果正确的是_____。​
选项:
A:  1 0111 + 1 1101 = 1 0100(溢出)
B:  1 0111 + 1 1101 = 1 0100(未溢出)
C: 1 1001 + 1 0011 = 0 1100(溢出)
D: 1 1001 + 1 0011 = 0 1100(未溢出)
答案: 【 1 1001 + 1 0011 = 0 1100(溢出)

19、单选题:
‍关于汉字外码,下列说法不正确的是_____。‏
选项:
A: 汉字外码是用于将汉字输入到机器内所使用的编码
B: 汉字外码不是0,1编码
C: 汉字外码不一定是等长编码
D: 汉字外码有拼音码、音型码、字型码和字模点阵码
答案: 【 汉字外码有拼音码、音型码、字型码和字模点阵码

20、单选题:

‏假设基本门电路的符号为,已知如下电路

‏问该电路所实现的正确的逻辑运算为_____。

‏选项:
A: P = (A  AND  (NOT  B)) AND ((NOT  A) OR  B)
B: P = A  XOR  B
C: P = NOT (A  AND  B) AND (A  AND  B)
D: P = (A  OR  B)  AND  (A  AND  (NOT  B))
答案: 【 P = A  XOR  B

21、单选题:
​易经是用0和1符号化自然现象及其变化规律的典型案例。 下列说法不正确的是_____。​
选项:
A: 易经既是用0和1来抽象自然现象,同时又不单纯是0和1,起始即将0和1与语义“阴”和“阳”绑定在一起
B: 易经本质上是关于0和1、0和1的三画(或六画)组合、以及这些组合之间相互变化规律的一门学问
C: 易经仅仅是以自然现象为依托,对人事及未来进行占卜或算卦的一种学说
D: 易经通过“阴”“阳”(即0和1)符号化,既反映了自然现象及其变化规律,又能将其映射到不同的空间,反映不同空间事务的变化规律,例如人事现象及其变化规律
答案: 【 易经仅仅是以自然现象为依托,对人事及未来进行占卜或算卦的一种学说

22、单选题:
‎易经的乾卦是从“天”这种自然现象抽象出来的,为什么称其为“乾”而不称其为“天”呢?_____。‍
选项:
A: 易经创作者故弄玄虚,引入一个新的名词,其实没有必要
B: 易经的“乾”和“天”是不同的,“乾”是一种比“天”具有更丰富语义的事物
C: “天”是一种具体事物,只能在自然空间中应用,若变换到不同空间应用,可能会引起混淆;而“乾”是抽象空间中的概念,是指具有“天”这种事务的性质,应用于不同的空间时不会产生这种问题
D: 易经创作者依据阴阳组合的符号特征,选择了更符合该符号的名字“乾”
答案: 【 “天”是一种具体事物,只能在自然空间中应用,若变换到不同空间应用,可能会引起混淆;而“乾”是抽象空间中的概念,是指具有“天”这种事务的性质,应用于不同的空间时不会产生这种问题

23、单选题:

​已知:关于的逻辑运算式如下:

 = ( XOR ) XOR   

= ( AND ) OR (( XOR ) AND )

​问: 如果 = 1, = 0, = 1,则 的值为_____。

‍选项:
A: 0,0
B: 0,1
C: 1,0
D: 1,1
答案: 【 0,1

24、单选题:
‎逻辑的符号化案例,启示我们_____。‏
选项:
A: 逻辑运算可以被认为是基于0和1的运算,其本质是一种基于位的二进制运算;形式逻辑的命题与推理可以基于0和1的运算来实现
B: 硬件设计的基础理论–布尔代数,即是将逻辑与0和1的运算结合起来的一种数字电路设计理论
C: 人的基本思维模式和计算机的0和1运算是相通的
D: 上述全部
答案: 【 上述全部

25、单选题:
‌将十进制数126.375转换成二进制数,应该是_____。‏
选项:
A: 0111 1110.0110 
B:  0111 1110.1110
C: 0111 1100.0110
D: 0111 1100.1110
答案: 【 0111 1110.0110 

26、单选题:
​将十六进制数586转换成16位的二进制数,应该是_____。‍
选项:
A:  0000 0101 1000 0110 
B:  0110 1000 0101 0000
C:  0101 1000 0110 0000
D: 0000 0110 1000 0101
答案: 【  0000 0101 1000 0110 

27、单选题:
‏下列数中最大的数是_____。​
选项:
A:
B:
C:
D:
答案: 【 

28、单选题:
​关于计算机为什么基于二进制数来实现,下列说法不正确的是_____。‍
选项:
A: 能表示两种状态的元器件容易实现
B: 二进制运算规则简单,易于实现
C: 二进制可以用逻辑运算实现算术运算
D: 前述说法有不正确的
答案: 【 前述说法有不正确的

29、单选题:

‌已知:关于的逻辑运算式如下:

= ( XOR ) XOR

= ( AND ) OR (( XOR ) AND )

‌问:如果 = 1, = 1, = 1,则 的值为_____。

‏选项:
A: 0,0
B: 0,1
C: 1,0
D: 1,1
答案: 【 1,1

30、单选题:
​若用5位0,1表示一个二进制数,其中1位即最高位为符号位,其余4位为数值位。若要进行11 – 4 的操作,可转换为11 + (-4)的操作,采用补码进行运算,下列运算式及结果正确的是_____。‎
选项:
A:  0 1011 + 1 0100 = 1 1111
B: 0 1011 + 1 0100 = 0 0111
C: 0 1011 + 1 1100 = 0 0111
D: 0 1011 + 1 1011 = 0 0110
答案: 【 0 1011 + 1 1100 = 0 0111

31、单选题:
‌关于二进制数计算部件的实现,下列说法正确的是_____。‌
选项:
A: 设计和实现一个最简单的计算部件只需实现逻辑与、或、非、异或等基本运算即可,则所有加减乘除运算即可由该计算部件来实现
B: 设计和实现一个最简单的计算部件只需实现加法运算,则所有加减乘除运算即可由该计算部件来实现
C: 设计和实现一个最简单的计算部件需要实现加法运算和乘法运算,则所有加减乘除运算即可由该计算部件来实现
D: 设计和实现一个最简单的计算部件需要分别实现加、减、乘、除运算,则所有加减乘除运算才可由该计算部件来实现
答案: 【 设计和实现一个最简单的计算部件只需实现逻辑与、或、非、异或等基本运算即可,则所有加减乘除运算即可由该计算部件来实现

32、单选题:
‍计算机内部使用的编码的基本特征是_____。‌
选项:
A: 唯一性
B: 唯一性和公共性
C: 唯一性、公共性和易于记忆便于识认性
D: 上述都不是
答案: 【 唯一性和公共性

33、单选题:

‍假设基本门电路的符号为,已知如下电路

‍问该电路不能实现的功能为_____。

‌选项:
A: 当A=1,B=0, 则P=1
B: 当A=1,B=1, 则P=1
C: 当A=0,B=1, 则P=1
D: 当A=0,B=0, 则P=0
答案: 【 当A=1,B=1, 则P=1

第2讲测验

1、单选题:
​易经的乾卦是从“天”这种自然现象抽象出来的,为什么称其为“乾”而不称其为“天”呢?______。‎
选项:
A: “天”是一种具体事物,只能在自然空间中应用,若变换到不同空间应用,可能会引起混淆;而“乾”是抽象空间中的概念,是指具有“天”这种事务的性质,应用于不同的空间时不会产生这种问题
B: 易经创作者故弄玄虚,引入一个新的名词,其实没有必要
C: 易经的“乾”和“天”是不同的,“乾”是一种比“天”具有更丰富语义的事物
D: 易经创作者依据阴阳组合的符号特征,选择了更符合该符号的名字“乾”
答案: 【 “天”是一种具体事物,只能在自然空间中应用,若变换到不同空间应用,可能会引起混淆;而“乾”是抽象空间中的概念,是指具有“天”这种事务的性质,应用于不同的空间时不会产生这种问题

2、单选题:
​易经的符号化案例,启示我们______。‌
选项:
A: 其它选项的说法都正确
B: 社会/自然规律的一种研究方法是符号化,即利用符号的组合及其变化来反映社会/自然现象及其变化,将看起来不能够计算的事物转换为可以计算的事物
C: 任何事物只要符号化,就可以被计算
D: 符号化,不仅仅是数学符号化;任何事物都可以符号化为0和1,也就能进行基于0和1的运算
E: 符号的计算不仅仅是数学计算,符号的组合及其变化同样也是一种计算,这种计算可以基于0和1来实现
答案: 【 其它选项的说法都正确

3、单选题:
‎关于汉字内码,下列说法不正确的是______。‎
选项:
A: 汉字内码是机器存储和显示汉字所使用的编码
B: 汉字内码是两字节码
C: 汉字内码是两字节码且两字节的最高位均为1
D: 其它三个选项有不正确的
答案: 【 汉字内码是机器存储和显示汉字所使用的编码

4、单选题:
‏0和1的思维反映了语义符号化→符号计算化→计算0(和)1化→0(和)1自动化→分层构造化→构造集成化,关于此思维的说法不正确的是______。‏
选项:
A: 其它三个选项的说法有不正确的
B: 0和1是实现任何计算的基础,是最基本的抽象与自动化机制
C: 0和1是连接硬件与软件的纽带,理论上来说,任何计算既可以由硬件实现,也可以由软件实现
D: 符号化计算化是社会/自然与计算融合的基本思维模式,即:若要使任何社会/自然问题被计算机处理,则首先要将该问题相关的内容符号化并提出相应的计算规则
E: 符号化不仅仅是指数学符号化,而是指最终可以转换为二进制比特的各种符号
答案: 【 其它三个选项的说法有不正确的

5、单选题:

‎假设基本门电路的符号为

‎已知如下电路

‎              

‎问该电路所实现的正确的逻辑运算为______。

‍选项:
A: P = A  XOR  B
B: P = (A  AND  B)  AND  (A  OR  B)
C: P = NOT (A  AND  B)  AND  (A  AND  B)
D: P = (A  OR  B)  AND  (A  AND  (NOT  B))
答案: 【 P = A  XOR  B

6、单选题:
‏下列说法不正确的是______。‌
选项:
A: 其它三个选项的说法有不正确的
B: 数值信息可采用二进制数进行表示
C: 非数值信息可采用基于0/1的编码进行表示
D: 任何信息,若想用计算机进行处理,只需要将其用0和1表示出来即可
答案: 【 其它三个选项的说法有不正确的

7、单选题:

‎已知:关于的逻辑运算式如下:

 = ( XOR ) XOR   

 = ( AND ) OR (( XOR ) AND )

‎如果 = 1, = 1, = 1,则 的值为______。

‌选项:
A: 1,1
B: 0,0
C: 0,1
D: 1,0
答案: 【 1,1

8、单选题:

‏假设基本门电路的符号为,已知如下电路

‏问该电路不能实现的功能为______。

‍选项:
A: 当A=1,B=1, 则P=1
B: 当A=1,B=0, 则P=1
C: 当A=0,B=1, 则P=1
D: 当A=0,B=0, 则P=0
答案: 【 当A=1,B=1, 则P=1

9、单选题:
‎逻辑的符号化案例,启示我们______。‎
选项:
A: 其它三个选项都正确
B: 逻辑运算可以被认为是基于0和1的运算,其本质是一种基于位的二进制运算
C: 形式逻辑的命题与推理可以基于0和1的运算来实现
D: 硬件设计的基础理论–布尔代数,即是将逻辑与0和1的运算结合起来的一种数字电路设计理论
E: 人的基本思维模式和计算机的0和1运算是相通的
答案: 【 其它三个选项都正确

10、单选题:
‍将十六进制数586转换成16位的二进制数,应该是______。​
选项:
A: 0000 0101 1000 0110
B: 0110 1000 0101 0000
C: 0101 1000 0110 0000
D: 0000 0110 1000 0101
答案: 【 0000 0101 1000 0110

11、单选题:

‎若用8位0,1表示一个二进制数,其中1位即最高位为符号位,其余7位为数值位。

的原码、反码和补码表示,正确的是______。

​选项:
A:  00001111,00001111,00001111
B: 10001111,11110000,11110001
C: 00001111,01110000,01110001
D: 00001111,01110001,01110000
答案: 【  00001111,00001111,00001111

12、单选题:
‏若用5位0,1表示一个二进制数,其中1位即最高位为符号位,其余4位为数值位。​‏若要进行11 – 4的操作,可转换为11 + (-4)的操作,采用补码进行运算,下列运算式及结果正确的是______。​
选项:
A: 0 1011 + 1 1100 = 0 0111
B:  0 1011 + 1 0100 = 1 1111
C: 0 1011 + 1 0100 = 0 0111
D: 0 1011 + 1 1011 = 0 0110
答案: 【 0 1011 + 1 1100 = 0 0111

13、单选题:
‌已知A-Z的ASCII码是41H- 5AH,请将下面一段ASCII码存储的文件解析出来,正确的是______。‍‌    “0100 0111 0100 0101 0100 0111 0100 0110 0100 1000 0100 0010”‍
选项:
A: GEGFHB
B: HBFFEG
C: HBGFGE
D: GBHEGB
答案: 【 GEGFHB

14、单选题:
‌计算机内部使用的编码的基本特征是______。‏
选项:
A: 唯一性和公共性
B: 唯一性
C: 唯一性、公共性和易于记忆便于识认性
D: 其它三个选项都不正确
答案: 【 唯一性和公共性

15、单选题:
‎已知:M、N和K的值只能有一个1,其他为0,并且满足下列所有逻辑式:​‎((M AND (NOT K)) OR ((NOT M) AND K)) = 1;​‎(NOT N) AND ((M AND (NOT K)) OR ((NOT M) AND K)) = 1;​‎(NOT N) AND (NOT K) = 1;​‎问:M、N、K的值为______。​
选项:
A: 1,0,0
B: 0,1,0
C: 0,0,1
D: 0,1,1
答案: 【 1,0,0

16、单选题:
‌关于十进制245的下列说法不正确的是______。‏
选项:
A: 它转换为二进制表示为1101 0101
B: 它转换为八进制表示为365
C: 它转换为十六进制表示为0F5
D: 其它三个选项不都是正确的
答案: 【 它转换为二进制表示为1101 0101

17、单选题:

‎已知:关于的逻辑运算式如下:

 = ( XOR ) XOR   

 = ( AND ) OR (( XOR ) AND )

‎问: 如果 = 1, = 0, = 1,则, 的值为______。

‏选项:
A: 0,1
B: 0,0
C: 1,0
D: 1,1
答案: 【 0,1

18、单选题:
‎易经是用0和1符号化自然现象及其变化规律的典型案例。 下列说法不正确的是______。‏
选项:
A: 易经仅仅是以自然现象为依托,对人事及未来进行占卜或算卦的一种学说
B: 易经既是用0和1来抽象自然现象,同时又不单纯是0和1,起始即将0和1与语义“阴”和“阳”绑定在一起
C: 易经本质上是关于0和1、0和1的三画(或六画)组合、以及这些组合之间相互变化规律的一门学问
D: 易经通过“阴”“阳”(即0和1)符号化,既反映了自然现象及其变化规律,又能将其映射到不同的空间,反映不同空间事务的变化规律,例如人事现象及其变化规律
答案: 【 易经仅仅是以自然现象为依托,对人事及未来进行占卜或算卦的一种学说

19、单选题:
‎逻辑运算是最基本的基于“真/假”值的运算,也可以被看作是基于“1/0”的运算,1为真,0为假。关于基本逻辑运算,下列说法不正确的是______。‌
选项:
A: “异或”运算是“相同为1,不同为0”
B: “与”运算是“有0为0,全1为1”
C: “或”运算是“有1为1,全0为0”
D: “非”运算是“非0则1,非1则0”
答案: 【 “异或”运算是“相同为1,不同为0”

20、单选题:
‌将十进制数126.375转换成二进制数,应该是______。​
选项:
A: 0111 1110.0110
B: 0111 1110.1110
C: 0111 1100.0110
D: 0111 1100.1110
答案: 【 0111 1110.0110

21、单选题:
​下列数中最大的数是______。‏
选项:
A:
B:
C:
D:
答案: 【 

22、单选题:
‍关于计算机为什么基于二进制数来实现,下列说法不正确的是______。‍
选项:
A: 其它三个选项的说法有不正确的
B: 能表示两种状态的元器件容易实现
C: 二进制运算规则简单,易于实现
D: 二进制可以用逻辑运算实现算术运算
答案: 【 其它三个选项的说法有不正确的

23、单选题:
​关于二进制算术运算,下列说法不正确的是______。‍
选项:
A: 二进制算术运算的符号位不能和数值位一样参与运算但能得到正确的结果
B: 二进制算术运算可以用逻辑运算来实现
C: 二进制算术运算的符号位可以和数值位一样参与运算并能得到正确的结果
D: 其它三个选项中有不正确的
答案: 【 二进制算术运算的符号位不能和数值位一样参与运算但能得到正确的结果

24、单选题:
‎关于二进制数计算部件的实现,下列说法正确的是______。‏
选项:
A: 设计和实现一个最简单的计算部件只需实现逻辑与、或、非、异或等基本运算即可,则所有加减乘除运算即可由该计算部件来实现
B: 设计和实现一个最简单的计算部件只需实现加法运算,则所有加减乘除运算即可由该计算部件来实现
C: 设计和实现一个最简单的计算部件需要实现加法运算和乘法运算,则所有加减乘除运算即可由该计算部件来实现
D: 设计和实现一个最简单的计算部件需要分别实现加、减、乘、除运算,则所有加减乘除运算才可由该计算部件来实现
答案: 【 设计和实现一个最简单的计算部件只需实现逻辑与、或、非、异或等基本运算即可,则所有加减乘除运算即可由该计算部件来实现

25、单选题:
​关于二进制小数的处理,下列说法不正确的是______。‎
选项:
A: 其它选项的说法有不正确的
B: 定点数是指二进制小数的小数点被默认处理,或者默认在符号位后面数值位前面,或者默认在整个数值位的后面
C: 浮点数采取类科学计数法的形式进行表示,分三部分:符号位、纯小数部分和指数部分,其中指数的不同值确定了小数点的不同位置,故名浮点数
D: 用于浮点数表示的位数不同,其表达的精度也不同,因此浮点数依据其表示位数的多少被区分为单精度数和双精度数
E: 二进制数浮点数处理比定点数处理要复杂得多,机器中一般有专门处理浮点数的计算部件
答案: 【 其它选项的说法有不正确的

26、单选题:

‏若用8位0,1表示一个二进制数,其中1位即最高位为符号位,其余7位为数值位。

的原码、反码和补码表示,正确的是______。

‏选项:
A: 10010010,11101101,11101110
B: 10010010,01101101,01101110
C: 10010010,11101110,11101101
D: 00010010,01101101,01101110
答案: 【 10010010,11101101,11101110

27、单选题:
‌若用5位0,1表示一个二进制数,其中1位即最高位为符号位,其余4位为数值位。‌‌若要进行-7 – 4的操作,可转换为(-7) + (-4)的操作,采用补码进行运算,下列运算式及结果正确的是______。‌
选项:
A: 1 1001 + 1 1100 = 1 0101
B: 1 0111 + 1 0100 = 1 1011
C: 1 1011 + 1 1100 = 1 0111
D: 0 1011 + 1 1011 = 0 0110
答案: 【 1 1001 + 1 1100 = 1 0101

28、单选题:
‏若用5位0,1表示一个二进制数,其中1位即最高位为符号位,其余4位为数值位。‌‏若要进行-7 – 13的操作,可转换为(-7) + (-13)的操作,采用补码进行运算,下列运算式及结果正确的是______。‌
选项:
A: 1 1001 + 1 0011 = 0 1100(溢出)
B: 1 0111 + 1 1101 = 1 0100(溢出)
C: 1 0111 + 1 1101 = 1 0100(未溢出)
D: 1 1001 + 1 0011 = 0 1100(未溢出)
答案: 【 1 1001 + 1 0011 = 0 1100(溢出)

29、单选题:
‍关于汉字外码,下列说法不正确的是______。‏
选项:
A: 汉字外码有拼音码、音型码、字型码和字模点阵码
B: 汉字外码是用于将汉字输入到机器内所使用的编码
C: 汉字外码不是0,1编码
D: 汉字外码不一定是等长编码
答案: 【 汉字外码有拼音码、音型码、字型码和字模点阵码

30、单选题:

​假设基本门电路的符号为

​已知如下电路

​                                                    

​问该电路不能实现的功能为______。

​选项:
A: 当A=0,B=1, 则P=0
B: 当A=1,B=0, 则P=1
C: 当A=1,B=1, 则P=1
D: 当A=0,B=0, 则P=1
答案: 【 当A=0,B=1, 则P=0

31、单选题:

‏假设基本门电路的符号为

‏已知如下电路

‏                                               

‏问该电路所实现的正确的逻辑运算为______。

‏选项:
A: P = A XOR B
B: P = NOT (A AND B) AND (A AND B)
C: P = (A AND (NOT B)) AND ((NOT A) OR B)
D: P = (A OR B) AND (A AND (NOT B))
答案: 【 P = A XOR B

32、单选题:

‏假设基本门电路的符号为

‏已知如下电路

‏                                               

‏问该电路不能实现的功能为______。

‎选项:
A: 当A=1,B=1, 则P=1
B: 当A=1,B=0, 则P=1
C: 当A=0,B=1, 则P=1
D: 当A=0,B=0, 则P=0
答案: 【 当A=1,B=1, 则P=1

33、单选题:
‌关于十进制235,下列正确的是______。‍
选项:
A: 其ASCII码为0011 0010 0011 0011 0011 0101
B: 其ASCII码为0000 0010 0000 0011 0000 0101
C: 其ASCII码为1110 1011
D: 其ASCII码为0010 0011 0101
答案: 【 其ASCII码为0011 0010 0011 0011 0011 0101

第3讲 程序与递归组合、抽象与构造

第3讲之模拟练习题

1、单选题:
‌关于程序,下列说法不正确的是_____。‌
选项:
A: 程序的基本特征是复合、抽象与构造。程序就是通过组合、抽象、再组合等构造出来的
B: 复合就是对简单元素的各种组合,即将一个(些)元素代入到另一个(些)元素中
C: 抽象是对各种元素的组合进行命名,并将该名字用于更复杂的组合构造中
D: 上述说法有不正确的
答案: 【 上述说法有不正确的

2、单选题:
‏一般而言,设计和实现一个计算系统,需要设计和实现_____。‌
选项:
A: 基本动作和程序
B: 基本动作和控制基本动作的指令
C: 基本动作、控制基本动作的指令和一个程序执行机构
D: 基本动作、控制基本动作的指令和程序
答案: 【 基本动作、控制基本动作的指令和一个程序执行机构

3、单选题:
‏已知一个新运算被定义为(define  (newCalc  x  y) (*  (+  x  1)  (+  y  1))),问(newCalc (newCalc (newCalc 1  1)  2)  3)的计算结果为_____‌
选项:
A: 6
B: 13
C: 64
D: 24
答案: 【 64

4、单选题:
‍用递归是可以定义语言的。如表述命题逻辑的一种语言可以如下定义:​‍(1)一个命题是其值为真或假的一个判断语句;​‍(2)如果X是一个命题,Y也是一个命题,则X and Y,X or Y, not X也是一个命题;​‍(3)如果X是一个命题,则(X)也是一个命题,括号内的命题运算优先;​‍(4)命题由以上方式构造。​‍若X,Y,Z,M等均是一个命题,问不符合上述递归定义的语句是_____。​
选项:
A: X
B: ( X and Y not Z)
C: (X)
D: ((X  and  Y)  or  (not  Z)) and  (not M)
答案: 【 ( X and Y not Z)

5、单选题:

‎已知f(x)=x,g()=++, 其中x,均为自然数,新函数h可递归的构造如下:h(0,x) = f(x), 且h(S(n), x) = g(h(n,x),n,x),请按递归式进行计算下列式子,正确的是_____。

‌选项:
A: h(1,x) = x
B: h(2,x) = 2x
C: h(3,x) = 3x+1
D: h(4,x) = 5x+6
答案: 【 h(4,x) = 5x+6

6、单选题:
‌熟悉下列运算组合式(前缀表达式),其中结果为56的是_____。‍
选项:
A: (*  7  (+  5  2))
B: (*  (+  5  3)  (+  5  2))
C:  (+  20  (+  6  6))
D: (-  (*  9  8)  (-  20  2))
答案: 【 (*  (+  5  3)  (+  5  2))

7、单选题:
‎已知一个运算被定义为(define  (firstCalc  x)  (*  x  x)),在其基础上进一步定义新运算为(define  (secondCalc  x)  (firstCalc  (firstCalc  (firstCalc  x)))),问secondCalc表达的运算功能为_____。‌
选项:
A:
B: ++
C:
D:
答案: 【 

8、单选题:

‏用条件运算符定义一个过程。正确的定义为_____。

‎选项:
A: (define  (f  x  y)  (cond  ((x>y)  (*  x  x  x))                                      ((x=y )  0)                                     ((x<y )  (*  y  y  y)) ))
B:  (define  (f  x  y)  (cond  ((>  x  y )  (*  x  x  x))                                       ((=  x  y )  0)                                        ((<  x  y )  (*  y  y  y)) ))
C: (define  (f  x  y)  (cond  ((x>y)  (x*x*x))                                      ((x=y )  0)                                      ((x<y )  (y*y*y)) ))
D:  (define  (f  x  y)  (cond  ((<  x  y )  (*  x  x  x))                                      ((=  x  y )  0)                                       ((>  x  y )  (*  y  y  y)) ))
答案: 【  (define  (f  x  y)  (cond  ((>  x  y )  (*  x  x  x))                                       ((=  x  y )  0)                                        ((<  x  y )  (*  y  y  y)) ))

9、单选题:
‍关于原始递归函数的理解,下列说法不正确的是_____。‍
选项:
A: “复合”即是将一组函数,…,作为参数代入到另一函数f(,…,)中,即n个函数,…,被组合到了一起,是按函数f的形式进行的组合。
B: “原始递归”即是要定义h(0),h(1),…,h(n),h(n+1),其中h(0)需要直接给出,而h(n+1)需要用h(n)进行定义,即h(n+1)是将h(n)和n复合在一起。
C: 复合是构造新函数的一种手段,原始递归也是构造新函数的一种手段。递归函数是描述程序组合与构造问题的一种数学形式
D: 上述说法有不正确的
答案: 【 上述说法有不正确的

10、单选题:
​关于“递归”,下列说法不正确的是_____。‏
选项:
A: “递归”源自于数学上的递推式和数学归纳法
B: “递归”与递推式一样,都是自递推基础计算起,由前项(第n-1项)计算后项(第n项),直至最终结果的获得
C: “递归”是自后项(即第n项)向前项(第n-1项)代入,直到递归基础获取结果,再从前项计算后项获取结果,直至最终结果的获得
D: “递归”是由前n-1项计算第n项的一种方法
答案: 【 “递归”与递推式一样,都是自递推基础计算起,由前项(第n-1项)计算后项(第n项),直至最终结果的获得

11、单选题:
‎关于“递归”,下列说法不正确的是_____。‎
选项:
A: 可以利用“递归”进行具有自相似性无限重复事物的定义
B: 可以利用“递归”进行具有自重复性无限重复动作的执行,即“递归计算”或“递归执行”
C: 可以利用“递归”进行具有自相似性无限重复规则的算法的构造
D: 上述说法不全正确
答案: 【 上述说法不全正确

12、单选题:

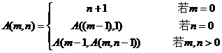
​斐波那契数列与阿克曼函数都是递归函数,但它们是不同的,下列说法不正确的是_____。

​斐波那契数列

​与阿克曼函数

​选项:
A: 斐波那契数列是原始递归的,而阿克曼函数不是原始递归的
B: 斐波那契数列可以递推地计算即迭代计算;而阿克曼函数只能递归地计算
C: 阿克曼函数也可如斐波那契数列一样自前项(第n-1项)计算到后项(第n项)
D: 阿克曼函数是双递归函数,不仅函数自身是递归定义的,同时函数的变量也是递归定义的
答案: 【 阿克曼函数也可如斐波那契数列一样自前项(第n-1项)计算到后项(第n项)

13、单选题:
​关于“程序”和“递归”的关系,下列说法不正确的是_____。​
选项:
A: “程序”是计算系统体现千变万化功能的一种重要手段:计算系统仅需要实现简单元素以及一个程序执行机构即可。“程序”的基本特征是复合、抽象与构造。而最重要的是,如何解决近乎无限的、具有自相似性的复杂组合的构造问题,这就需要递归和迭代
B: 本质上,“程序”就是对简单元素的组合(或称复合);此外,“程序”需要有能力对一些常见的组合A进行命名,并利用该名字参与更为复杂的组合B的构造中,此即为“抽象”;在执行时(或称计算时),再将该组合A替换组合B中的该名字,实现计算并获取结果
C: 递归和迭代是解决近乎无限的、重复的、嵌套的组合构造的基本手段,它采用“利用自身定义自身”、“自身调用自身”、“自身用自身来计算”的方法,将程序的复杂组合构造问题以简便的、明确的形式表达出来计算出来
D: 上述说法有不正确的
答案: 【 上述说法有不正确的

14、单选题:
‍关于计算系统与程序,下列说法正确的是_____。‌
选项:
A: 只有用计算机语言编写出来的代码才是程序,其他都不能称其为程序
B: 构造计算系统是不需要程序的,程序对构造计算系统没有什么帮助
C: 任何系统都需要程序,只是这个程序是由人来执行还是由机器自动执行,可以由机器自动执行程序的系统被称为计算系统
D: 程序是用户表达的随使用者目的不同而千变万化的复杂动作,不是使用者实现的而是需要计算系统事先完成的
答案: 【 任何系统都需要程序,只是这个程序是由人来执行还是由机器自动执行,可以由机器自动执行程序的系统被称为计算系统

15、单选题:
‍关于程序,下列说法不正确的是_____。‎
选项:
A: “程序”是由人编写的、以告知计算系统实现人所期望的复杂动作
B: “程序”可以由系统自动解释执行,也可以由人解释由系统执行
C: 普通人是很难理解“程序”的,其也和“程序”无关;
D: “程序”几乎和每个人都有关系,如自动售票系统、自动取款机等
答案: 【 普通人是很难理解“程序”的,其也和“程序”无关;

16、单选题:

​请用define运算,定义一个过程实现计算,其正确定义的过程为_____。

‍选项:
A:  (define  cube  a  (*  a  a  a))
B: (define  (cube  x)  (*  x  x  x))
C:  (define  (cube  a  (*  a  a  a)))
D: (define  (cube  a)  (*  x  x  x)))
答案: 【 (define  (cube  x)  (*  x  x  x))

17、单选题:
‍已知一个新运算被定义为(define  (newCalc  x  y) (*  (+  x  1)  (*  y  2))),问正确使用了newCalc并得到正确结果的为_____。‍
选项:
A: ((newCalc) (4  5)),其结果为50
B:  (newCalc  4),其结果为40
C: (newCalc  4  5),其结果为50
D: (newCalc  2  3),其结果为21
答案: 【 (newCalc  4  5),其结果为50

18、单选题:
‎已知一个运算被定义为(define  (firstCalc  x)  (*  x  x)),在其基础上进一步定义新运算secondCalc为x2+y2+z2,下列运算组合式书写正确的是_____。​
选项:
A: (define  secondCalc  (+  (firstCalc  x)  (firstCalc  y)  (firstCalc  z)))
B: (define (secondCalc x y z)  (+  firstCalc  x  y  z))
C: (define (secondCalc x y z)  (+  (firstCalc  x)  (firstCalc  y)  (firstCalc  z)))
D: (define secondCalc x y z  (+  (firstCalc  x)  (firstCalc  y)  (firstCalc  z)))
答案: 【 (define (secondCalc x y z)  (+  (firstCalc  x)  (firstCalc  y)  (firstCalc  z)))

19、单选题:
‌若要表达从1计算到n的运算组合式,(* …(*  (*  (*  (*  1  1)  2)  3)  4) …n)‍‌定义一个过程。正确的定义为_____。‍
选项:
A: (define  (f  product  counter  max-count)              (f  (* counter product)  (+  counter  1)  max-count ))
B:  (define  (f  product  counter  max-count)     (cond ((>  counter  max-count)  product)     ((<= counter max-count)  (f  (counter*product)  (counter+ 1)  max-count )) ))
C:  (define  (f  product  counter  max-count)      (cond ((>  counter  max-count)  product)      ((<= counter max-count)  (f  (* counter product)  (+  counter  1) max-count )) ))
D:  (define  (f  product  counter  max-count)             (cond ((>  counter  max-count)  product)            ((<= counter max-count)  (f  product  counter  max-count )) ))
答案: 【  (define  (f  product  counter  max-count)      (cond ((>  counter  max-count)  product)      ((<= counter max-count)  (f  (* counter product)  (+  counter  1) max-count )) ))

20、单选题:

‍递归计算是重要的执行手段。例如一种形式的阿克曼函数如下所示:

‍任何一个A(m, n)都可以递归地进行计算,例如A(1,2)的递归计算过程如下所示:

‍A(1,2) = A(0,A(1,1)) = A(0, A(0,A(1,0))) = A(0, A(0,A(0,1)))=A(0,A(0,2))=A(0,3)=4。

‍请你按上述方法递归计算下列项,并判断,计算结果正确的是_____。

‎选项:
A: A(1, 8) = 9
B: A(2, 0) = 2
C: A(2, 1) = 4
D: A(1, n) = n+2
答案: 【 A(1, n) = n+2

21、单选题:

‌递归计算是重要的执行手段。例如一种形式的阿克曼函数如下所示:

‌任何一个A(n, m)都可以递归地进行计算,例如m=1时,A(n,1)的递归计算过程如下所示:

‌m=1时,A(n,1)=A(A(n-1,1),0)=A(n-1,1)+2,和A(1,1)=2故A(n,1)=2n

‌请你按上述方法递归计算m=2时,即A(n,2),并判断计算结果正确的是_____。

​选项:
A: A(n, 2) = 2n
B: A(n, 2) = 
C: A(n, 2) = 
D: A(n, 2) = n+2
答案: 【 A(n, 2) = 

22、单选题:

‏已知f(x)=5,g()=, 其中x,均为自然数,新函数h可递归的构造如下:h(0,x) = f(x), 且h(S(n), x) = g(h(n,x),n,x),请按递归式进行计算下列式子,正确的是_____。

‎选项:
A: h(1,x) = 5
B: h(2,x) = 5+x
C: h(3,x) = 5+2x
D: h(4,x) = 5+3x
答案: 【 h(1,x) = 5

23、单选题:

‎已知f(x)=x,g()=*( +1), 其中x, ,均为自然数,新函数h可递归的构造如下:h(0,x) = f(x), 且h(S(n), x) = g(h(n,x),n,x),请按递归式进行计算下列式子,不正确的是_____。

‍选项:
A: h(1,x) = x
B: h(2,x) = 2x
C: h(3,x) = 6x
D: h(4,x) = 12x
答案: 【 h(4,x) = 12x

24、单选题:
​一般而言,一个较高抽象层次的计算系统是可以这样实现的,即_____。‏
选项:
A: 将较低抽象层次的重复性组合,命名为较高抽象层次的指令
B: 利用较高抽象层次的指令进行复合、抽象与构造,即形成高抽象层次的程序
C: 高抽象层次的程序通过其程序执行机构解释为高抽象层次的指令及其操作次序。高抽象层次的指令被替换为低抽象层次的程序,再由低抽象层次的程序执行机构解释并执行
D: 上述A-C全部
答案: 【 上述A-C全部

25、单选题:

‎对于计算式,其正确的运算组合式(前缀表示法)为_____。

‏选项:
A: (/  (+  10  /  20  +  8  4)  (+  *  3  6  *  8  2 ))
B:  ((10 +  (20  /  (8  +  4))) / ((3 * 6) + (8 * 2)))
C: (/  (+  10  (/  20  (+  8  4)))  (+  (*  3  6)  (*  8  2)))
D:  (/  (/  20  (+  10  (+  8  4)))  (*  (+  3  6)  (+  8  2)))
答案: 【 (/  (+  10  (/  20  (+  8  4)))  (+  (*  3  6)  (*  8  2)))

26、单选题:
​已知一个新运算被定义为(define  (newCalc  x  y) (*  (+  x  1)  (*  y  2))),问newCalc可以完成的计算功能为_____。‌
选项:
A: (x+1)+2y
B: (x+1)*2y
C: (x+1) +(y+2)
D: (x+1)*(y+2)
答案: 【 (x+1)*2y

27、单选题:
‎已知一个新运算被定义为(define  (newCalc  x  y) (*  (+  x  1)  (+  y  1))),问(newCalc  (newCalc (newCalc 1  1)  (newCalc 1  1))  (newCalc 1 1))的计算结果为_____。‏
选项:
A: 1
B: 64
C: 130
D: 8
答案: 【 130

28、单选题:

​用条件运算符定义一个过程。正确的定义为_____。

‏选项:
A: (define  (f  n)  (cond  ((n<2 )  1)                                  ((n>1)  (n* f(n-1)) )
B: (define  (f  n)  (cond  ((<  n  2 )  1)                                  ((>  n  1 )    (*  n  (f  (-  n  1)))) ))
C: (define  (f  n)  (cond  ((n<2)  1)                                   ((n>1 )  (n* f(n-1) )) ))
D: (define  (f  n)  (cond  ((<  n  2 )  1)                                  ((>  n  1 )     (*  n  (f  n-1))) ))
答案: 【 (define  (f  n)  (cond  ((<  n  2 )  1)                                  ((>  n  1 )    (*  n  (f  (-  n  1)))) ))

29、单选题:
‎关于递归定义的函数,下列说法正确的是_____。‏
选项:
A: 递归定义的函数一定是“递归计算”的
B: 递归定义的函数一定是“迭代计算”的
C: 有些递归定义的函数可以“迭代计算”,有些递归定义的函数则必须“递归计算”
D: 凡是可以“迭代计算”的函数,一定可以“递归计算”,凡是可以“递归计算”的函数,也一定可以“迭代计算”
答案: 【 有些递归定义的函数可以“迭代计算”,有些递归定义的函数则必须“递归计算”

30、单选题:
‏按原始递归的定义,h是由f和g递归地构造出来的。假设已知h(n) = n!,请给出构造h的f和g的函数。正确的是_____。​
选项:
A: f()是常数为1的函数;g() = 
B: f()是常数为1的函数;g() = * (+1)
C: f()是常数为1的函数;g() = (+1)*(+1)
D: f()是常数为1的函数;g() = n * ()
答案: 【 f()是常数为1的函数;g() = * (+1)

第3讲测验

1、单选题:
‍关于递归定义的函数,下列说法正确的是_____。‎
选项:
A: 有些递归定义的函数可以“迭代计算”,有些递归定义的函数则必须“递归计算”
B: 递归定义的函数一定是“递归计算”的
C: 递归定义的函数一定是“迭代计算”的
D: 凡是可以“迭代计算”的函数,一定可以“递归计算”,凡是可以“递归计算”的函数,也一定可以“迭代计算”
答案: 【 有些递归定义的函数可以“迭代计算”,有些递归定义的函数则必须“递归计算”

2、单选题:

递归计算是重要的执行手段。例如一种形式的阿克曼函数如下所示:
                                              

任何一个A(m, n)都可以递归地进行计算,例如A(1,2)的递归计算过程如下所示:

A(1,2) = A(0,A(1,1)) = A(0, A(0,A(1,0))) = A(0, A(0,A(0,1)))=A(0,A(0,2))=A(0,3)=4。

请你按上述方法递归计算下列项,并判断,计算结果正确的是_____。

‌选项:
A: A(1, n) = n + 2
B: A(1, 8) = 9
C: A(2, 0) = 2
D: A(2, 1) = 4
答案: 【 A(1, n) = n + 2

3、单选题:

递归计算是重要的执行手段。例如一种形式的阿克曼函数如下所示

                           

任何一个A(n, m)都可以递归地进行计算例如m=1时,A(n,1)的递归计算过程如下所示

m=1A(n,1)=A(A(n-1,1),0)=A(n-1,1)+2A(1,1)=2A(n,1)=2n

请你按上述方法递归计算m=2时,即A(n,2),并判断计算结果正确的是_____

‍选项:
A: A(n, 2) = 
B: A(n, 2) = 2n
C: A(n, 2) =
D: A(n, 2) = n+2
答案: 【 A(n, 2) = 

4、单选题:
‏用递归是可以定义语言的。如表述命题逻辑的一种语言可以如下定义:‎(1)一个命题是其值为真或假的一个判断语句;‎(2)如果X是一个命题,Y也是一个命题,则X and Y,X or Y, not X也是一个命题;‎(3)如果X是一个命题,则(X)也是一个命题,括号内的命题运算优先;‎(4)命题由以上方式构造。‎‏若X,Y,Z,M等均是一个命题,问不符合上述递归定义的语句是_____。‎
选项:
A:  ( X and Y not Z)
B: X
C: (X)
D: ((X  and  Y)  or  (not  Z)) and  (not M)
答案: 【  ( X and Y not Z)

5、单选题:

已知f(x)=5其中均为自然数,新函数h可递归的构造如下

h(0,x) = f(x), h(S(n), x) = g(h(n,x),n,x)请按递归式进行计算下列式子正确的是_____

‍选项:
A:  h(1,x) = 5
B: h(2,x) = 5+x
C: h(3,x) = 5+2x
D: h(4,x) = 5+3x 
答案: 【  h(1,x) = 5

6、单选题:

用条件运算符定义一个过程。正确的定义为_____ 

‍选项:
A:
B:
C:
D:
答案: 【 

7、单选题:
‍一般而言,设计和实现一个计算系统,需要设计和实现_____。‎
选项:
A: 基本动作、控制基本动作的指令和一个程序执行机构
B: 基本动作和程序
C: 基本动作和控制基本动作的指令
D: 基本动作、控制基本动作的指令和程序
答案: 【 基本动作、控制基本动作的指令和一个程序执行机构

8、单选题:
‌关于计算系统与程序,下列说法正确的是_____。‌
选项:
A: 任何系统都需要程序,只是这个程序是由人来执行还是由机器自动执行,可以由机器自动执行程序的系统被称为计算系统
B: 只有用计算机语言编写出来的代码才是程序,其他都不能称其为程序
C: 构造计算系统是不需要程序的,程序对构造计算系统没有什么帮助
D: 程序是用户表达的随使用者目的不同而千变万化的复杂动作,不是使用者实现的而是需要计算系统事先完成的
答案: 【 任何系统都需要程序,只是这个程序是由人来执行还是由机器自动执行,可以由机器自动执行程序的系统被称为计算系统

9、单选题:
‍已知一个新运算被定义为(define  (newCalc  x  y) (*  (+  x  1)  (*  y  2))),问正确使用了newCalc并得到正确结果的为_____。‌
选项:
A: (newCalc  4  5),其结果为50
B: ((newCalc)  (4  5)),其结果为50
C: (newCalc  4),其结果为40
D: (newCalc  2  3),其结果为21
答案: 【 (newCalc  4  5),其结果为50

10、单选题:
‎关于“程序”和“递归”的关系,下列说法不正确的是_____。​
选项:
A: 其它选项的说法有不正确的
B: “程序”是计算系统体现千变万化功能的一种重要手段:计算系统仅需要实现简单元素以及一个程序执行机构即可
C: 本质上讲,“程序”就是对简单元素的组合(或称复合);此外,“程序”需要有能力对一些常见的组合A进行命名,并利用该名字参与更为复杂的组合B的构造中,此即为“抽象”;在执行时(或称计算时),再将该组合A替换组合B中的该名字,实现计算并获取结果
D: “程序”的基本特征是复合、抽象与构造。而最重要的是,如何解决近乎无限的、具有自相似性的复杂组合的构造问题,这就需要递归和迭代
E: 递归和迭代是解决近乎无限的、重复的、嵌套的组合构造的基本手段,它采用“利用自身定义自身”、“自身调用自身”、“自身用自身来计算”的方法,将程序的复杂组合构造问题以简便的、明确的形式表达出来计算出来
答案: 【 其它选项的说法有不正确的

11、单选题:

用条件运算符定义一个过程。正确的定义为_____

‎选项:
A:
B:
C:
D:
答案: 【 

12、单选题:

已知一个运算被定义为(define  (firstCalc  x)  (*  x  x)),在其基础上进一步定义新运算secondCalc下列运算组合式书写正确的是_____

‎选项:
A: (define (secondCalc x y z)  (+  (firstCalc  x)  (firstCalc  y)  (firstCalc  z)))
B: (define  secondCalc  (+  (firstCalc  x)  (firstCalc  y)  (firstCalc  z)))
C: (define (secondCalc x y z)  (+  firstCalc  x  y  z))
D: (define secondCalc x y z  (+  (firstCalc  x)  (firstCalc  y)  (firstCalc  z)))
E: (define (secondCalc x y z)  (+  (firstCalc  x)  (firstCalc  x)  (firstCalc  x)))
答案: 【 (define (secondCalc x y z)  (+  (firstCalc  x)  (firstCalc  y)  (firstCalc  z)))

13、单选题:
‌已知一个运算被定义为(define  (firstCalc  x)  (*  x  x)),在其基础上进一步定义新运算为(define  (secondCalc  x)  (firstCalc  (firstCalc  (firstCalc  x)))),问secondCalc表达的运算功能为_____。‎
选项:
A:
B:
C: ++
D:
答案: 【 

14、单选题:
​若要表达从1计算到n的运算组合式,(* …(*  (*  (*  (*  1  1)  2)  3)  4) …n)定义一个过程。正确的定义为_____。‏
选项:
A:
B:
C:
D:
答案: 【 

15、单选题:
‍按原始递归的定义,h是由f和g递归地构造出来的。假设已知h(n) = n!,请给出构造h的f和g的函数。正确的是_____。‏
选项:
A: f()是常数为1的函数;
B: f()是常数为1的函数;
C: f()是常数为1的函数;
D: f()是常数为1的函数;
答案: 【 f()是常数为1的函数;

16、单选题:

‌已知,其中均为自然数,新函数h可递归的构造如下:h(0,x) = f(x), 且h(S(n), x) = g(h(n,x),n,x),请按递归式进行计算下列式子,不正确的是_____。

‍选项:
A: h(4,x) = 12x
B: h(1,x) = x
C: h(2,x) = 2x
D: h(3,x) = 6x
答案: 【 h(4,x) = 12x

17、单选题:

斐波那契数列与阿克曼函数都是递归函数,但它们是不同的,下列说法不正确的是_____。
              

‌选项:
A: 阿克曼函数也可如斐波那契数列一样自前项(第n-1项)计算到后项(第n项)
B: 斐波那契数列是原始递归的,而阿克曼函数不是原始递归的
C: 斐波那契数列可以递推地计算即迭代计算;而阿克曼函数只能递归地计算
D: 阿克曼函数是双递归函数,不仅函数自身是递归定义的,同时函数的变量也是递归定义的
答案: 【 阿克曼函数也可如斐波那契数列一样自前项(第n-1项)计算到后项(第n项)

18、单选题:

已知f(x)=x, 其中为自然数,新函数h可递归的构造如下:h(0,x) = f(x), h(S(n), x) = g(h(n,x),n,x),请按递归式进行计算下列式子,正确的是_____

‌选项:
A: h(4,x) = 5x+6
B: h(1,x) = x
C: h(2,x) = 2x
D: h(3,x) = 3x+1
答案: 【 h(4,x) = 5x+6

19、单选题:
‍已知一个新运算被定义为(define  (newCalc  x  y) (*  (+  x  1)  (+  y  1))),问(newCalc (newCalc (newCalc 1  1)  2)  3)的计算结果为_____。​
选项:
A: 64
B: 6
C: 13
D: 24
答案: 【 64

20、单选题:
‎已知一个新运算被定义为(define  (newCalc  x  y) (*  (+  x  1)  (+  y  1))),问(newCalc  (newCalc (newCalc 1  1)  (newCalc 1  1))  (newCalc 1 1))的计算结果为_____。‏
选项:
A: 130
B: 1
C: 64
D: 8
答案: 【 130

21、单选题:
‏关于“递归”,下列说法不正确的是_____。​
选项:
A: “递归”与递推式一样,都是自递推基础计算起,由前项(第n-1项)计算后项(第n项),直至最终结果的获得
B: “递归”源自于数学上的递推式和数学归纳法
C: “递归”是自后项(即第n项)向前项(第n-1项)代入,直到递归基础获取结果,再从前项计算后项获取结果,直至最终结果的获得
D: “递归”是由前n-1项计算第n项的一种方法
答案: 【 “递归”与递推式一样,都是自递推基础计算起,由前项(第n-1项)计算后项(第n项),直至最终结果的获得

22、单选题:
‌关于程序,下列说法不正确的是_____。‏
选项:
A: 其它选项的说法有不正确的
B: 程序的基本特征是复合、抽象与构造
C: 复合就是对简单元素的各种组合,即将一个(些)元素代入到另一个(些)元素中
D: 抽象是对各种元素的组合进行命名,并将该名字用于更复杂的组合构造中
E: 程序就是通过组合、抽象、再组合等构造出来的
答案: 【 其它选项的说法有不正确的

23、单选题:
‍关于“递归”,下列说法不正确的是_____。​
选项:
A: 其它选项的说法不全正确
B: 可以利用“递归”进行具有自相似性无限重复事物的定义
C: 可以利用“递归”进行具有自重复性无限重复动作的执行,即“递归计算”或“递归执行”
D: 可以利用“递归”进行具有自相似性无限重复规则的算法的构造
答案: 【 其它选项的说法不全正确

24、单选题:
​关于原始递归函数的理解,下列说法不正确的是_____。‏
选项:
A: 其它选项的说法有不正确的
B: “复合”即是将一组函数作为参数代入到另一函数中,即n个函数被组合到了一起,是按函数f的形式进行的组合
C: “原始递归”即是要定义h(0),h(1),…,h(n),h(n+1),其中h(0)需要直接给出,而h(n+1)需要用h(n)进行定义,即h(n+1)是将h(n)和n复合在一起
D: 复合是构造新函数的一种手段,原始递归也是构造新函数的一种手段
E: 递归函数是描述程序组合与构造问题的一种数学形式
答案: 【 其它选项的说法有不正确的

25、单选题:

​对于计算式,其正确的运算组合式(前缀表示法)为_____。

‌选项:
A: (/  (+  10  (/  20  (+  8  4)))  (+  (*  3  6)  (*  8  2)))
B: (/  (+  10  /  20  +  8  4)  (+  *  3  6  *  8  2 ))
C: ((10  +  (20  /  (8  +  4)))  /  ((3  *  6)  +  (8  *  2)))
D: (/  (/  20  (+  10  (+  8  4)))  (*  (+  3  6)  (+  8  2)))
答案: 【 (/  (+  10  (/  20  (+  8  4)))  (+  (*  3  6)  (*  8  2)))

26、单选题:
‍关于程序,下列说法不正确的是_____。​
选项:
A: 普通人是很难理解“程序”的,其也和“程序”无关
B: “程序”是由人编写的、以告知计算系统实现人所期望的复杂动作
C: “程序”可以由系统自动解释执行,也可以由人解释由系统执行
D: “程序”几乎和每个人都有关系,如自动售票系统、自动取款机等
答案: 【 普通人是很难理解“程序”的,其也和“程序”无关

27、单选题:

‎请用define运算,定义一个过程实现计算,其正确定义的过程为_____。

​选项:
A: (define  (cube  x)  (*  x  x  x))
B: (define  cube  a  (*  a  a  a))
C: (define  (cube  a  (*  a  a  a))
D: (define  (cube  a)  (*  x  x  x))
答案: 【 (define  (cube  x)  (*  x  x  x))

28、单选题:
‏熟悉下列运算组合式(前缀表达式),其中结果为56的是_____。​
选项:
A: (*  (+  5  3)  (+  5  2))
B: (*  7  (+  5  2))
C: (+  20  (+  6  6))
D: (-  (*  9  8)  (-  20  2))
答案: 【 (*  (+  5  3)  (+  5  2))

29、单选题:
‌已知一个新运算被定义为(define  (newCalc  x  y) (*  (+  x  1)  (*  y  2))),问newCalc可以完成的计算功能为_____。‍
选项:
A: (x+1)*2y
B: (x+1)+2y
C: (x+1)+(y+2)
D: (x+1)*(y+2)
答案: 【 (x+1)*2y

第4讲 冯.诺依曼计算机—机器级程序及其执行

第4讲之模拟练习题

1、单选题:

‎已知某机器的核心部件及其结构关系如下图示意。请仔细理解该结构图,并回答问题。

CPU在执行000100 0000001001指令时,PC的值是_____

‏选项:
A: 00000000 00000001
B: 00000000 00000010
C: 00000000 00000011
D: 00000000 00000100
答案: 【 00000000 00000010

2、单选题:

下图为用状态转换图示意的一个图灵机,其字母集合为{0,1,X,Y,B},其中B为空白字符;状态集合{S1S2S3S4S5},其中S1为起始状态,S5为终止状态;箭头表示状态转换,其上标注的如<in, out, direction>表示输入是in时,输出out,向direction方向移动一格,同时将状态按箭头方向实现转换,其中in,out均是字母集中的符号,direction可以为R(向右移动)L(向左移动)N(停留在原处)

该图灵机的功能是_____

‏选项:
A: 识别是否如0101,01010101的0、1串,即一个0接续一个1,且0的个数和1的个数相同
B: 识别是否如000111,00001111的0、1串,即左侧连续0的个数和右侧连续1的个数相同的0、1串
C: 将形如0101,01010101的0、1串,即一个0接续一个1,且0的个数和1的个数相同, 转换为XYXY, XYXYXYXY的形式
D: 将形如000111,00001111的0、1串,即左侧连续0的个数和右侧连续1的个数相同的0、1串转换为XXXYYY, XXXXYYYY的形式
答案: 【 将形如000111,00001111的0、1串,即左侧连续0的个数和右侧连续1的个数相同的0、1串转换为XXXYYY, XXXXYYYY的形式

3、单选题:

下图为用状态转换图示意的一个图灵机,其字母集合为{VC+=,“空格”,;};状态集合{S1S2S3S4S5S6S7},其中S1为起始状态,S7为终止状态;箭头表示状态转换,其上标注的如<in, out, direction>表示输入是in时,输出out,向direction方向移动一格,同时将状态按箭头方向实现转换,其中in,out均是字母集中的符号,null表示什么也不写,direction可以为R(向右移动)L(向左移动)N(停留在原处)

关于该图灵机的功能,说法不正确的是_____

‎选项:
A: 既能够识别“V=C+C;”形式的符号串,又能识别“V=V+C;”形式的符号串
B: 既能够识别“V=C;”形式的符号串,又能识别“V=V;”形式的符号串
C: 既能够识别“V=V+C;”形式的符号串,又能识别“V=C+V;”形式的符号串
D: 上述说法不正确,即有该图灵机不能识别的符号串形式
答案: 【 上述说法不正确,即有该图灵机不能识别的符号串形式

4、单选题:

下图是一个存储器的简单模型。围绕该存储器模型,回答问题。

下列说法不正确的是_____

‍选项:
A: 该存储器可存取4个4位的存储单元
B: 该存储器其中的一个存储单元的内容是1010
C: 该存储器既可读出,又可写入
D: 该存储器的地址码分别是00,01,10和11
答案: 【 该存储器既可读出,又可写入

5、单选题:

下图是一个存储器的简单模型。围绕该存储器模型,回答问题。

=10时,的内容是_____

‏选项:
A: 100101
B: 011101
C: 101010
D:  010101
答案: 【 101010

6、单选题:
‍关于“存储程序”,下列说法不正确的是_____。‏
选项:
A: 将“指令”和“数据”以同等地位保存在存储器中,以便于机器自动读取自动处理
B: 之所以将“程序”和“数据”事先存储于存储器中,是因为输入的速度满足不了机器处理的速度,为使机器连续自动处理,所以要“存储程序”
C: 依据“存储程序”原理,机器可由四大部分构成:运算器、存储器、输入设备和输出设备
D: 冯.诺依曼计算机的本质就是“存储程序、连续自动执行”
答案: 【 依据“存储程序”原理,机器可由四大部分构成:运算器、存储器、输入设备和输出设备

7、单选题:

下图是一个存储器的简单模型与或阵列图。请回答问题。

围绕该存储器模型,请写出由产生的逻辑表达式,书写正确的是_____

‌选项:
A: = (NOT)  OR  (NOT )
B: = (NOT )  AND 
C:  OR  (NOT )
D: AND  (NOT )
答案: 【 = (NOT )  AND 

8、单选题:

已知一个存储器芯片M的4位二进制地址编码为,其8条数据线为。问下列说法正确的是_____。

‌选项:
A: 该存储器共有256存储单元
B: 该存储器共有16个存储单元
C: 该存储器存储单元的位数,即字长为4位
D: 该存储器的存储容量为字节
答案: 【 该存储器共有16个存储单元

9、单选题:

已知某机器的指令集合及指令格式如下表示意。

已经编制好并存储在存储器中的一段程序如下表示意,请阅读这段程序,并回答问题。

存储器1号存储单元中存放的指令功能是_____

‏选项:
A: 将运算器中寄存器A的数,加上9号存储单元的数2,结果保留在运算器的寄存器A中
B: 将运算器中寄存器A的数,乘以9号存储单元的数7,结果保留在运算器的寄存器A中
C: 将运算器中寄存器A的数,乘以10号存储单元的数6,结果保留在运算器的寄存器A中
D: 将运算器中寄存器A的数,乘以9号存储单元的数2,结果保留在运算器的寄存器A中
答案: 【 将运算器中寄存器A的数,乘以9号存储单元的数2,结果保留在运算器的寄存器A中

10、单选题:

‌已知某机器的核心部件及其结构关系如下图示意。请仔细理解该结构图,并回答问题。

保存正在执行指令的寄存器是_____

‌选项:
A: IR
B:
C: 存储器的地址寄存器
D: PC
答案: 【 IR

11、单选题:

‌已知某机器的核心部件及其结构关系如下图示意。请仔细理解该结构图,并回答问题。

CPU在读取指令阶段,下列说法正确的是_____

‎选项:
A: 第1个节拍进行A1,C3;第2个节拍进行D1,C2,D6
B: 第1个节拍进行A2,C3;第2个节拍进行D1,C2,D6
C: 第1个节拍进行A1,C3;第2个节拍进行D1,C4,D2或D3
D: 第1个节拍进行A1,C3,C1;第2个节拍进行D1,C2,D6
答案: 【 第1个节拍进行A1,C3;第2个节拍进行D1,C2,D6

12、单选题:

‍已知某机器的核心部件及其结构关系如下图示意。请仔细理解该结构图,并回答问题。

关于机器指令的执行,则下列说法不正确的是_____

‌选项:
A: 控制器不断地从存储器中读取指令,并按照指令的内容进行执行
B: 机器指令的执行即是在时钟节拍控制下产生一系列信号的过程
C:  没有时钟与节拍发生器,机器的指令也能正确地执行
D: 没有PC,机器就不能正确地执行程序
答案: 【  没有时钟与节拍发生器,机器的指令也能正确地执行

13、单选题:

下图是一个存储器的简单模型。围绕该存储器模型,回答问题

存储单元的内容是100101时,其存储单元的地址编码_____。

‎选项:
A: 00
B: 01
C: 10
D: 11
答案: 【 00

14、单选题:

已知一个存储器芯片M的4位二进制地址编码为,其8条数据线为如果需要构造64个存储单元且每个存储单元的字长为16位的存储器,该存储器的6位二进制地址编码线为16条数据线为~,问下列说法正确的是_____

‌选项:
A: 总计需要M芯片8分别连接到8M芯片的上;将用一个2-4译码器进行译码形成4条控制线,每一条控制两个M芯片;将8个芯片任意分成两组,将~~分别连接到这2个组中的每个芯片的~
B: 总计需要M芯片16分成8每组两个分别连接到16M芯片的上;将用一个3-8译码器进行译码形成8条控制线,每一条控制一组中的两个M芯片;将~分别连接到这8个组中的第一个芯片的~上,而将~分别连接到这8个组中的另一个芯片的~
C: 总计需要M芯片8分成4每组两个分别连接到8M芯片的上;将用一个2-4译码器进行译码形成4条控制线,每一条控制一组中的两个M芯片;将~分别连接到这4个组中的第一个芯片的~上,而将~分别连接到这4个组中的另一个芯片的~
D: 总计需要M芯片8分成2每组4分别连接到8M芯片的上;将用一个2-4译码器进行译码形成4条控制线,每2条控制线控制一组M芯片;将~分别连接到第一组每个芯片的~上,而将~分别连接到第2组每个芯片的~
答案: 【 总计需要M芯片8分成4每组两个分别连接到8M芯片的上;将用一个2-4译码器进行译码形成4条控制线,每一条控制一组中的两个M芯片;将~分别连接到这4个组中的第一个芯片的~上,而将~分别连接到这4个组中的另一个芯片的~

15、单选题:

已知某机器的指令集合及指令格式如下表示意。

已经编制好并存储在存储器中的一段程序如下表示意,请阅读这段程序,并回答问题。

关于存储器存放的内容,下列说法正确的是_____

‌选项:
A: 3号存储单元存放的是数据,而8号存储单元存放的是指令
B:  3号存储单元存放的是数据,而8号存储单元存放的是数据
C: 3号存储单元存放的是指令,而8号存储单元存放的是数据
D: 3号存储单元存放的是指令,而8号存储单元存放的是指令
答案: 【 3号存储单元存放的是指令,而8号存储单元存放的是数据

16、单选题:

已知某机器的指令集合及指令格式如下表示意。

已经编制好并存储在存储器中的一段程序如下表示意,请阅读这段程序,并回答问题。

若要使该程序完成计算,则需修正存储的数据,正确的修正是_____

‏选项:
A:  8号存储单元存放数00000000 00000110,9号存储单元存放数00000000 00001000,10号存储单元存放数00000000 00000010,11号存储单元存放数 00000000 00000011
B: 8号存储单元存放数00000000 00001000,9号存储单元存放数00000000 00000011,10号存储单元存放数00000000 00000010,11号存储单元存放数 00000000 00000110
C: 8号存储单元存放数00000000 00000011,9号存储单元存放数00000000 00001000,10号存储单元存放数00000000 00000010,11号存储单元存放数 00000000 00000110
D: 8号存储单元存放数00000000 00000010,9号存储单元存放数00000000 00000011,10号存储单元存放数00000000 00000110,11号存储单元存放数 00000000 00001000
答案: 【 8号存储单元存放数00000000 00000011,9号存储单元存放数00000000 00001000,10号存储单元存放数00000000 00000010,11号存储单元存放数 00000000 00000110

17、单选题:

已知某机器的指令集合及指令格式如下表示意。

已经编制好并存储在存储器中的一段程序如下表示意,请阅读这段程序,并回答问题。

若要使该程序完成任意方程式,则需修正存储的数据,正确的修正是_____

‌选项:
A: 8号存储单元存放数a的二进制数,9号存储单元存放数x的二进制数,10号存储单元存放数b的二进制数,11号存储单元存放数 c的二进制数
B: 8号存储单元存放数a的二进制数,9号存储单元存放数b的二进制数,10号存储单元存放数c的二进制数,11号存储单元存放数 x的二进制数
C: 8号存储单元存放数x的二进制数,9号存储单元存放数a的二进制数,10号存储单元存放数b的二进制数,11号存储单元存放数c的二进制数
D: 8号存储单元存放数c的二进制数,9号存储单元存放数b的二进制数,10号存储单元存放数a的二进制数,11号存储单元存放数 x的二进制数
答案: 【 8号存储单元存放数x的二进制数,9号存储单元存放数a的二进制数,10号存储单元存放数b的二进制数,11号存储单元存放数c的二进制数

18、单选题:

​已知某机器的核心部件及其结构关系如下图示意。请仔细理解该结构图,并回答问题。

CPU在执行000100 0000001001指令时,IR的值是_____

​选项:
A: 00000100 00001000
B: 00010000 00001001
C: 00001100 00001010
D: 00010000 00001000
答案: 【 00010000 00001001

19、单选题:
​关于“存储在存储器中程序的执行”问题,下列说法不正确的是_____。​
选项:
A: 机器需要提供一个其可以执行的指令集合,人们用指令集合中的指令编写程序,并将编写好的程序和数据事先存放于存储器中
B: 控制器一条接一条的从存储器中读取指令,读取一条指令则执行一条指令,一条指令执行完成后,再读下一条指令
C: 当读取一条指令后,程序计数器PC的值自动加1,以指向下一条将要读取的指令;当程序需要转往它处执行时,则可以它处存放指令的地址来修改PC的值即可
D: 上述说法有不正确的
答案: 【 上述说法有不正确的

20、单选题:
‍关于“图灵机”,下列说法不正确的是_____。‎
选项:
A: 图灵机给出的是计算机的理论模型,是一种离散的、有穷的、构造性的问题求解思路
B: 图灵机的状态转移函数<q, X, Y, R(或L或N), p>,其实就是一条指令,即在q状态下,当输入为X时,输出为Y,读写头向右(R)、向左(L)移动一格或不动(N),状态变为p
C: 凡是能用算法方法解决的问题也一定能用图灵机解决;凡是图灵机解决不了的问题任何算法也解决不了
D: 上述有不正确的
答案: 【 上述有不正确的

21、单选题:
‎关于“图灵机”和“计算”,下列说法不正确的是_____。‏
选项:
A: 计算就是对一条两端可无限延长的纸带上的一串0和1,一步一步地执行指令,经过有限步骤后得到的一个满足预先规定的符号串的变换过程
B: “数据”可被制成一串0和1的纸带送入机器中进行自动处理,被称为数据纸带;处理数据的“指令”也可被制作成一串0和1的纸带送入机器中,被称为程序纸带;机器一方面阅读程序纸带上的指令,并按照该指令对数据纸带上的数据进行变换处理
C: 计算机器可以这样来制造:读取程序纸带上的指令,并按照该指令对数据纸带上的数据做相应的变换,这就是图灵机的基本思想
D: 上述有不正确的
答案: 【 上述有不正确的

22、单选题:

下图为用状态转换图示意的一个图灵机,其字母集合为{0,1,X,Y,B},其中B为空白字符;状态集合{S1S2S3S4S5S6},其中S1为起始状态,S6为终止状态;箭头表示状态转换,其上标注的如<in, out, direction>表示输入是in时,输出out,向direction方向移动一格,同时将状态按箭头方向实现转换,其中in,out均是字母集中的符号,direction可以为R(向右移动)L(向左移动)N(停留在原处)

该图灵机的功能是_____

​选项:
A: 识别是否如0101,01010101的0、1串,即一个0接续一个1,且0的个数和1的个数相同
B: 识别是否如000111,00001111的0、1串,即左侧连续0的个数和右侧连续1的个数相同的0、1串 
C: 将形如0101,01010101的0、1串,即一个0接续一个1,且0的个数和1的个数相同, 转换为XYXY, XYXYXYXY的形式
D: 将形如000111,00001111的0、1串,即左侧连续0的个数和右侧连续1的个数相同的0、1串转换为XXXYYY, XXXXYYYY的形式
答案: 【 识别是否如000111,00001111的0、1串,即左侧连续0的个数和右侧连续1的个数相同的0、1串 

23、单选题:

下图为用状态转换图示意的一个图灵机,其字母集合为{VC+=,“空格”,;};状态集合{S1S2S3S4S5S6S7},其中S1为起始状态,S7为终止状态;箭头表示状态转换,其上标注的如<in, out, direction>表示输入是in时,输出out,向direction方向移动一格,同时将状态按箭头方向实现转换,其中in,out均是字母集中的符号,null表示什么也不写,direction可以为R(向右移动)L(向左移动)N(停留在原处)

该图灵机的功能是_____

‌选项:
A: 能够识别“V=C+C;”形式的符号串
B: 能够识别“V=C;”形式的符号串
C: 能够将符号串中的空格去除掉
D: 上述全部能够识别
答案: 【 上述全部能够识别

24、单选题:
‎关于“冯.诺依曼计算机”的结构,下列说法正确的是_____。​
选项:
A: 冯.诺依曼计算机仅需要三大部件即可:运算器、控制器和存储器
B: 一般,个人计算机是由中央处理单元(CPU)、存储器、输入设备和输出设备构成,没有运算器和控制器,所以它不是冯.诺依曼计算机
C: 以“运算器”为中心的冯.诺依曼计算机和以“存储器”为中心的冯.诺依曼计算机是有差别的,前者不能实现并行利用各个部件,受限于运算器;后者可以实现并行利用各个部件
D: 冯.诺依曼计算机提出“运算”和“存储”完全没有必要
答案: 【 以“运算器”为中心的冯.诺依曼计算机和以“存储器”为中心的冯.诺依曼计算机是有差别的,前者不能实现并行利用各个部件,受限于运算器;后者可以实现并行利用各个部件

25、单选题:

下图是一个存储器的简单模型。围绕该存储器模型,回答问题。

 01的存储单元,其内容_____

‌选项:
A: 0101       
B: 1010
C: 0111
D: 1110
答案: 【 0111

26、单选题:

下图是一个存储器的简单模型与或阵列图。请回答问题。

围绕该存储器模型,请写出由产生的逻辑表达式,书写不正确的是_____

‏选项:
A: =   OR    OR  
B: =   OR     OR  
C:   OR    OR  
D:    OR  
答案: 【   OR    OR  

27、单选题:

已知一个存储器芯片M的4位二进制地址编码为,其8条数据线为如果需要构造256个存储单元且每个存储单元的字长为16位的存储器,问下列说法正确的是_____

‏选项:
A: 总计需要M芯片16个
B: 总计需要M芯片8个
C: 总计需要M芯片32个
D: 总计需要M芯片64个
答案: 【 总计需要M芯片32个

28、单选题:

已知某机器的指令集合及指令格式如下表示意。

已经编制好并存储在存储器中的一段程序如下表示意,请阅读这段程序,并回答问题。

存储器2号存储单元中存放的指令功能是_____

‏选项:
A: 将10号存储单元的数,取出送到运算器的寄存器A中
B: 将运算器中寄存器A的数,加上10号存储单元的数,结果保留在运算器的寄存器A中
C: 将运算器的寄存器A中的数,保存到10号存储单元中
D: 将运算器中寄存器A的数,乘以10号存储单元的数,结果保留在运算器的寄存器A中
答案: 【 将运算器中寄存器A的数,加上10号存储单元的数,结果保留在运算器的寄存器A中

29、单选题:

已知某机器的指令集合及指令格式如下表示意。

已经编制好并存储在存储器中的一段程序如下表示意,请阅读这段程序,并回答问题。

该程序所能完成的计算是_____

‌选项:
A:
B:
C:
D:  以上都不正确
答案: 【 

30、单选题:

‎已知某机器的核心部件及其结构关系如下图示意。请仔细理解该结构图,并回答问题。

保存下一条将要执行的指令地址的寄存器是_____

‍选项:
A: IR
B:
C: 存储器的地址寄存器
D: PC
答案: 【 PC

31、单选题:

‎已知某机器的核心部件及其结构关系如下图示意。请仔细理解该结构图,并回答问题。

CPU在执行指令阶段,假设当前执行的指令“00000100 00001000—8号单元内容取出到寄存器中并与运算器中寄存器的值相乘,结果保留在中”,则下列说法正确的是_____

‌选项:
A: 第3个节拍进行A2,C3,C1;第4个节拍进行D1,C4,D2;第5个节拍进行C5
B: 第3个节拍进行A1,C3;第4个节拍进行D1,C4,D2;第5个节拍进行C5
C: 第3个节拍进行A2,C3,  C1;第4个节拍进行D1,C5,D2
D: 第3个节拍进行A2,C3,C1;第4个节拍进行D1,C4,D4;第5个节拍进行C5
答案: 【 第3个节拍进行A2,C3,C1;第4个节拍进行D1,C4,D2;第5个节拍进行C5

32、单选题:

下图是一个存储器的简单模型。围绕该存储器模型,回答问题

内容为1010的存储单元的地址编码_____

​选项:
A: 00
B: 01
C: 10
D: 11
答案: 【 10

第4讲测验

1、单选题:
‌关于“存储程序”,下列说法不正确的是_____。‍
选项:
A: 依据“存储程序”原理,机器可由四大部分构成:运算器、存储器、输入设备和输出设备
B: 将“指令”和“数据”以同等地位保存在存储器中,以便于机器自动读取自动处理
C: 之所以将“程序”和“数据”事先存储于存储器中,是因为输入的速度满足不了机器处理的速度,为使机器连续自动处理,所以要“存储程序”
D: 冯.诺依曼计算机的本质就是“存储程序、连续自动执行”
答案: 【 依据“存储程序”原理,机器可由四大部分构成:运算器、存储器、输入设备和输出设备

2、单选题:

‏已知某机器的核心部件及其结构关系如下图示意。请仔细理解该结构图,并回答问题。

当CPU在读取指令阶段,下列说法正确的是_____。

‍选项:
A: 第1个节拍进行A1,C3;第2个节拍进行D1,C2,D6
B: 第1个节拍进行A2,C3;第2个节拍进行D1,C2,D6
C: 第1个节拍进行A1,C3;第2个节拍进行D1,C4,D2或D3
D: 第1个节拍进行A1,C3,C1;第2个节拍进行D1,C2,D6
答案: 【 第1个节拍进行A1,C3;第2个节拍进行D1,C2,D6

3、单选题:

‍已知某机器的核心部件及其结构关系如下图示意。请仔细理解该结构图,并回答问题。

CPU在执行指令阶段,假设当前执行的指令“00000100 00001000—8号单元内容取出到寄存器中并与运算器中寄存器的值相乘,结果保留在中”,则下列说法正确的是_____

‌选项:
A: 第3个节拍进行A2,C3,C1;第4个节拍进行D1,C4,D2;第5个节拍进行C5
B: 第3个节拍进行A1,C3;第4个节拍进行D1,C4,D2;第5个节拍进行C5
C: 第3个节拍进行A2,C3,  C1;第4个节拍进行D1,C5,D2
D: 第3个节拍进行A2,C3,C1;第4个节拍进行D1,C4,D4;第5个节拍进行C5
答案: 【 第3个节拍进行A2,C3,C1;第4个节拍进行D1,C4,D2;第5个节拍进行C5

4、单选题:

‏已知某机器的指令集合及指令格式如下表示意。
                          
已经编制好并存储在存储器中的一段程序如下表示意,请阅读这段程序,并回答问题。
                                 
若要使该程序完成计算,则需修正存储的数据,正确的修正是_____

‎选项:
A: 8号存储单元存放数00000000 00000011,9号存储单元存放数00000000 00001000,10号存储单元存放数00000000 00000010,11号存储单元存放数 00000000 00000110
B: 8号存储单元存放数00000000 00000110,9号存储单元存放数00000000 00001000,10号存储单元存放数00000000 00000010,11号存储单元存放数 00000000 00000011
C: 8号存储单元存放数00000000 00001000,9号存储单元存放数00000000 00000011,10号存储单元存放数00000000 00000010,11号存储单元存放数 00000000 00000110
D: 8号存储单元存放数00000000 00000010,9号存储单元存放数00000000 00000011,10号存储单元存放数00000000 00000110,11号存储单元存放数 00000000 00001000
答案: 【 8号存储单元存放数00000000 00000011,9号存储单元存放数00000000 00001000,10号存储单元存放数00000000 00000010,11号存储单元存放数 00000000 00000110

5、单选题:

下图是一个存储器的简单模型与或阵列图。

                       

围绕该存储器模型,请写出由产生的逻辑表达式,书写不正确的是_____

‏选项:
A:
B:
C:
D:
E:
答案: 【 

6、单选题:
​关于“图灵机”,下列说法不正确的是_____。‍
选项:
A: 其它三个选项有不正确的
B: 图灵机给出的是计算机的理论模型
C: 图灵机的状态转移函数<q, X, Y, R(或L或N), p>,其实就是一条指令,即在q状态下,当输入为X时,输出为Y,读写头向右(R)、向左(L)移动一格或不动(N),状态变为p
D: 图灵机是一种离散的、有穷的、构造性的问题求解思路
E: 凡是能用算法方法解决的问题也一定能用图灵机解决;凡是图灵机解决不了的问题任何算法也解决不了
答案: 【 其它三个选项有不正确的

7、单选题:
‌关于“图灵机”和“计算”,下列说法不正确的是_____。‎
选项:
A: 其它三个选项有不正确的
B: 计算就是对一条两端可无限延长的纸带上的一串0和1,一步一步地执行指令,经过有限步骤后得到的一个满足预先规定的符号串的变换过程
C: “数据”可被制成一串0和1的纸带送入机器中进行自动处理,被称为数据纸带;处理数据的“指令”也可被制作成一串0和1的纸带送入机器中,被称为程序纸带;机器一方面阅读程序纸带上的指令,并按照该指令对数据纸带上的数据进行变换处理
D: 计算机器可以这样来制造:读取程序纸带上的指令,并按照该指令对数据纸带上的数据做相应的变换,这就是图灵机的基本思想
答案: 【 其它三个选项有不正确的

8、单选题:

‏下图是一个存储器的简单模型。内容为1010的存储单元的地址编码是_____。
                     

‌选项:
A: 10
B: 00
C: 01
D: 11
E: 没有该存储单元
答案: 【 10

9、单选题:

‌已知某机器的指令集合及指令格式如下表示意。
                          
已经编制好并存储在存储器中的一段程序如下表示意,请阅读这段程序,并回答问题。
                                 
该程序所能完成的计算是_____。

​选项:
A:
B:
C:
D:
E: 其它三个选项都不正确
答案: 【 

10、单选题:

​已知某机器的指令集合及指令格式如下表示意。
                            
已经编制好并存储在存储器中的一段程序如下表示意,请阅读这段程序,并回答问题。
                                 
关于存储器存放的内容,下列说法正确的是_____。

‍选项:
A:  3号存储单元存放的是指令,而8号存储单元存放的是数据
B: 3号存储单元存放的是数据,而8号存储单元存放的是指令
C: 3号存储单元存放的是数据,而8号存储单元存放的是数据
D: 3号存储单元存放的是指令,而8号存储单元存放的是指令
答案: 【  3号存储单元存放的是指令,而8号存储单元存放的是数据

11、单选题:

‎已知某机器的核心部件及其结构关系如下图示意。请仔细理解该结构图,并回答问题。

当CPU在执行000100 0000001001指令时,IR的值是_____。

‏选项:
A: 00010000 00001001
B: 00000100 00001000
C: 00001100 00001010
D: 00010000 00001000
答案: 【 00010000 00001001

12、单选题:

​已知某机器的核心部件及其结构关系如下图示意。请仔细理解该结构图,并回答问题。

关于机器指令的执行,则下列说法不正确的是_____

‌选项:
A: 没有时钟与节拍发生器,机器的指令也能正确地执行
B: 控制器不断地从存储器中读取指令,并按照指令的内容进行执行
C: 机器指令的执行即是在时钟节拍控制下产生一系列信号的过程
D: 没有PC,机器就不能正确地执行程序
答案: 【 没有时钟与节拍发生器,机器的指令也能正确地执行

13、单选题:

‏下图为用状态转换图示意的一个图灵机,其字母集合为{0,1,X,Y,B},其中B为空白字符;状态集合{S1,S2,S3,S4,S5},其中S1为起始状态,S5为终止状态;箭头表示状态转换,其上标注的如<in, out, direction>表示输入是in时,输出out,向direction方向移动一格,同时将状态按箭头方向实现转换,其中in,out均是字母集中的符号,direction可以为R(向右移动)、L(向左移动)、N(停留在原处)。
                                   
该图灵机的功能是_____。

‌选项:
A: 将形如000111,00001111的0、1串,即左侧连续0的个数和右侧连续1的个数相同的0、1串转换为XXXYYY, XXXXYYYY的形式
B: 识别是否如0101,01010101的0、1串,即一个0接续一个1,且0的个数和1的个数相同
C: 识别是否如000111,00001111的0、1串,即左侧连续0的个数和右侧连续1的个数相同的0、1串
D: 将形如0101,01010101的0、1串,即一个0接续一个1,且0的个数和1的个数相同, 转换为XYXY, XYXYXYXY的形式
答案: 【 将形如000111,00001111的0、1串,即左侧连续0的个数和右侧连续1的个数相同的0、1串转换为XXXYYY, XXXXYYYY的形式

14、单选题:

‎下图为用状态转换图示意的一个图灵机,其字母集合为{0,1,X,Y,B},其中B为空白字符;状态集合{S1,S2,S3,S4,S5,S6},其中S1为起始状态,S6为终止状态;箭头表示状态转换,其上标注的如<in, out, direction>表示输入是in时,输出out,向direction方向移动一格,同时将状态按箭头方向实现转换,其中in,out均是字母集中的符号,direction可以为R(向右移动)、L(向左移动)、N(停留在原处)。
                                
该图灵机的功能是_____。

‏选项:
A: 识别是否如000111,00001111的0、1串,即左侧连续0的个数和右侧连续1的个数相同的0、1串
B: 识别是否如0101,01010101的0、1串,即一个0接续一个1,且0的个数和1的个数相同
C: 将形如0101,01010101的0、1串,即一个0接续一个1,且0的个数和1的个数相同, 转换为XYXY, XYXYXYXY的形式
D: 将形如000111,00001111的0、1串,即左侧连续0的个数和右侧连续1的个数相同的0、1串转换为XXXYYY, XXXXYYYY的形式
答案: 【 识别是否如000111,00001111的0、1串,即左侧连续0的个数和右侧连续1的个数相同的0、1串

15、单选题:

‎下图是一个存储器的简单模型。为01的存储单元,其内容是_____。
                           

‍选项:
A: 0111
B: 0101
C: 1010
D: 1110
E: 没有该存储单元
答案: 【 0111

16、单选题:

​下图是一个存储器的简单模型。当=10时,的内容是_____。
       

‌选项:
A: 101010
B: 100101
C: 011101
D: 010101
E: 其它选项都不正确
答案: 【 101010

17、单选题:

‏已知一个存储器芯片M的4位二进制地址编码为,其8条数据线为。如果需要构造256个存储单元且每个存储单元的字长为16位的存储器,问下列说法正确的是_____。

‌选项:
A: 总计需要M芯片32个
B: 总计需要M芯片16个
C: 总计需要M芯片8个
D: 总计需要M芯片64个
答案: 【 总计需要M芯片32个

18、单选题:
‎关于“冯.诺依曼计算机”的结构,下列说法正确的是_____。‎
选项:
A: 以“运算器”为中心的冯.诺依曼计算机和以“存储器”为中心的冯.诺依曼计算机是有差别的,前者不能实现并行利用各个部件,受限于运算器;后者可以实现并行利用各个部件
B: 冯.诺依曼计算机仅需要三大部件即可:运算器、控制器和存储器
C: 一般,个人计算机是由中央处理单元(CPU)、存储器、输入设备和输出设备构成,没有运算器和控制器,所以它不是冯.诺依曼计算机
D: 冯.诺依曼计算机提出“运算”和“存储”完全没有必要
答案: 【 以“运算器”为中心的冯.诺依曼计算机和以“存储器”为中心的冯.诺依曼计算机是有差别的,前者不能实现并行利用各个部件,受限于运算器;后者可以实现并行利用各个部件

19、单选题:

‌已知一个存储器芯片M的4位二进制地址编码为,其8条数据线为如果需要构造64个存储单元且每个存储单元的字长为16位的存储器,该存储器的6位二进制地址编码线为16条数据线为,问下列说法正确的是_____

​选项:
A: 总计需要M芯片8分成4每组两个分别连接到8M芯片的上;将用一个2-4译码器进行译码形成4条控制线,每一条控制一组中的两个M芯片;将分别连接到这4个组中的第一个芯片的上,而将分别连接到这4个组中的另一个芯片的
B: 总计需要M芯片8分别连接到8M芯片的上;将用一个2-4译码器进行译码形成4条控制线,每一条控制两个M芯片;将8个芯片任意分成两组,将分别连接到这2个组中的每个芯片的
C: 总计需要M芯片16分成8每组两个分别连接到16M芯片的上;将用一个3-8译码器进行译码形成8条控制线,每一条控制一组中的两个M芯片;将分别连接到这8个组中的第一个芯片的上,而将分别连接到这8个组中的另一个芯片的
D: 总计需要M芯片8分成2每组4分别连接到8M芯片的上;将用一个2-4译码器进行译码形成4条控制线,每2条控制线控制一组M芯片;将分别连接到第一组每个芯片的上,而将分别连接到第2组每个芯片的
答案: 【 总计需要M芯片8分成4每组两个分别连接到8M芯片的上;将用一个2-4译码器进行译码形成4条控制线,每一条控制一组中的两个M芯片;将分别连接到这4个组中的第一个芯片的上,而将分别连接到这4个组中的另一个芯片的

20、单选题:

‎下图是一个存储器的简单模型。下列说法不正确的是_____。
                 

‍选项:
A: 该存储器既可读出,又可写入
B: 该存储器可存取4个4位的存储单元
C: 该存储器其中的一个存储单元的内容是1010
D: 该存储器的地址码分别是00,01,10和11
答案: 【 该存储器既可读出,又可写入

21、单选题:

‏下图是一个存储器的简单模型。当存储单元的内容是100101时,其存储单元的地址编码是_____。
            

​选项:
A: 00
B: 01
C: 10
D: 11
E: 没有该存储单元
答案: 【 00

22、单选题:

‌已知一个存储器芯片M的4位二进制地址编码为,其8条数据线为,下列说法正确的是_____。

‌选项:
A: 该存储器共有即16个存储单元
B: 该存储器共有即256个存储单元
C: 该存储器存储单元的位数,即字长为4位
D: 该存储器的存储容量为字节
答案: 【 该存储器共有即16个存储单元

23、单选题:

​已知某机器的指令集合及指令格式如下表示意。
                            
已经编制好并存储在存储器中的一段程序如下表示意,请阅读这段程序,并回答问题。
                                       
存储器2号存储单元中存放的指令功能是_____。

‎选项:
A: 将运算器中寄存器A的数,加上10号存储单元的数,结果保留在运算器的寄存器A中
B: 将10号存储单元的数,取出送到运算器的寄存器A中
C: 将运算器的寄存器A中的数,保存到10号存储单元中
D: 将运算器中寄存器A的数,乘以10号存储单元的数,结果保留在运算器的寄存器A中
答案: 【 将运算器中寄存器A的数,加上10号存储单元的数,结果保留在运算器的寄存器A中

24、单选题:

​已知某机器的指令集合及指令格式如下表示意。
                           
已经编制好并存储在存储器中的一段程序如下表示意,请阅读这段程序,并回答问题。
                                     
存储器1号存储单元中存放的指令功能是_____。

‌选项:
A: 将运算器中寄存器A的数,乘以9号存储单元的数2,结果保留在运算器的寄存器A中
B: 将运算器中寄存器A的数,加上9号存储单元的数2,结果保留在运算器的寄存器A中
C: 将运算器中寄存器A的数,乘以9号存储单元的数7,结果保留在运算器的寄存器A中
D: 将运算器中寄存器A的数,乘以10号存储单元的数6,结果保留在运算器的寄存器A中
答案: 【 将运算器中寄存器A的数,乘以9号存储单元的数2,结果保留在运算器的寄存器A中

25、单选题:
‏保存下一条将要执行的指令地址的寄存器是_____。‍
选项:
A: PC
B: IR
C:  或
D: 存储器的地址寄存器
答案: 【 PC

26、单选题:
‌保存正在执行指令的寄存器是_____。‌
选项:
A: IR
B:  或
C: PC
D: 存储器的地址寄存器
答案: 【 IR

27、单选题:

‏已知某机器的核心部件及其结构关系如下图示意。请仔细理解该结构图,并回答问题。

当CPU在执行000100 0000001001指令时,PC的值是_____。

‏选项:
A: 00000000 00000010
B: 00000000 00000001
C: 00000000 00000011
D: 00000000 00000100
答案: 【 00000000 00000010

28、单选题:

‏已知某机器的指令集合及指令格式如下表示意。
                          
已经编制好并存储在存储器中的一段程序如下表示意,请阅读这段程序,并回答问题。
                                 
若要使该程序完成任意方程式,则需修正存储的数据,正确的修正是_____

‍选项:
A: 8号存储单元存放数x的二进制数,9号存储单元存放数a的二进制数,10号存储单元存放数b的二进制数,11号存储单元存放数c的二进制数
B:  8号存储单元存放数a的二进制数,9号存储单元存放数x的二进制数,10号存储单元存放数b的二进制数,11号存储单元存放数 c的二进制数
C: 8号存储单元存放数a的二进制数,9号存储单元存放数b的二进制数,10号存储单元存放数c的二进制数,11号存储单元存放数 x的二进制数
D: 8号存储单元存放数c的二进制数,9号存储单元存放数b的二进制数,10号存储单元存放数a的二进制数,11号存储单元存放数 x的二进制数
答案: 【 8号存储单元存放数x的二进制数,9号存储单元存放数a的二进制数,10号存储单元存放数b的二进制数,11号存储单元存放数c的二进制数

29、单选题:

下图是一个存储器的简单模型与或阵列图。

                       

围绕该存储器模型,请写出由产生的逻辑表达式,书写正确的是_____

‌选项:
A:
B:
C:
D:
答案: 【 

30、单选题:

下图为用状态转换图示意的一个图灵机,其字母集合为{VC+=,“空格”,;};状态集合{S1S2S3S4S5S6S7},其中S1为起始状态,S7为终止状态;箭头表示状态转换,其上标注的如<in, out, direction>表示输入是in时,输出out,向direction方向移动一格,同时将状态按箭头方向实现转换,其中in,out均是字母集中的符号,null表示什么也不写,direction可以为R(向右移动)L(向左移动)N(停留在原处)

             

该图灵机的功能是_____

‍选项:
A: 其它三个选项全部能够识别
B: 能够识别“V=C+C;”形式的符号串
C: 能够识别“V=C;”形式的符号串
D: 能够将符号串中的空格去除掉
答案: 【 其它三个选项全部能够识别

31、单选题:

下图为用状态转换图示意的一个图灵机,其字母集合为{VC+=,“空格”,;};状态集合{S1S2S3S4S5S6S7},其中S1为起始状态,S7为终止状态;箭头表示状态转换,其上标注的如<in, out, direction>表示输入是in时,输出out,向direction方向移动一格,同时将状态按箭头方向实现转换,其中in,out均是字母集中的符号,null表示什么也不写,direction可以为R(向右移动)L(向左移动)N(停留在原处)

             

关于该图灵机的功能,说法不正确的是_____

​选项:
A: 其它三个选项有该图灵机不能识别的符号串形式
B: 既能够识别“V=C+C;”形式的符号串,又能识别“V=V+C;”形式的符号串
C: 既能够识别“V=C;”形式的符号串,又能识别“V=V;”形式的符号串
D: 既能够识别“V=V+C;”形式的符号串,又能识别“V=C+V;”形式的符号串
答案: 【 其它三个选项有该图灵机不能识别的符号串形式

第5讲 现代计算机—复杂环境下程序执行

第5讲之模拟练习题

1、单选题:

‏下图给出了操作系统管理磁盘与文件的基本思路图,观察“文件2”在磁盘上的存储,图中的FAT表还没有给出其簇块链的信息。填写FAT表关于文件2的信息,下列说法不正确的是_______        

‍选项:
A: FAT表的第11号表项应该填写12,第12号表项应该填写35
B: FAT表的第35号表项应该填写36,第36号表项应该填写51
C: FAT表的第51号表项应该填写49,第49号表项应该填写End
D: 上述说法有不正确的
答案: 【 FAT表的第51号表项应该填写49,第49号表项应该填写End

2、单选题:

‎下图给出了操作系统管理磁盘与文件的基本思路图,观察“文件3”在磁盘上的存储,图中的FAT表没有给出其全部的簇块链的信息。填写FAT表关于文件3的信息,下列说法正确的是_______       

‌选项:
A: 文件3根本没有涉及到FAT表的第52号表项
B: FAT表的第58号表项应该填写27
C: FAT表的第27号表项应该填写28
D: 文件夹中的第一个磁块信息应该填写14
答案: 【 FAT表的第27号表项应该填写28

3、单选题:
‏关于普通计算机的主机箱中有什么,下列说法正确的是_____。‎
选项:
A: 主机箱中有电源,还有一块电路板–即主板。主板上有一个微处理器(CPU)
B: 主机箱中有电源,主板。主板上有微处理器和内存(条);还有各种磁盘驱动器被连接到主板上进而接受CPU的控制;主板上还有若干个插槽,这些插槽可用于各种外部设备的接口电路板与主板的连接;主板上也有若干已做好的接口,直接用于连接各种外部设备
C: 主机箱中有电源和主板。主板上有微处理器和内存(条)
D: 主机箱中有电源和主板。主板上有微处理器和内存(条);还有各种磁盘驱动器被连接到主板上进而接受CPU的控制
答案: 【 主机箱中有电源,主板。主板上有微处理器和内存(条);还有各种磁盘驱动器被连接到主板上进而接受CPU的控制;主板上还有若干个插槽,这些插槽可用于各种外部设备的接口电路板与主板的连接;主板上也有若干已做好的接口,直接用于连接各种外部设备

4、单选题:
‎操作系统管理内存的基本思路可以用学校教务处管理教学楼和教室来类比,通过类比回答,下列哪些问题不是内存管理的基本问题。_______? ‎
选项:
A: 内存空间问题—即教学楼总数、教室总数、教室的座位数等基本信息以及哪些教室已被分配出去、哪些教室空闲等动态信息等
B: 内存的分配与回收问题—当有任务需要教室时、分配哪个教室、记录教室的使用者,当任务结束时需要回收被分配的教室、更新相关的动态信息等,当没有教室可用且又有紧急任务时,如何通过腾挪手段来调整教室以满足紧急任务的使用
C: 内存与外存的信息交换问题–读写磁盘,即将外存中的信息读出到内存中,或者将内存中的信息更改返存到磁盘中
D: 上述问题都是内存管理的基本问题
答案: 【 内存与外存的信息交换问题–读写磁盘,即将外存中的信息读出到内存中,或者将内存中的信息更改返存到磁盘中

5、单选题:

‌下图为复杂环境中,在操作系统管理下进行程序执行的基本思想示意图。复杂环境中程序的执行,需要解决_______         

​选项:
A: 读写磁盘的问题,因为程序是被永久保存在外存上;程序装载问题,因为外存上的程序只有被装载入内存才能被CPU执行
B: 内存空间分配问题,外存上的程序被装载入内存就需要内存空间,其程序大小、运行数据的多少都需要内存空间予以保存
C: 控制CPU执行哪一个程序的问题,内存中可能装载了多个程序,当CPU执行一个程序时,就需要保留其它程序的状态;所谓CPU执行一个程序,简单来讲,就是将当前要执行程序的存储单元地址送给CPU的程序计数器PC
D: 以上所有问题,并且注意其使用的次序
答案: 【 以上所有问题,并且注意其使用的次序

6、单选题:

‍下图为复杂环境中,在操作系统管理下进行程序执行的基本思想示意图。请关注图中第„④号线。箭头线④„的含义指将应用程序由外存中装载到内存中,这项工作被称为“程序装载作业”;关于“程序装载作业”,下列说法正确的是_______。
         

‎选项:
A: 程序装载作业是由“磁盘管理程序(暨<程序装载>程序)”完成的
B: 程序装载作业是由“内存管理程序”完成的
C: 程序装载作业是由“作业和进程管理程序”,调用“磁盘管理程序暨<程序装载>程序”完成的
D: 程序装载作业是由“作业和进程管理程序”,调用“内存管理程序”完成的
答案: 【 程序装载作业是由“作业和进程管理程序”,调用“磁盘管理程序暨<程序装载>程序”完成的

7、单选题:

‎下图为复杂环境中,在操作系统管理下进行程序执行的基本思想示意图。图中示意的是一个CPU面对多个进程的情况。现在很多的微处理器都可能是多核微处理器,即有多个CPU。关于多CPU问题,下列说法正确的是_______

‎         

‎选项:
A: 多个CPU执行一个进程,在任何情况下都比一个CPU执行该进程要快
B: 多个CPU可以执行多个进程, 多个进程可以被分配到不同的CPU上同时执行
C: 多个CPU是没有必要的,因为没有多进程并行执行的需求
D: 多CPU执行程序的效率是否能够提高,取决于操作系统是否能够自动地将一项复杂工作拆分成可以由多个CPU并行完成的工作,现在的操作系统还解决不了
答案: 【 多个CPU可以执行多个进程, 多个进程可以被分配到不同的CPU上同时执行

8、单选题:
‎你理解什么是云吗? 下列说法不正确的是_______。​
选项:
A: 软件商可以通过“云”来向用户分发和部署“软件”产品
B: 软件商可以将“软件”放在“云”上,以便向使用该软件的客户按使用时间或使用次数等收取费用
C: 软件商通过让用户使用“云”中的软件,可以收集客户相关的信息,进而积累起庞大的客户信息资源
D: 虽然软件商通过“云”可以收集客户相关的信息,但这些信息是没有什么价值的
答案: 【 虽然软件商通过“云”可以收集客户相关的信息,但这些信息是没有什么价值的

9、单选题:
‏你理解什么是云吗? 下列说法不正确的是_______。​
选项:
A: 普通人可以将自己的数据,如照片、视频等放入“云”中,进而可实现任何时间任何地点、任何人对该数据的访问
B: 普通人将自己的数据放在“云”中,更多的是他们相信云是安全的、可靠的,而云也确实是安全的、可靠的
C: 普通人利用“云”,也可以建立庞大的数据库,尽管庞大数据库可能需要远远超过个人计算机的存储容量
D: 上述有不正确的
答案: 【 普通人将自己的数据放在“云”中,更多的是他们相信云是安全的、可靠的,而云也确实是安全的、可靠的

10、单选题:

‎下图为复杂环境中,在操作系统管理下进行程序执行的基本思想示意图。关于“操作系统”和“应用程序”,下列说法不正确的是_______         

‎选项:
A: 操作系统是管理外存的使用、内存的使用、CPU的使用和各类“进程”的一组程序,应用程序是待被CPU执行以求解具体问题的一组程序
B: 应用程序被分解为一组“进程”,在操作系统的管理下被CPU执行;操作系统由一组起管理作用的“进程”构成
C: 操作系统自身的进程,不由操作系统调度和执行;操作系统仅管理各个应用程序的进程
D: CPU执行的程序,可能是操作系统的“进程”,也可能是应用程序的“进程”;它一会执行应用程序的进程,一会又执行操作系统的进程,其控制权在“操作系统”和“应用程序”之间进行交换
答案: 【 操作系统自身的进程,不由操作系统调度和执行;操作系统仅管理各个应用程序的进程

11、单选题:

​下图为复杂环境中,在操作系统管理下进行程序执行的基本思想示意图。请关注图中第⑥⑦⑧†‡ˆ号线。箭头线⑥†的含义指为管理CPU的使用,需要对每个进程的基本信息进行管理;箭头线‡⑦的含义指若要使CPU从一个进程的执行切换到另一个进程的执行,需要保留当前正在执行的进程的相关状态信息,并将下一个要执行进程的指令代码的存储单元地址送给CPU的程序计数器PC;箭头线ˆ⑧的含义指“进程”被CPU执行。下列说法不正确的是_______         

‎选项:
A: 箭头线⑥†区分的是“进程-程序代码”,与关于“进程-程序代码”相关的信息,后者由CPU管理者进行管理,并据此调度CPU执行某一个进程;箭头线‡⑦区分的是CPU,与“CPU执行进程的相关信息”,后者由CPU管理者进行管理,并据此信息实现CPU在多个进程之间的交替执行
B: 箭头线⑧ˆ区分的是内存中的进程,与CPU的控制器和运算器,当CPU的程序计数器PC被赋予了某一个进程的指令存储单元的地址后,CPU(控制器)便可一条指令接一条指令的读取该进程的程序代码并执行之
C: 这几条线简要示意了CPU管理者、内存中待执行程序(即进程)和CPU三者之间的关系。箭头线ˆ⑧指的是内存中的程序被CPU执行;增加了箭头线†⑥和箭头线‡⑦后,则指内存中程序是在操作系统的监督、管理下,由CPU执行,体现了“管理”的含义
D: 上述说法有不正确的
答案: 【 上述说法有不正确的

12、单选题:

‌下图为复杂环境中,在操作系统管理下进行程序执行的基本思想示意图。请关注图中的“合作:操作系统对任务、作业和进程的管理与控制”部分,执行该“合作”工作的也是一个进程,关于该进程,下列说法不正确的是_______         

‎选项:
A: 执行“合作”工作的进程,其主要功能就是对操作系统各部件管理进程的一种组合
B: 执行“合作”工作的进程,其主要功能就是将一个“程序执行”任务,分解为一系列有序的作业,然后调度操作系统各部件管理进程按照次序完成一个个作业,进而完成“程序执行”任务
C: 执行“合作”工作的进程,是应用程序进程的一个重要组成部分
D: 执行“合作”工作的进程,是操作系统中最重要的一个进程
答案: 【 执行“合作”工作的进程,是应用程序进程的一个重要组成部分

13、单选题:

‍下图为复杂环境中,在操作系统管理下进行程序执行的基本思想示意图。图中示意的是一个CPU面对多个进程的情况,关于这个问题,下列说法不正确的是_______

‍         

‍选项:
A: 一个CPU只能执行一个进程。执行另一个进程时需将前一个进程从内存中清除以腾出空间给后一个进程使用
B: 一个CPU可以采取分时处理的办法,执行多个进程,而使每个进程都感觉其独占CPU
C: 一个CPU执行多个进程时,必须要解决进程切换前后的状态保护问题,即一个进程在此前被中断执行,而当其恢复时应做到在哪里中断则在哪里恢复
D: 进程被CPU中断运行时,该进程可能仍旧在内存中保留,只是其状态被改变为“就绪”或者“等待”
答案: 【 一个CPU只能执行一个进程。执行另一个进程时需将前一个进程从内存中清除以腾出空间给后一个进程使用

14、单选题:
‌在使用计算机时,若直接通过断电的方式来关闭机器,会存在什么问题,下列说法不正确的是_______。‏
选项:
A: 因瞬时电路冲击,将造成计算机硬件,如主板等的损坏
B: 将造成当前工作中尚未保存内容的丢失
C: 将造成机器处于不正常状态,但仍旧可重新启动
D: 将造成一些外部设备的访问错误,甚至不能够再访问被影响的设备
答案: 【 因瞬时电路冲击,将造成计算机硬件,如主板等的损坏

15、单选题:
‌关于计算机系统的工作过程,下列说法不正确的是_______。‌
选项:
A: 计算机中有一个ROM,其中保存着一些程序,被称为BIOS,当机器接通电源后首先读取这些程序并予以执行
B: 计算机接通电源后执行的第一个程序就是内存中的操作系统程序
C: 计算机接通电源后执行的第一个程序是ROM中的程序,该程序的主要作用是将操作系统从磁盘上装载入操作系统
D: 没有操作系统,计算机也可以执行程序,但一般用户却没有办法使用
答案: 【 计算机接通电源后执行的第一个程序就是内存中的操作系统程序

16、单选题:

‌下图给出了操作系统管理磁盘与文件的基本思路图。文件分配表与所能够管理的磁盘空间大小是有关系的。例如磁盘的一簇被定义为4KB(8个扇区),则文件分配表的大小,即表项的多少,为所能管理的簇的数目的多少。如果一个文件分配表的表项数为,问其能管理的磁盘空间为_______

‌       

‏选项:
A: KB
B: KB
C: KB
D: KB
答案: 【 KB

17、单选题:

下图给出了操作系统管理磁盘与文件的基本思路图。文件分配表与所能够管理的磁盘空间大小是有关系的。如果磁盘的一簇被定义为1KB(2个扇区),文件分配表的表项数为则其能管理的磁盘空间大小为KB。现在磁盘空间已经为KB,问该如何进行管理呢_______

       

‌选项:
A: 将原来一簇为1KB,重新定义为一簇为4KB
B: 将原来一簇为1KB,重新定义为一簇为8KB
C: 将原来一簇为1KB,重新定义为一簇为16KB
D: 不能管理这么大的磁盘空间
答案: 【 将原来一簇为1KB,重新定义为一簇为16KB

18、单选题:

‎下图为复杂环境中,在操作系统管理下进行程序执行的基本思想示意图。这里的“复杂环境”是相对于“内存中单一程序由CPU执行的简单环境”。那么关于环境“复杂性的体现”,下列说法正确的是_______         

‏选项:
A: 复杂性体现在:由单一的内存,扩展为内存与外存(磁盘)相结合的存储体系。程序是永久存储在外存上,在运行时才被装载入内存;程序也只有被装入内存,才能被CPU执行
B: 复杂性体现在:内存中不仅可装载一个程序,而且同时可装载多个程序。一个程序也可被多次装载入内存,形成一个个副本等待CPU执行
C: 复杂性体现在:当内存中多个程序时,多个程序如何被一个CPU来有序地执行,另一方面CPU究竟要执行哪一个程序,需要调度与协调
D: 以上都是复杂性的体现,然而复杂性不限于以上这些
答案: 【 以上都是复杂性的体现,然而复杂性不限于以上这些

19、单选题:

‏下图为复杂环境中,在操作系统管理下进行程序执行的基本思想示意图。关于“程序”与“进程”,下列说法不正确的是_______

‏              

‏选项:
A: 不管是“程序”,还是“进程”,都是指可以被执行的程序代码;“进程”除了包括可由CPU执行的程序代码外,还包括有关该进程相关状态的描述信息,这些信息由操作系统使用,对“进程”实施管理
B: “程序”是指外存上的程序文件,而“进程”是指装载入内存中的程序代码
C: 一个程序文件,可以产生多个“进程”
D: 上述说法有不正确的
答案: 【 上述说法有不正确的

20、单选题:
‍操作系统有启动阶段、工作阶段和关闭阶段。问下列工作,哪些不是关闭阶段的工作?‎
选项:
A: 保存用户设置
B: 加载服务程序
C: 关闭相关设备
D: 将内存内容写回外存中
答案: 【 加载服务程序

21、单选题:
‏关于装载进内存的程序,下列说法正确的是_______。​
选项:
A: 正确的装载次序:操作系统 à ROM-BIOS à 应用程序
B: 正确的装载次序:ROM-BIOS à 应用程序 à操作系统 à 应用程序
C: 正确的装载次序:ROM-BIOS à 操作系统 à 应用程序
D: 正确的装载次序:应用程序 à 操作系统 à 应用程序
答案: 【 正确的装载次序:ROM-BIOS à 操作系统 à 应用程序

22、单选题:

​下图为复杂环境中,在操作系统管理下进行程序执行的基本思想示意图。关于“任务”、“作业”与“进程”,下列说法不正确的是_______         

​选项:
A: 任务和作业都是指需要计算机完成的一项项工作。它们之间的区分仅是从管理者的角度,将一项大粒度的工作,例如一个应用程序的完整执行,称为“任务”;而将一项小粒度的工作,例如一个“进程”可以完成的工作,称为“作业”。“进程”是指CPU完成相关工作的程序代码
B: 从本质上讲,“任务”、“作业”都是指工作,而“进程”则是指完成工作的程序代码
C: 一个任务可以分解成若干个作业。一项作业即可能是指如程序装载等为程序运行做准备的工作,也可能是指程序本身的运行。前者是由操作系统的进程来完成的,后者由应用程序自身的进程来完成
D: 上述说法有不正确的
答案: 【 上述说法有不正确的

23、单选题:
‍操作系统有启动阶段、工作阶段和关闭阶段。问下列工作,哪些不是启动阶段的工作?‍
选项:
A: 加载设备驱动程序
B: 初始化系统环境
C: 将内存内容写回外存中
D: 加载操作系统核心模块
答案: 【 将内存内容写回外存中

24、单选题:
‌现代计算环境是多样化的。关于现代计算环境,下列说法不正确的是_______。‎
选项:
A: 冯.诺依曼计算机解决了内存中程序的执行机制问题;个人计算环境解决了在操作系统协助下,外存中程序如何被CPU执行的机制问题
B: 云计算环境解决了计算机的动态构成问题,即按照用户需要的CPU数目、内存容量、外存容量及带宽,用软件模拟出满足该性能的计算机,为用户提供服务
C: 并行/分布计算环境更加体现出操作系统的价值是:如何在多CPU环境、多计算机环境下,资源的高效利用问题,其根本是如何将一个程序分解成多个CPU或多台计算机可以执行的程序,以及多个程序如何并行/分布地执行问题
D: 上述有不正确的
答案: 【 上述有不正确的

25、单选题:
‎你理解什么是云吗? 下列说法不正确的是_______。‏
选项:
A: 云体现的是一种计算资源的“不求所有但求所用”的服务的思想
B: 云体现的是用软件来定义和动态构造不同性能的计算机的思想
C: 理论上讲,有了云,我们可定制任意数目CPU、任意容量内存和外存的计算机
D: 云虽可定制任意数目CPU、任意容量内存和外存构成的计算机,但这样的计算机也是没有什么实用价值的
答案: 【 云虽可定制任意数目CPU、任意容量内存和外存构成的计算机,但这样的计算机也是没有什么实用价值的

26、单选题:
‌关于现代计算机系统,下列说法正确的是_____。​
选项:
A: 计算机就是一个主机箱、一个显示器、一个键盘和一个鼠标
B: 计算机不仅仅是主机箱、显示器、键盘和鼠标,还包括扫描仪、打印机、各种数码设备
C: 计算机不仅仅是如(B)一样的硬件设备,其最重要的部分是软件,安装在该计算机的各种各样的软件才能体现出该计算机功能的强弱
D: 人们认为,计算机不仅仅包括硬件和软件,还包括网络和数据,很多的软件都可通过网络来使用,人们的注意力已经从关注软硬件转移为关注各种各样的数据
答案: 【 人们认为,计算机不仅仅包括硬件和软件,还包括网络和数据,很多的软件都可通过网络来使用,人们的注意力已经从关注软硬件转移为关注各种各样的数据

27、单选题:
‏关于“计算机软件”,下列说法正确的是_____。‎
选项:
A: 计算机软件就是操作系统
B: 计算机软件包括操作系统、计算机语言处理系统、辅助性工具软件以及各种应用软件
C: Linux是典型的应用软件
D: 计算机软件包括操作系统、防病毒软件和各种应用软件
答案: 【 计算机软件包括操作系统、计算机语言处理系统、辅助性工具软件以及各种应用软件

28、单选题:
‍关于“存储体系”,下列说法正确并完整的是_____。​
选项:
A: 存储体系是由内存储器、外存储器等若干性能不同、价格不同的存储器构成的系统
B: 存储体系是将性能不同的存储器整合成为一个整体的存储器并实现自动管理,使外界看起来容量像外存的容量-更大、速度像内存的速度-更快、而且价格更合理
C: 存储体系采取了以批量换速度、以空间换时间的策略,对价格较低且存取时间慢的存储器,采取一次读取一个存储块的方式,而对存取时间快且价格较高的存储器,采取一次读取一个存储单元的方式
D: 上述说法全都正确
答案: 【 上述说法全都正确

29、单选题:
‍关于“磁盘”,下列说法不正确的是_____。‍
选项:
A: 磁盘是一种可永久保存信息的存储设备
B: 磁盘的存储地址由“盘号:柱面(磁道):扇区”三部分组成
C: 磁盘的读写包括寻道(将读写磁头定位在所要读写的磁道上)、旋转(将磁盘旋转到所要读写扇区的位置)和传输(传输并读写信息)三个基本动作
D: CPU可以一个存储字一个存储字地读写磁盘
答案: 【 CPU可以一个存储字一个存储字地读写磁盘

30、单选题:
‍关于“内存”,下列说法不正确的是_____。‌
选项:
A: 内存是一种可临时保存信息的存储设备
B: CPU可以一个存储字一个存储字地按地址读写内存
C: 当机器断电时,内存信息会短暂保留
D: 内存容量越大,计算机运行速度越快
答案: 【 当机器断电时,内存信息会短暂保留

31、单选题:
‎关于“操作系统”,下列说法不正确的是_____。‎
选项:
A: 操作系统是计算机系统中环境与资源的管理者
B: 操作系统是用户与计算机硬件之间的接口,它是扩展了硬件功能的一种虚拟机器
C: 操作系统仅仅是管理CPU执行任何应用程序的一组程序
D: 操作系统是一组“管理各种资源以便执行应用程序”的程序
答案: 【 操作系统仅仅是管理CPU执行任何应用程序的一组程序

32、单选题:
‎关于操作系统体现了“分工-合作-协同”的基本思想,下面说法不正确的是_____。​
选项:
A: 分工是指独立管理复杂环境中的每个部件,即操作系统具有CPU管理、内存管理、外存管理、设备管理等部件管理程序;合作是指这些分工管理程序之间需要合作以共同完成“执行存放在外存上的应用程序”这样一个任务,协同是指各部件管理程序之间的合作是自动的优化进行的
B: “分工-合作-协同”是先独立管理好每个部件(部分),然后再考虑如何合作与协同求解一个复杂任务的一种思维模式
C: “分工-合作-协同”体现了一种观察复杂问题的一种视角,可以使复杂的系统变得简单,是解决复杂系统问题的一种重要的思维模式
D: 上述说法有不正确的
答案: 【 上述说法有不正确的

33、单选题:
‏操作系统管理信息的基本单位是_____。‍
选项:
A: 文件
B: 扇区
C: 簇块
D: 目录或文件夹
答案: 【 文件

34、单选题:
磁盘上有一些重要的区域,那里存放着操作系统管理磁盘所要使用的重要信息。这些区域是_____。​‌​
选项:
A: 文件夹或目录
B: 文件分配表
C: 引导扇区(含逻辑分区)或称保留扇区
D: 上述全部
答案: 【 上述全部

35、单选题:
​关于磁盘与文件管理,下列说法不正确的是_____。​
选项:
A: 磁盘被划分成一个个簇块(一个簇块即是若干个连续的扇区),并建立一个FAT表,对每一个簇块,FAT表中都有对应该簇块的一个表项
B: 如果FAT表的第i个表项对应的值为j,则说明该文件的第i个簇块后面应是第j个簇块,应将两个簇块的内容按顺序连接在一起
C: 一个文件是由连续的簇块组成的,在存储到磁盘时被分散的存储到未被占用的簇块中,因此依靠FAT表中的信息记录磁盘上文件的簇块的先后次序;文件在磁盘上存储的第一个簇块的编号是与文件名一起,存储在文件夹或目录中的
D: 上述说法有不正确的
答案: 【 上述说法有不正确的

36、单选题:
‍文件分配表中记录的是文件在磁盘上存储的簇块链—一个簇块可以是一个扇区或是若干连续的扇区,如果文件分配表被破坏了会带来什么影响?‏
选项:
A: 完整的文件将被破坏(丢失一些簇块)
B: 文件中将会出现乱码(出现不是本文件的簇块信息)
C: 该簇块可能永久被占用,既读写不了,又得不到清除
D: 上述全部
答案: 【 上述全部

37、单选题:

​下图给出了操作系统管理磁盘与文件的基本思路图,关于“文件1”的下列说法不正确的是_______?
       

​选项:
A: 该文件第1个簇块是第17号簇块—此信息和文件名一起存放在文件夹中
B: 该文件的第3个簇块是第24号簇块—此信息存放在FAT表的第32号表项中
C: 该文件在磁盘上的簇块存储次序是17è26è24è32è44è55è47—此簇块链接信息可依据文件夹和FAT表来获取
D: 文件分配表某一表项的值是指对应该表项簇块的下一簇块的编号
答案: 【 该文件的第3个簇块是第24号簇块—此信息存放在FAT表的第32号表项中

第5讲测验

1、单选题:
‏关于现代计算机系统,下列说法正确的是_____。​
选项:
A: 人们认为,计算机不仅仅包括硬件和软件,还包括网络和数据,很多的软件都可通过网络来使用,人们的注意力已经从关注软硬件转移为关注各种各样的数据
B: 计算机就是一个主机箱、一个显示器、一个键盘和一个鼠标
C: 计算机不仅仅是主机箱、显示器、键盘和鼠标,还包括扫描仪、打印机、各种数码设备
D: 计算机不仅仅是硬件设备,其最重要的部分是软件,安装在该计算机的各种各样的软件才能体现出该计算机功能的强弱
E: 其它三个选项都不正确
答案: 【 人们认为,计算机不仅仅包括硬件和软件,还包括网络和数据,很多的软件都可通过网络来使用,人们的注意力已经从关注软硬件转移为关注各种各样的数据

2、单选题:
​关于“计算机软件”,下列说法正确的是_____。‍
选项:
A: 计算机软件包括操作系统、计算机语言处理系统、辅助性工具软件以及各种应用软件
B: 计算机软件就是操作系统
C: Linux是典型的应用软件
D: 计算机软件包括操作系统、防病毒软件和各种应用软件
答案: 【 计算机软件包括操作系统、计算机语言处理系统、辅助性工具软件以及各种应用软件

3、单选题:
‏关于“存储体系”,下列说法正确并完整的是_____。​
选项:
A: 其它三个选项的说法全都正确
B: 存储体系是由内存储器、外存储器等若干性能不同、价格不同的存储器构成的系统
C: 存储体系是将性能不同的存储器整合成为一个整体的存储器并实现自动管理,使外界看起来容量像外存的容量-更大、速度像内存的速度-更快、而且价格更合理
D: 存储体系采取了以批量换速度、以空间换时间的策略,对价格较低且存取时间慢的存储器,采取一次读取一个存储块的方式,而对存取时间快且价格较高的存储器,采取一次读取一个存储单元的方式
E: 存储体系使得永久存储器(外存)中的内容不能被CPU直接处理,而需首先装入临时性存储器(内存)中,才能被CPU一次一个单元地进行处理
答案: 【 其它三个选项的说法全都正确

4、单选题:
‏关于“磁盘”,下列说法不正确的是_____。​
选项:
A: CPU可以一个存储字一个存储字地读写磁盘
B: 磁盘是一种可永久保存信息的存储设备
C: 磁盘的存储地址由“盘号:柱面(磁道):扇区”三部分组成
D: 磁盘的读写包括寻道(将读写磁头定位在所要读写的磁道上)、旋转(将磁盘旋转到所要读写扇区的位置)和传输(传输并读写信息)三个基本动作
E: 其它三个选项的说法有不正确的
答案: 【 CPU可以一个存储字一个存储字地读写磁盘

5、单选题:
​关于“内存”,下列说法不正确的是_____。​
选项:
A: 当机器断电时,内存信息会短暂保留
B: 内存是一种可临时保存信息的存储设备
C: CPU可以一个存储字一个存储字地按地址读写内存
D: 内存容量越大,计算机运行速度越快
E: 其它选项的说法有不正确的
答案: 【 当机器断电时,内存信息会短暂保留

6、单选题:
‌关于“操作系统”,下列说法不正确的是_____。‎
选项:
A: 操作系统仅仅是管理CPU执行任何应用程序的一组程序
B: 操作系统是计算机系统中环境与资源的管理者
C: 操作系统是用户与计算机硬件之间的接口,它是扩展了硬件功能的一种虚拟机器
D: 操作系统是一组“管理各种资源以便执行应用程序”的程序
答案: 【 操作系统仅仅是管理CPU执行任何应用程序的一组程序

7、单选题:
‎关于操作系统体现了“分工-合作-协同”的基本思想,下面说法不正确的是_____。​
选项:
A: 其它三个选项的说法有不正确的
B: 分工是指独立管理复杂环境中的每个部件,即操作系统具有CPU管理、内存管理、外存管理、设备管理等部件管理程序
C: 合作是指这些分工管理程序之间需要合作以共同完成“执行存放在外存上的应用程序”这样一个任务,协同是指各部件管理程序之间的合作是自动的优化进行的
D: “分工-合作-协同”体现了一种观察复杂问题的一种视角,可以使复杂的系统变得简单,是解决复杂系统问题的一种重要的思维模式
E: “分工-合作-协同”是先独立管理好每个部件(部分),然后再考虑如何合作与协同求解一个复杂任务的一种思维模式
答案: 【 其它三个选项的说法有不正确的

8、单选题:
‍磁盘上有一些重要的区域,那里存放着操作系统管理磁盘所要使用的重要信息。这些区域是_____。‌
选项:
A: 其它三个选项全部包括
B: 文件夹或目录
C: 文件分配表
D: 引导扇区(含逻辑分区)或称保留扇区
答案: 【 其它三个选项全部包括

9、单选题:
​操作系统管理信息的基本单位是_____。‏
选项:
A: 文件
B: 扇区
C: 簇块
D: 目录或文件夹
答案: 【 文件

10、单选题:
‏文件分配表中记录的是文件在磁盘上存储的簇块链—一个簇块可以是一个扇区或是若干连续的扇区,如果文件分配表被破坏了会带来什么影响?‎
选项:
A: 其它三个选项全部正确
B: 完整的文件将被破坏(丢失一些簇块)
C: 文件中将会出现乱码(出现不是本文件的簇块信息)
D: 该簇块可能永久被占用,既读写不了,又得不到清除
答案: 【 其它三个选项全部正确

11、单选题:

‏下图给出了操作系统管理磁盘与文件的基本思路图,关于“文件1”的下列说法不正确的是_______?
       

‏选项:
A: 该文件的第3个簇块是第24号簇块—此信息存放在FAT表的第32号表项中
B: 该文件第1个簇块是第17号簇块—此信息和文件名一起存放在文件夹中
C: 该文件在磁盘上的簇块存储次序是17→26→24→32→44→55→47—此簇块链接信息可依据文件夹和FAT表来获取
D: 文件分配表某一表项的值是指对应该表项簇块的下一簇块的编号
答案: 【 该文件的第3个簇块是第24号簇块—此信息存放在FAT表的第32号表项中

12、单选题:
‌操作系统管理内存的基本思路可以用学校教务处管理教学楼和教室来类比,通过类比回答,下列哪些问题不是内存管理的基本问题?‌
选项:
A: 内存与外存的信息交换问题–读写磁盘,即将外存中的信息读出到内存中,或者将内存中的信息更改返存到磁盘中
B: 内存空间问题—即教学楼总数、教室总数、教室的座位数等基本信息以及哪些教室已被分配出去、哪些教室空闲等动态信息等
C: 内存的分配与回收问题—当有任务需要教室时、分配哪个教室、记录教室的使用者,当任务结束时需要回收被分配的教室、更新相关的动态信息等,当没有教室可用且又有紧急任务时,如何通过腾挪手段来调整教室以满足紧急任务的使用
D: 上述问题都是内存管理的基本问题
答案: 【 内存与外存的信息交换问题–读写磁盘,即将外存中的信息读出到内存中,或者将内存中的信息更改返存到磁盘中

13、单选题:

‏下图为复杂环境中,在操作系统管理下进行程序执行的基本思想示意图。请关注图中第„④号线。箭头线„④的含义指将应用程序由外存中装载到内存中,这项工作被称为“程序装载作业”;关于“程序装载作业”,下列说法正确的是_______。
         

​选项:
A: 程序装载作业是由“作业和进程管理程序”,调用“磁盘管理程序暨<程序装载>程序”完成的
B: 程序装载作业是由“磁盘管理程序(暨<程序装载>程序)”完成的
C: 程序装载作业是由“内存管理程序”完成的
D: 程序装载作业是由“作业和进程管理程序”,调用“内存管理程序”完成的
答案: 【 程序装载作业是由“作业和进程管理程序”,调用“磁盘管理程序暨<程序装载>程序”完成的

14、单选题:

‎下图为复杂环境中,在操作系统管理下进行程序执行的基本思想示意图。请关注图中的“合作:操作系统对任务、作业和进程的管理与控制”部分,执行该“合作”工作的也是一个进程,关于该进程,下列说法不正确的是_______。
      

‍选项:
A: 执行“合作”工作的进程,是应用程序进程的一个重要组成部分
B: 执行“合作”工作的进程,其主要功能就是对操作系统各部件管理进程的一种组合
C: 执行“合作”工作的进程,其主要功能就是将一个“程序执行”任务,分解为一系列有序的作业,然后调度操作系统各部件管理进程按照次序完成一个个作业,进而完成“程序执行”任务
D: 执行“合作”工作的进程,是操作系统中最重要的一个进程
答案: 【 执行“合作”工作的进程,是应用程序进程的一个重要组成部分

15、单选题:

‏下图为复杂环境中,在操作系统管理下进行程序执行的基本思想示意图。图中示意的是一个CPU面对多个进程的情况,关于这个问题,下列说法不正确的是_______。
       

‎选项:
A: 一个CPU只能执行一个进程。执行另一个进程时需将前一个进程从内存中清除以腾出空间给后一个进程使用
B: 一个CPU可以采取分时处理的办法,执行多个进程,而使每个进程都感觉其独占CPU
C: 一个CPU执行多个进程时,必须要解决进程切换前后的状态保护问题,即一个进程在此前被中断执行,而当其恢复时应做到在哪里中断则在哪里恢复
D: 进程被CPU中断运行时,该进程可能仍旧在内存中保留,只是其状态被改变为“就绪”或者“等待”
E: 其它选项的说法有不正确的
答案: 【 一个CPU只能执行一个进程。执行另一个进程时需将前一个进程从内存中清除以腾出空间给后一个进程使用

16、单选题:

‍下图为复杂环境中,在操作系统管理下进行程序执行的基本思想示意图。图中示意的是一个CPU面对多个进程的情况。现在很多的微处理器都可能是多核微处理器,即有多个CPU。关于多CPU问题,下列说法正确的是_______。
       

‎选项:
A: 多个CPU可以执行多个进程, 多个进程可以被分配到不同的CPU上同时执行
B: 多个CPU执行一个进程,在任何情况下都比一个CPU执行该进程要快
C: 多个CPU是没有必要的,因为没有多进程并行执行的需求
D: 多CPU执行程序的效率是否能够提高,取决于操作系统是否能够自动地将一项复杂工作拆分成可以由多个CPU并行完成的工作,现在的操作系统还解决不了
E: 其它选项的说法全都不正确
答案: 【 多个CPU可以执行多个进程, 多个进程可以被分配到不同的CPU上同时执行

17、单选题:
‍操作系统有启动阶段、工作阶段和关闭阶段。问下列工作,哪些不是启动阶段的工作?‍
选项:
A: 将内存内容写回外存中
B: 加载设备驱动程序
C: 初始化系统环境
D: 加载操作系统核心模块
E: 其它选项没有不是启动阶段工作的选项
答案: 【 将内存内容写回外存中

18、单选题:
‍操作系统有启动阶段、工作阶段和关闭阶段。问下列工作,哪些不是关闭阶段的工作?‌
选项:
A: 加载服务程序
B: 保存用户设置
C: 关闭相关设备
D: 将内存内容写回外存中
E: 其它选项没有不是关闭阶段工作的选项
答案: 【 加载服务程序

19、单选题:
‎关于计算机系统的工作过程,下列说法不正确的是_______。‎
选项:
A: 计算机接通电源后执行的第一个程序就是内存中的操作系统程序
B: 计算机中有一个ROM,其中保存着一些程序,被称为BIOS,当机器接通电源后首先读取这些程序并予以执行
C: 计算机接通电源后执行的第一个程序是ROM中的程序,该程序的主要作用是将操作系统从磁盘上装载入操作系统
D: 没有操作系统,计算机也可以执行程序,但一般用户却没有办法使用
答案: 【 计算机接通电源后执行的第一个程序就是内存中的操作系统程序

20、单选题:
‌关于装载进内存的程序,下列说法正确的是_______。‍
选项:
A: 正确的装载次序:ROM-BIOS → 操作系统 → 应用程序
B: 正确的装载次序:操作系统 → ROM-BIOS → 应用程序
C: 正确的装载次序:ROM-BIOS → 应用程序 →操作系统 → 应用程序
D: 正确的装载次序:应用程序 → 操作系统 → 应用程序
E: 其它选项的说法都不正确
答案: 【 正确的装载次序:ROM-BIOS → 操作系统 → 应用程序

21、单选题:
‍你理解什么是云吗? 下列说法不正确的是_______。‍
选项:
A: 虽然软件商通过“云”可以收集客户相关的信息,但这些信息是没有什么价值的
B: 软件商可以通过“云”来向用户分发和部署“软件”产品
C: 软件商可以将“软件”放在“云”上,以便向使用该软件的客户按使用时间或使用次数等收取费用
D: 软件商通过让用户使用“云”中的软件,可以收集客户相关的信息,进而积累起庞大的客户信息资源
E: 其它选项的说法有不正确的
答案: 【 虽然软件商通过“云”可以收集客户相关的信息,但这些信息是没有什么价值的

22、单选题:
‍你理解什么是云吗? 下列说法不正确的是_______。‏
选项:
A: 普通人将自己的数据放在“云”中,更多的是他们相信云是安全的、可靠的,而云也确实是安全的、可靠的
B: 普通人可以将自己的数据,如照片、视频等放入“云”中,进而可实现任何时间任何地点、任何人对该数据的访问
C: 普通人利用“云”,也可以建立庞大的数据库,尽管庞大数据库可能需要远远超过个人计算机的存储容量
D: 其它三个选项的说法有不正确的
答案: 【 普通人将自己的数据放在“云”中,更多的是他们相信云是安全的、可靠的,而云也确实是安全的、可靠的

23、单选题:

下图给出了操作系统管理磁盘与文件的基本思路图。文件分配表与所能够管理的磁盘空间大小是有关系的。例如磁盘的一簇被定义为4KB(8个扇区),则文件分配表的大小,即表项的多少,为所能管理的簇的数目的多少。如果一个文件分配表的表项数为,问其能管理的磁盘空间为_______

       

‌选项:
A: KB
B: KB
C: KB
D: KB
答案: 【 KB

24、单选题:

‌下图为复杂环境中,在操作系统管理下进行程序执行的基本思想示意图。关于“操作系统”和“应用程序”,下列说法不正确的是_______         

​选项:
A: 操作系统自身的进程,不由操作系统调度和执行;操作系统仅管理各个应用程序的进程
B: 操作系统是管理外存的使用、内存的使用、CPU的使用和各类“进程”的一组程序,应用程序是待被CPU执行以求解具体问题的一组程序
C: 应用程序被分解为一组“进程”,在操作系统的管理下被CPU执行;操作系统由一组起管理作用的“进程”构成
D: 其它选项的说法有不正确的
E: CPU执行的程序,可能是操作系统的“进程”,也可能是应用程序的“进程”;它一会执行应用程序的进程,一会又执行操作系统的进程,其控制权在“操作系统”和“应用程序”之间进行交换
答案: 【 操作系统自身的进程,不由操作系统调度和执行;操作系统仅管理各个应用程序的进程

25、单选题:

​下图为复杂环境中,在操作系统管理下进行程序执行的基本思想示意图。请关注图中第⑥⑦⑧†‡ˆ号线。箭头线⑥†的含义指为管理CPU的使用,需要对每个进程的基本信息进行管理;箭头线‡⑦的含义指若要使CPU从一个进程的执行切换到另一个进程的执行,需要保留当前正在执行的进程的相关状态信息,并将下一个要执行进程的指令代码的存储单元地址送给CPU的程序计数器PC;箭头线ˆ⑧的含义指“进程”被CPU执行。下列说法不正确的是_______ 

​              

‍选项:
A: 其它选项的说法有不正确的
B: 箭头线⑥†区分的是“进程-程序代码”,与关于“进程-程序代码”相关的信息,后者由CPU管理者进行管理,并据此调度CPU执行某一个进程
C: 箭头线‡⑦区分的是CPU,与“CPU执行进程的相关信息”,后者由CPU管理者进行管理,并据此信息实现CPU在多个进程之间的交替执行
D: 箭头线⑧ˆ区分的是内存中的进程,与CPU的控制器和运算器,当CPU的程序计数器PC被赋予了某一个进程的指令存储单元的地址后,CPU(控制器)便可一条指令接一条指令的读取该进程的程序代码并执行之
E: 这几条线简要示意了CPU管理者、内存中待执行程序(即进程)和CPU三者之间的关系。箭头线ˆ⑧指的是内存中的程序被CPU执行;增加了箭头线†⑥和箭头线‡⑦后,则指内存中程序是在操作系统的监督、管理下,由CPU执行,体现了“管理”的含义
答案: 【 其它选项的说法有不正确的

26、单选题:

‍下图给出了操作系统管理磁盘与文件的基本思路图,观察“文件2”在磁盘上的存储,图中的FAT表还没有给出其簇块链的信息。填写FAT表关于文件2的信息,下列说法不正确的是_______        

‍             

‍选项:
A: FAT表的第51号表项应该填写49,第49号表项应该填写End
B: FAT表的第11号表项应该填写12,第12号表项应该填写35
C: FAT表的第35号表项应该填写36,第36号表项应该填写51
D: 其它选项的说法有不正确的
答案: 【 FAT表的第51号表项应该填写49,第49号表项应该填写End

27、单选题:

‏下图为复杂环境中,在操作系统管理下进行程序执行的基本思想示意图。这里的“复杂环境”是相对于“内存中单一程序由CPU执行的简单环境”。那么关于环境“复杂性的体现”,下列说法正确的是_______         

‌选项:
A: 其它选项都是复杂性的体现,然而复杂性不限于这些
B: 复杂性体现在:由单一的内存,扩展为内存与外存(磁盘)相结合的存储体系。程序是永久存储在外存上,在运行时才被装载入内存;程序也只有被装入内存,才能被CPU执行
C: 复杂性体现在:内存中不仅可装载一个程序,而且同时可装载多个程序。一个程序也可被多次装载入内存,形成一个个副本等待CPU执行
D: 复杂性体现在:当内存中多个程序时,多个程序如何被一个CPU来有序地执行,另一方面CPU究竟要执行哪一个程序,需要调度与协调
E: 复杂性体现在:微处理器为多CPU即多核时,如何更好的利用多CPU来同时并行地执行多个程序
答案: 【 其它选项都是复杂性的体现,然而复杂性不限于这些

28、单选题:

下图为复杂环境中,在操作系统管理下进行程序执行的基本思想示意图。关于“程序”与“进程”,下列说法不正确的是_______

              

‌选项:
A: 其它选项的说法有不正确的
B: 不管是“程序”,还是“进程”,都是指可以被执行的程序代码
C: “程序”是指外存上的程序文件,而“进程”是指装载入内存中的程序代码
D: 一个程序文件,可以产生多个“进程”
E: “进程”除了包括可由CPU执行的程序代码外,还包括有关该进程相关状态的描述信息,这些信息由操作系统使用,对“进程”实施管理
答案: 【 其它选项的说法有不正确的

29、单选题:
‏现代计算环境是多样化的。关于现代计算环境,下列说法不正确的是_______。‏
选项:
A: 其它选项的说法有不正确的
B: 冯.诺依曼计算机解决了内存中程序的执行机制问题
C: 个人计算环境解决了在操作系统协助下,外存中程序如何被CPU执行的机制问题
D: 并行/分布计算环境更加体现出操作系统的价值是:如何在多CPU环境、多计算机环境下,资源的高效利用问题,其根本是如何将一个程序分解成多个CPU或多台计算机可以执行的程序,以及多个程序如何并行/分布地执行问题
E: 云计算环境解决了计算机的动态构成问题,即按照用户需要的CPU数目、内存容量、外存容量及带宽,用软件模拟出满足该性能的计算机,为用户提供服务
答案: 【 其它选项的说法有不正确的

30、单选题:
​在使用计算机时,若直接通过断电的方式来关闭机器,会存在什么问题,下列说法不正确的是_______。‌
选项:
A: 因瞬时电路冲击,将造成计算机硬件,如主板等的损坏
B: 将造成当前工作中尚未保存内容的丢失
C: 将造成机器处于不正常状态,但仍旧可重新启动
D: 将造成一些外部设备的访问错误,甚至不能够再访问被影响的设备
答案: 【 因瞬时电路冲击,将造成计算机硬件,如主板等的损坏

31、单选题:

​下图为复杂环境中,在操作系统管理下进行程序执行的基本思想示意图。关于“任务”、“作业”与“进程”,下列说法不正确的是_______         

‎选项:
A: 其它选项的说法有不正确的
B: 任务和作业都是指需要计算机完成的一项项工作。它们之间的区分仅是从管理者的角度,将一项大粒度的工作,例如一个应用程序的完整执行,称为“任务”;而将一项小粒度的工作,例如一个“进程”可以完成的工作,称为“作业”。“进程”是指CPU完成相关工作的程序代码
C: 从本质上讲,“任务”、“作业”都是指工作,而“进程”则是指完成工作的程序代码
D: 一个任务可以分解成若干个作业。一项作业即可能是指如程序装载等为程序运行做准备的工作,也可能是指程序本身的运行。前者是由操作系统的进程来完成的,后者由应用程序自身的进程来完成
E: 计算机就是在操作系统进程的管理下,执行包括操作系统进程和应用程序进程在内的所有进程的过程
答案: 【 其它选项的说法有不正确的

32、单选题:
‌你理解什么是云吗? 下列说法不正确的是_______。‏
选项:
A: 云虽可定制任意数目CPU、任意容量内存和外存构成的计算机,但这样的计算机也是没有什么实用价值的
B: 云体现的是一种计算资源的“不求所有但求所用”的服务的思想
C: 云体现的是用软件来定义和动态构造不同性能的计算机的思想
D: 理论上讲,有了云,我们可定制任意数目CPU、任意容量内存和外存的计算机
E: 其它选项的说法有不正确的
答案: 【 云虽可定制任意数目CPU、任意容量内存和外存构成的计算机,但这样的计算机也是没有什么实用价值的

33、单选题:
‍关于磁盘与文件管理,下列说法不正确的是_____。‌
选项:
A: 其它选项的说法有不正确的
B: 磁盘被划分成一个个簇块(一个簇块即是若干个连续的扇区),并建立一个FAT表,对每一个簇块,FAT表中都有对应该簇块的一个表项
C: 如果FAT表的第i个表项对应的值为j,则说明该文件的第i个簇块后面应是第j个簇块,应将两个簇块的内容按顺序连接在一起
D: 一个文件是由连续的簇块组成的,在存储到磁盘时被分散的存储到未被占用的簇块中,因此依靠FAT表中的信息记录磁盘上文件的簇块的先后次序
E: 文件在磁盘上存储的第一个簇块的编号是与文件名一起,存储在文件夹或目录中的
答案: 【 其它选项的说法有不正确的

34、单选题:

‎下图给出了操作系统管理磁盘与文件的基本思路图,观察“文件3”在磁盘上的存储,图中的FAT表没有给出其全部的簇块链的信息。填写FAT表关于文件3的信息,下列说法正确的是_______       

​选项:
A: FAT表的第27号表项应该填写28
B: 文件3根本没有涉及到FAT表的第52号表项
C: FAT表的第58号表项应该填写27
D: 文件夹中的第一个磁块信息应该填写14
E: 其它选项的说法都正确
答案: 【 FAT表的第27号表项应该填写28

35、单选题:

下图给出了操作系统管理磁盘与文件的基本思路图。文件分配表与所能够管理的磁盘空间大小是有关系的。如果磁盘的一簇被定义为1KB(2个扇区),文件分配表的表项数为则其能管理的磁盘空间大小为KB。现在磁盘空间已经为KB,问该如何进行管理呢_______

       

‎选项:
A: 将原来一簇为1KB,重新定义为一簇为16KB
B: 将原来一簇为1KB,重新定义为一簇为4KB
C: 将原来一簇为1KB,重新定义为一簇为8KB
D: 不能管理这么大的磁盘空间
答案: 【 将原来一簇为1KB,重新定义为一簇为16KB

36、单选题:

‍下图为复杂环境中,在操作系统管理下进行程序执行的基本思想示意图。复杂环境中程序的执行,需要解决_______         

‍选项:
A: 其它选项的所有问题,并且注意其使用的次序
B: 读写磁盘的问题,因为程序是被永久保存在外存上
C: 程序装载问题,因为外存上的程序只有被装载入内存才能被CPU执行
D: 内存空间分配问题,外存上的程序被装载入内存就需要内存空间,其程序大小、运行数据的多少都需要内存空间予以保存
E: 控制CPU执行哪一个程序的问题,内存中可能装载了多个程序,当CPU执行一个程序时,就需要保留其它程序的状态;所谓CPU执行一个程序,简单来讲,就是将当前要执行程序的存储单元地址送给CPU的程序计数器PC
答案: 【 其它选项的所有问题,并且注意其使用的次序

37、单选题:
‌关于普通计算机的主机箱中有什么,下列说法正确的是_____。‎
选项:
A: 主机箱中有电源,主板。主板上有微处理器和内存(条);还有各种磁盘驱动器被连接到主板上进而接受CPU的控制;主板上还有若干个插槽,这些插槽可用于各种外部设备的接口电路板与主板的连接;主板上也有若干已做好的接口,直接用于连接各种外部设备
B: 主机箱中有电源,还有一块电路板–即主板。主板上有一个微处理器(CPU)
C: 主板上有微处理器和内存(条)有微处理器和内存(条)
D: 主机箱中有电源和主板。主板上有微处理器和内存(条);还有各种磁盘驱动器被连接到主板上进而接受CPU的控制
答案: 【 主机箱中有电源,主板。主板上有微处理器和内存(条);还有各种磁盘驱动器被连接到主板上进而接受CPU的控制;主板上还有若干个插槽,这些插槽可用于各种外部设备的接口电路板与主板的连接;主板上也有若干已做好的接口,直接用于连接各种外部设备

第6讲 由机器语言到高级语言---程序编写编译

第6讲之模拟练习题

1、单选题:
‎读程序,并回答问题:该程序执行完成后,N的值为_____。‌‎N = 101;
If N/2 == 0 Then
    N = N/2;
Else
    N = N * 3 + 1;
End If‌
选项:
A: 101
B: 55.5
C: 304
D: 167.5
答案: 【 304

2、单选题:
‍已知程序如下,若X=30, Y=30, Z=30该程序执行完成后,X的值为_____。‍‍X = Z + Y;
If  Y < Z {
    X = X – Y; }
Else{
    X= X – Z;  }
X = X – Y;
If  X < Z {  X = Y +20; }
X = X – Z;
If  X > Y { X = X – Y;  }‍
选项:
A: 10
B: 20
C: 30
D: 40
答案: 【 20

3、单选题:
‌读程序,并回答问题:该程序执行完成后,X的值为_____。‎‌    X=1;
Y=2; 
Sum=0;
Do {  Sum = X+Y;
X=X+1;
Y=Y+1;
} While (Sum<=20);‎
选项:
A: 8
B: 9
C: 10
D: 11
答案: 【 11

4、单选题:
‏读程序,并回答问题:程序行(60)执行了多少次?次数为_____。‎‏    (10)    N = 6;
(20) X = 0;
(30) Y = 1;
(40) For I = 1 To N-1 Step 1
(50) Z = X + Y;
(60)     X = Y;
(70)     Y = Z;
(80) Next I;‎
选项:
A: 4
B: 5
C: 6
D: 7
答案: 【 5

5、单选题:
‎已知函数Fact的程序如下,在执行Fact(5)的过程中,Fact函数被调用的次数为_____。‎ Long Int Fact(int n)
{ Long Int x;
If (n > 1) 
{  x = Fact(n-1);  
return n*x;   }
else return 1; 
}‎‎
选项:
A: 3
B: 4
C: 5
D: 6
答案: 【 5

6、单选题:
‌ 已知程序如下,该程序实现的功能为_____。‎‌(10)     main()
(20)     {   int  counter;
(30)            … //输入N值的语句,略
(40)            long product = 1; 
(50)            for  counter = 1 to N step 2
(60)            { product = product * counter; }
(70)            return product;
(80)     }‎
选项:
A: product = 1*2*3*…*(N-1)
B: product = 1+ 2+3+…+ (N-1)
C: product = 1*3*5*…* (N-1)
D: product = 1+3+5+…+(N-1)
答案: 【 product = 1*3*5*…* (N-1)

7、单选题:
‌关于计算机语言的编译,下列说法不正确的是_____。‏
选项:
A: 需要“分词”,将其中的常量、变量名和保留字识别出来,并分类及编号
B: 需要识别每一条语句所对应的“模式”。任意语句的常量和变量名被归为“标识符”类别,而标识符与保留字的不同组合关系构成了语句的模式;计算机语言是由有限的语句模式构成的
C: 对每一种模式,都有相应的组合构造方法,即模式可被认为是由原子模式或说基本模式通过组合的方法构造出来的,对原子模式或者基本模式可以事先写好其相应的目标语言的指令或语句
D: 上述有不正确的
答案: 【 上述有不正确的

8、单选题:
‌关于普通计算机语言(或者说程序)的基本构成要素,下列说法最完整的是_____。​
选项:
A: 常量与变量和表达式
B: 常量与变量、表达式和语句
C: 常量与变量、表达式、语句和函数
D: 都不完整
答案: 【 常量与变量、表达式、语句和函数

9、单选题:
​已知A=40;B=30;C=100;D=50,逻辑“与”运算符为and,“或”运算符为or,“非”运算符为not。计算表达式A < A * 5的值,结果为_____。​
选项:
A: 40
B: 200
C: 真
D: 假
答案: 【 真

10、单选题:

​已知如下多元素变量,已知I=2J=4;则M[I][J]的值为_____

​             

‍选项:
A: 44
B: 83
C: 22
D: 21
答案: 【 44

11、单选题:

‌已知如下多元素变量,已知I=2;J=2;则M[I+1][J+1]的值为_____。
             

‏选项:
A: 39
B: 11
C: 0
D: 16
答案: 【 0

12、单选题:
‌已知程序如下,若X=10, Y=50, Z=30该程序执行完成后,X的值为_____。‏‌X = Z + Y;
If  Y < Z {
    X = X – Y; }
Else{
    X= X – Z;  }
X = X – Y;
If  X < Z {  X = Y +20; }
X = X – Z;
If  X > Y { X = X – Y;  }‏
选项:
A: 10
B: 20
C: 30
D: 40
答案: 【 40

13、单选题:

‎已知如下多元素变量。
             

执行下列程序,执行完成后,Sum1Sum2的值分别为_____

(10) int I = 3,J;
(20) int Sum1=0,Sum2=0;
(30) For J=1 to 4 Step 1
(40) {     Sum1 = Sum1 + M[I][J]; 
(50)        Sum2 = Sum2 + M[J][I]; }

‌选项:
A: 576,576
B: 136,175
C: 149,105
D: 105,149
答案: 【 149,105

14、单选题:
‏读程序,并回答问题:该程序执行完成后,Sum的值为_____。​‏    X=1;
Y=2; 
Sum=0;
Do {  Sum = X+Y;
X=X+1;
Y=Y+1;
} While (Sum<=20);​
选项:
A: 20
B: 21
C: 19
D: 18
答案: 【 21

15、单选题:

‏已知如下多元素变量。
             

执行下列程序,执行完成后,Sum1Sum2的值分别为_____

(10) int J;
(20) int Sum1=0,Sum2=0;
(30) For J=1 to 4 Step 1
(40) {     Sum1 = Sum1 + M[J][J]; 
(50)        Sum2 = Sum2 + M[5-J][5-J]; }

​选项:
A: 95,95
B: 95,66
C: 66,95
D: 66,66
答案: 【 66,66

16、单选题:
‎读程序,并回答问题:该程序执行完成后,K的值为_____。‍‎    (10)    K = 0;
(20) I = 2;
(30) While(I<=8)
(40) {  K = K + I;
(50)    I = I + 2;}‍
选项:
A: 35
B: 20
C: 36
D: 12
答案: 【 20

17、单选题:
‍关于不同抽象层面的计算机,由低层向应用层(高层)的基本层次划分是_____。​
选项:
A: 高级语言机器汇编语言机器操作系统机器实际机器微程序机器
B: 实际机器微程序机器操作系统机器汇编语言机器高级语言机器
C: 微程序机器实际机器操作系统机器汇编语言机器高级语言机器
D: 上述都不正确
答案: 【 微程序机器实际机器操作系统机器汇编语言机器高级语言机器

18、单选题:
‍已知函数Fact的程序如下,Fact(4)的值为_____。‍ Long Int Fact(int n)
{ Long Int x;
If (n > 1) 
{  x = Fact(n-1);  
return (n+x)*2;   }
else return 1; 
}‌‌
选项:
A: 14
B: 24
C: 44
D: 64
答案: 【 44

19、单选题:
‎关于计算机语言,下列说法不正确的是_____。‎
选项:
A: 汇编语言和机器语言是以指令为单位来编写程序
B: 高级语言是以语句为单位来编写程序,一条语句相当于若干条指令(或者说一条语句可用若干条指令来实现)
C: 面向对象语言或可视化构造语言是以对象(类)为单位来编写程序,一个对象相当于若干条语句((或者说一个对象可用若干条语句来实现)
D: 上述有不正确的
答案: 【 上述有不正确的

20、单选题:
​从语言编译角度看计算机语言,下列说法不正确的是_____。‌
选项:
A: 计算机语言就是由标识符和保留字构成的,标识符是可由程序员按规则任意命名的符号,而保留字则是编译器识别语句模式的重要符号
B: 计算机语言定义了基本元素的集合,以及基本元素的组合构造规则,所谓基本元素即是指标识符和保留字,所谓组合构造规则即是指语句的书写模式,即不同标识符和保留字的组合规则
C: 标识符可以是常量、变量名,也可以是函数名;保留字可以是赋值符号如“=”、语句结束符号如“;”、基本运算符号如“+”“-”“*”“/”、程序段落符号如“{ }”等,保留字还可以是其他语句模式的标志性符号
D: 上述有不正确的
答案: 【 上述有不正确的

21、单选题:
‌已知A=40;B=30;C=100;D=50,计算表达式 (A * A – B * B) + D 的值,结果为_____。‏
选项:
A: 70
B: 150
C: 570
D: 750
答案: 【 750

22、单选题:
‏已知A=40;B=30;C=100;D=50,逻辑“与”运算符为and,“或”运算符为or,“非”运算符为not。计算表达式(A > B) and (A<=B)的值,结果为_____。‎
选项:
A: 40
B: 200
C: 真
D: 假
答案: 【 假

23、单选题:

‌已知如下多元素变量。
             

执行下列程序,程序执行完成后,Sum1Sum2的值分别为_____

(10) int J;
(20) int Sum1=0,Sum2=0;
(30) For J=1 to 4 Step 1
(40) {     Sum1 = Sum1 + M[J][J]; 
(50)        Sum2 = Sum2 + M[5-J][J]; }

​选项:
A: 95,95
B: 95,66
C: 66,95
D: 66,66
答案: 【 66,95

24、单选题:
‍读程序,并回答问题:该程序执行完成后,Z的值为_____。‏‍    (10)    N = 6;
(20) X = 0;
(30) Y = 1;
(40) For I = 1 To N-1 Step 1
(50) Z = X + Y;
(60)     X = Y;
(70)     Y = Z;
(80) Next I;‏
选项:
A: 3
B: 5
C: 8
D: 13
答案: 【 8

25、单选题:
‍已知函数Fact的程序如下,Fact(4)的值为_____。‍ Long Int Fact(int n)
{ Long Int x;
If (n > 1) 
{  x = Fact(n-1);  
return n*x;   }
else return 1; 
}‏‏
选项:
A: 10
B: 24
C: 120
D: 15
答案: 【 24

26、单选题:
‍关于计算机语言,下列说法不正确的是_____。‌
选项:
A: 所有源程序最后都需被转换为汇编语言程序,机器才能够执行
B: 所谓“高级语言”和“低级语言”是指其和机器硬件的相关程度,不涉及机器硬件的语言为高级语言,而与机器硬件相关的语言则为低级语言
C: 低级语言程序执行效率高是因为用低级语言编程时可以充分利用硬件的各种特殊性,而高级语言则只能使用硬件的标准结构
D: 高级语言编程效率高是因为其可用大粒度积木块来构造程序,比一行行语句、一条条指令来编程效率高出很多
答案: 【 所有源程序最后都需被转换为汇编语言程序,机器才能够执行

27、单选题:
‍关于表达式,下列说法不正确的是_____。‌
选项:
A: 由常量、变量及各种算术运算符构造的表达式,被称为算术表达式,其结果为一数值
B: 由常量、变量和各种比较运算符构造的表达式,被称为比较表达式,其结果只能为逻辑“真”或“假”
C: 由常量、变量和各种逻辑运算符构造的表达式,被称为逻辑表达式,其结果只能为逻辑“真”或“假”
D: 比较表达式中不能含有算术表达式,逻辑表达式中可以含算术表达式
答案: 【 比较表达式中不能含有算术表达式,逻辑表达式中可以含算术表达式

28、单选题:
​已知A=40;B=30;C=100;D=50,计算表达式 (A + (C – B) *3) / D 的值,结果为_____。‏
选项:
A: 5
B: -5
C: 10
D: 4
答案: 【 5

29、单选题:
​已知A=40;B=30;C=100;D=50,逻辑“与”运算符为and,“或”运算符为or,“非”运算符为not。计算表达式 (A > B +20 ) or (B +60 < C )的值,结果为_____。‌
选项:
A: 100
B: 30
C: 真
D: 假
答案: 【 真

30、单选题:
‏已知A=40;B=30;C=100;D=50,逻辑“与”运算符为and,“或”运算符为or,“非”运算符为not。计算表达式A + A * 5的值,结果为_____。​
选项:
A: 400
B: 240
C: 真
D: 假
答案: 【 240

31、单选题:
‎关于不同抽象层面的计算机,下列说法不正确的是_____。‌
选项:
A: 实际机器层面之上,不同层次的计算机即是指各种层次的软件系统
B: 实际机器层面之上,不同层次的计算机,其本质是为用户提供一个计算机语言,用户可用该语言表达具体的操作需求,同时提供一个编译器将操作需求转换为机器可以执行的程序,最终实现用户的操作需求
C: 不同抽象层次的计算机指的是各种抽象层次的硬件系统,只有硬件计算机才能被称为计算机
D: 上述有不正确的
答案: 【 不同抽象层次的计算机指的是各种抽象层次的硬件系统,只有硬件计算机才能被称为计算机

32、单选题:
​已知程序如下,若X=10, Y=20, Z=30,该程序执行完成后,X的值为_____。‌​X = Z + Y;
If  Y < Z {
    X = X – Y; }
Else{
    X= X – Z;  }
X = X – Y;
If  X < Z {  X = Y +20; }
X = X – Z;
If  X > Y { X = X – Y;  }‌
选项:
A: 10
B: 20
C: 30
D: 40
答案: 【 10

33、单选题:
‍读程序,并回答问题:程序行(40)执行了多少次?次数为_____。​‍    (10)     K = 0;
(20) I = 2;
(30) While(I<=8)
(40) {  K = K + I;
(50)    I = I + 2;}​
选项:
A: 2
B: 4
C: 6
D: 8
答案: 【 4

34、单选题:
‎已知函数Fact的程序如下,在执行Fact(4)的过程中,Fact函数被调用的次数为_____。‍‎ Long Int Fact(int n)
{ Long Int x;
If (n > 1) 
{  x = Fact(n-1);  
return (n+x)*2;   }
else return 1; 
}‍
选项:
A: 3
B: 4
C: 5
D: 6
答案: 【 4

35、单选题:
‏已知程序如下,该程序实现的功能为_____。‌‏main()
{
    int i,n;
    long sum = 0, p = 1;
    …//输入n值的语句,略
    for(i = 1; i <= n; i++)
    {
        p = p * i;
        sum = sum + p;
    }
    …//输出sum值的语句,略
}‌
选项:
A: sum = 1*2*3*…*n
B: sum = 1!+2!+…+n!
C: sum = 1+2+3+…+n
D: sum = 1*2+2*3+(n-1)*n
答案: 【 sum = 1!+2!+…+n!

36、单选题:
已知程序如下,当程序行(60)执行了3次以后,Product和Counter的值分别为_____。‎(10)     main()
(20)     {   int  counter;
(30)            … //输入N值的语句,略
(40)            long product = 1; 
(50)            for  counter = 1 to N step 2
(60)            { product = product * counter; }
(70)            return product;
(80)     }‎
选项:
A: 105,5
B: 15,7
C: 15,5
D: 105,7
答案: 【 15,5

37、单选题:

‎已知如下多元素变量,已知I=1J=1;则M[I+1][J]+2的值为_____

‎             

‌选项:
A: 13
B: 47
C: 8
D: 10
答案: 【 47

38、单选题:
​已知A=40;B=30;C=100;D=50,逻辑“与”运算符为and,“或”运算符为or,“非”运算符为not。计算表达式 (A > B)  and (B < C )的值,结果为_____。‏
选项:
A: 100
B: 30
C: 真
D: 假
答案: 【 真

39、单选题:
‌已知A=40;B=30;C=100;D=50,逻辑“与”运算符为and,“或”运算符为or,“非”运算符为not。计算表达式C > A +B +D的值,结果为_____。‌
选项:
A: 120
B: 100
C: 真
D: 假
答案: 【 假

40、单选题:
‌已知X=21, Y=15, Z=22,计算表达式 ((X>Y) or (Y>Z)) and ((X<Y) or (Y<Z))的值,结果为_____。‎
选项:
A: 10
B: 4
C: 真
D: 假
答案: 【 真

41、单选题:
​已知X=21, Y=15, Z=22,计算表达式 ((X>Y) AND (Y>Z)) OR ((X<Y) AND (Y<Z))的值,结果为_____。‏
选项:
A: 10
B: 4
C: 真
D: 假
答案: 【 假

42、单选题:
‎已知X=21, Y=15, Z=22,计算表达式 ((X>Y) AND (Y>Z)) OR ((X<Z) AND (Y<Z))的值,结果为_____。​
选项:
A: 真
B: 假
C: 9
D: 4
答案: 【 真

第6讲测验

1、单选题:
​关于表达式,下列说法不正确的是_____。‎
选项:
A: 比较表达式中不能含有算术表达式,逻辑表达式中可以含算术表达式
B: 由常量、变量及各种算术运算符构造的表达式,被称为算术表达式,其结果为一数值
C: 由常量、变量和各种比较运算符构造的表达式,被称为比较表达式,其结果只能为逻辑“真”或“假”
D: 由常量、变量和各种逻辑运算符构造的表达式,被称为逻辑表达式,其结果只能为逻辑“真”或“假”
答案: 【 比较表达式中不能含有算术表达式,逻辑表达式中可以含算术表达式

2、单选题:
‎已知A=40;B=30;C=100;D=50,计算表达式 (A + (C – B) *3) / D 的值,结果为_____。​
选项:
A: 5
B: -5
C: 10
D: 4
答案: 【 5

3、单选题:
​已知A=40;B=30;C=100;D=50,计算表达式 (A * A – B * B) + D 的值,结果为_____。‏
选项:
A: 750
B: 70
C: 150
D: 570
答案: 【 750

4、单选题:
‎已知A=40;B=30;C=100;D=50,逻辑“与”运算符为and,“或”运算符为or,“非”运算符为not。计算表达式 (A > B)  and (B < C )的值,结果为_____。​
选项:
A: 真
B: 100
C: 30
D: 假
答案: 【 真

5、单选题:
‎已知A=40;B=30;C=100;D=50,逻辑“与”运算符为and,“或”运算符为or,“非”运算符为not。计算表达式C > A +B +D的值,结果为_____。‌
选项:
A: 假
B: 真
C: 120
D: 100
答案: 【 假

6、单选题:
已知程序如下,若X=10, Y=50, Z=30该程序执行完成后,X的值为_____。‍X = Z + Y;
If  Y < Z {
    X = X – Y; }
Else{
    X= X – Z;  }
X = X – Y;
If  X < Z {  X = Y +20; }
X = X – Z;
If  X > Y { X = X – Y;  }‍
选项:
A: 40
B: 10
C: 20
D: 30
答案: 【 40

7、单选题:
读程序,并回答问题:程序行(60)执行了多少次?次数为_____。‎    (10)    N = 6;
(20) X = 0;
(30) Y = 1;
(40) For I = 1 To N-1 Step 1
(50) Z = X + Y;
(60)     X = Y;
(70)     Y = Z;
(80) Next I;‎
选项:
A: 5
B: 4
C: 6
D: 7
答案: 【 5

8、单选题:
‌关于计算机语言的编译,下列说法不正确的是_____。‏
选项:
A: 其它三个选项有不正确的
B: 需要“分词”,将其中的常量、变量名和保留字识别出来,并分类及编号
C: 需要识别每一条语句所对应的“模式”。任意语句的常量和变量名被归为“标识符”类别,而标识符与保留字的不同组合关系构成了语句的模式;计算机语言是由有限的语句模式构成的
D: 对每一种模式,都有相应的组合构造方法,即模式可被认为是由原子模式或说基本模式通过组合的方法构造出来的,对原子模式或者基本模式可以事先写好其相应的目标语言的指令或语句
E: 按照模式由原子模式的组合次序,可将模式语句转换成目标语言的指令或语句;进一步按照分类及编号将常量、变量名代入形成最终的目标语言程序,完成编译
答案: 【 其它三个选项有不正确的

9、单选题:

已知如下多元素变量,已知I=2J=4;则

欢迎您对本文章进行评论
文明留言,请勿恶意评论,包括但不限于纯数字、敏感内容、非法昵称等
暂无讨论,说说你的看法吧
学习通答案

学习通答案

学习通答案
职教云答案

职教云答案

Q&A

备案号:冀ICP备20010840号 2020-2099辉辉网络科技 All Rights Reserved