

1、单选题:
运动黏度的单位是( )
选项:
A: 
B: 
C: 
D: Pa
答案: 【
】
2、单选题:
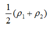
两种互溶液体的密度分别为1和2,将其等质量混合。若混合前后总体积不变,则混合后的密度为( )。
选项:
A: 
B: 
C: 
D: 
答案: 【
】
3、单选题:

选项:
A: 121 kPa
B: 123 kPa
C: 152 kPa
D: 134 kPa
答案: 【 134 kPa】
4、单选题:
流体在圆形直管中作层流流动,其直管阻力损失与流速的关系为( )。
选项:
A: 
B: 与u成正比
C: 
D: 
答案: 【 与u成正比】
5、单选题:
流体在3 m×1 m的矩形管道内流动,其当量直径为( )。
选项:
A: 2.0 m
B: 3.0 m
C: 2.5 m
D: 1.5 m
答案: 【 1.5 m 】
6、单选题:
在一定的压力下,空气以一定的质量流量在管道内流动,随着温度的升高,其体积流量( )。
选项:
A: 不变
B: 减小
C: 增大
D: 不确定
答案: 【 增大】
7、单选题:
某流体流过一段圆形水平直管,其雷诺数为900,压力降为25Pa。若将流速增加一倍,其他条件不变,则压强降变为( )。
选项:
A: 25 Pa
B: 50 Pa
C: 75 Pa
D: 40 Pa
答案: 【 50 Pa 】
8、单选题:
流体在管路系统中流动时,在管路出口处的局部阻力系数为( )。
选项:
A: 
B: 
C: 
D: 
答案: 【
】
9、单选题:

选项:
A: 
B: 
C: 
D: 
答案: 【
】
10、单选题:
在下列装置中,能够直接读出体积流量是( )。
选项:
A: 孔板流量计
B: 文丘里流量计
C: 转子流量计
D: 测速管(皮托管)
答案: 【 转子流量计】
11、多选题:
下列液体属于牛顿型流体的是( )。
选项:
A: 水
B: 沥青
C: 乙醇
D: 油漆
答案: 【 水;
乙醇】
12、多选题:
关于流体在管道中的常用流速范围,下列表达正确的是( )。
选项:
A: 液体通常取0.5~3.0 m/s
B: 气体通常取10~20 m/s
C: 液体通常取1.0~3.0 m/s
D: 气体通常取10~30 m/s
答案: 【 液体通常取0.5~3.0 m/s ;
气体通常取10~30 m/s】
13、多选题:
与流体在管道内的层流流动相比,湍流流动的特点是( )。
选项:
A: 流体质点高频脉动
B: 流动阻力急剧增加
C: 整个管内均为湍流
D: 速度分布趋于均匀
答案: 【 流体质点高频脉动;
流动阻力急剧增加;
速度分布趋于均匀】
14、多选题:
在下列管路计算中,不需要试差的是( )。
选项:
A: 已知管路系统的设置及流体的输送量,计算管路系统的能量损失
B: 已知管路系统的设置及允许的能量损失,计算流体的流量
C: 已知管路系统的设置及流体的输送量,计算输送设备所加入的外功
D: 已知管长、局部阻力系数、当量长度、流体的输送量及允许的能量损失,计算管径
答案: 【 已知管路系统的设置及流体的输送量,计算管路系统的能量损失;
已知管路系统的设置及流体的输送量,计算输送设备所加入的外功】
15、多选题:
下列关于测速管(皮托管)的叙述正确的是( )。
选项:
A: 测速管由两根弯成直角的同心套管所组成,外管为冲压管,内管为静压管
B: 测速管可放在管截面的任一位置上,并使冲压口正对着流体流动的方向
C: 测速管能够测出管道截面上某一点的局部流速,不能直接测出管道的平均流速
D: 测速管对流体的阻力较小,适用于测量大直径管路中的气体流速
答案: 【 测速管可放在管截面的任一位置上,并使冲压口正对着流体流动的方向;
测速管能够测出管道截面上某一点的局部流速,不能直接测出管道的平均流速;
测速管对流体的阻力较小,适用于测量大直径管路中的气体流速】
16、判断题:
黏度是流体的重要物理性质之一,故分析流体的规律时必须考虑黏度因素的影响。
选项:
A: 正确
B: 错误
答案: 【 错误】
17、判断题:
在静止流体内部,任一点的静压力方向都与作用面垂直。
选项:
A: 正确
B: 错误
答案: 【 错误】
18、判断题:
气体的体积流量随温度和压力而变化,则气体的流速亦随之而变。
选项:
A: 正确
B: 错误
答案: 【 正确】
19、判断题:
流动着的流体内部任何位置都有一定的静压力,克服静压力所需要的能量即为内能。
选项:
A: 正确
B: 错误
答案: 【 错误】
20、判断题:
以单位体积流体为衡算基准时,伯努利方程式中各项的单位与压力的单位相同。
选项:
A: 正确
B: 错误
答案: 【 正确】
21、判断题:
流体在水平等径管路的两截面间流动时,其压力降表示1 m3流体由于流动阻力所消耗的能量。
选项:
A: 正确
B: 错误
答案: 【 正确】
22、判断题:
流体在粗糙管道内流动时,相对粗糙度愈大的管道,达到阻力平方区的雷诺数愈大。
选项:
A: 正确
B: 错误
答案: 【 错误】
23、判断题:
对于并联管路,单位质量流体流经各支管的能量损失相等,与各支管的长度、直径等无关。
选项:
A: 正确
B: 错误
答案: 【 正确】
24、判断题:
对于分支管路,流体流经各支管的总机械能与能量损失之和相等
选项:
A: 正确
B: 错误
答案: 【 错误】
25、判断题:
转子流量计属于变截面流量计,其刻度与被测流体的密度无关。
选项:
A: 正确
B: 错误
答案: 【 错误】
1、单选题:
流体在管路系统中流动时,在管路出口处的局部阻力系数是( )。
选项:
A: 
B: 
C: 
D: 
答案: 【
】
2、多选题:
流体在管路系统中流动时,可产生局部阻力的地方是( )。
选项:
A: 管路的进口
B: 管路的出口
C: 等径直管段
D: 阀门
答案: 【 管路的进口;
管路的出口;
阀门】
3、判断题:
阻力系数法是将局部阻力所引起能量损失表示成流体动能因子u/2 的某个倍数。
选项:
A: 正确
B: 错误
答案: 【 错误】
1、单选题:
流体以一定的速度流过阀门时,阀门的开度增大,则其当量长度( )。
选项:
A: 增大
B: 减小
C: 不确定
D: 不变
答案: 【 减小】
2、多选题:
在化工生产装置的管路系统中,常用的管件包括( )。
选项:
A: 弯头
B: 管接头
C: 水表
D: 三通
答案: 【 弯头;
管接头;
三通】
3、判断题:
当量长度法是将局部阻力折算成一定长度直管的阻力。
选项:
A: 正确
B: 错误
答案: 【 正确】
1、单选题:
在下列管路计算中,属于操作型计算的是( )。
选项:
A: 给定管路设置及允许的能量损失,计算流体的流量
B: 给定流体的流量及允许的能量损失,计算管路的直径
C: 给定流体输送任务,选用合理且经济的管路
D: 给定流体的流量及允许的能量损失,选用输送设备
答案: 【 给定管路设置及允许的能量损失,计算流体的流量】
2、多选题:
复杂管路包括( )。
选项:
A: 变径管路
B: 并联管路
C: 分支管路
D: 直形管路
答案: 【 并联管路;
分支管路 】
3、判断题:
已知流体的流量及允许的能量损失,计算管路的直径时,需采用试差法。
选项:
A: 正确
B: 错误
答案: 【 正确】
1、单选题:
流体在粗糙管内湍流流动,若流动处于阻力平方区,则阻力系数控制方程表示为( )。
选项:
A: 
B: 
C: 
D: 
答案: 【
】
2、多选题:
在简单管路计算时,其控制方程包括( )。
选项:
A: 连续性方程
B: 伯努利方程
C: 阻力系数方程
D: 流体静力学方程
答案: 【 连续性方程;
伯努利方程;
阻力系数方程】
3、判断题:
简单管路的计算过程通常比较简单,故可避免采用试差法。
选项:
A: 正确
B: 错误
答案: 【 错误】
1、单选题:

选项:
A: 
B: 
C: 
D: 不确定
答案: 【
】
2、多选题:
并联管路具有以下特点( )。
选项:
A: 主管中的流量等于各支管的流量
B: 主管中的流量等于各支管的流量之和
C: 单位质量流体流经各支管的阻力损失相等
D: 单位质量流体流经主管的阻力损失等于各支管的阻力损失之和
答案: 【 主管中的流量等于各支管的流量之和;
单位质量流体流经各支管的阻力损失相等】
3、判断题:
并联管路中单位质量流体流经各支管的阻力损失相等,与各支管的设置无关。
选项:
A: 正确
B: 错误
答案: 【 正确】
1、单选题:

选项:
A: 
B: 
C: 
D: 不确定
答案: 【 不确定】
2、多选题:
分支管路具有以下特点( )。
选项:
A: 主管中的流量等于各支管的流量之和
B: 主管中的流量等于各支管的流量
C: 单位质量流体在各支管流动终了时的总机械能与能量损失之和相等
D: 单位质量流体在各支管流动终了时的总机械能相等
答案: 【 主管中的流量等于各支管的流量之和;
单位质量流体在各支管流动终了时的总机械能与能量损失之和相等】
3、判断题:
对于分支管路,单位质量流体在各支管流动终了时的能量损失相等。
选项:
A: 正确
B: 错误
答案: 【 错误】
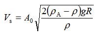
1、单选题:
测速管的速度计算公式为( )。
选项:
A: 
B: 
C: 
D: 
答案: 【
】
2、多选题:
可用于测量点速度的装置为( )。
选项:
A: 测速管
B: 孔板流量计
C: 转子流量计
D: 皮托管
答案: 【 测速管 ;
皮托管】
3、判断题:
测速管由两根弯成直角的同心套管组成,外管称为冲压管,内管称为静压管。
选项:
A: 正确
B: 错误
答案: 【 错误】
1、单选题:
孔板流量计的流量计算公式为( )。
选项:
A: 
B: 
C: 
D: 
答案: 【
】
2、多选题:
在一内径为d的管道上安装孔板流量计,通常要求( )。
选项:
A: 上游直管长度 > 50d
B: 下游直管长度 > 50d
C: 上游直管长度 > 10d
D: 下游直管长度 > 10d
答案: 【 上游直管长度 > 50d ;
下游直管长度 > 10d】
3、判断题:
流体通过孔板流量计的孔板后形成缩脉,在缩脉处流速最大,压力最低。
选项:
A: 正确
B: 错误
答案: 【 正确】
1、单选题:
文丘里流量计的流量计算公式为( )。
选项:
A: 
B: 
C: 
D: 
答案: 【
】
2、多选题:
在下列流量测量装置中,属于节流式的是( )。
选项:
A: 转子流量计
B: 孔板流量计
C: 文丘里流量计
D: 测速管
答案: 【 孔板流量计;
文丘里流量计 】
3、判断题:
文丘里流量计以一段渐缩、渐扩的短管代替孔板,故文丘里流量计较孔板流量计的能量损失大。
选项:
A: 正确
B: 错误
答案: 【 错误】
1、单选题:
转子流量计的流量计算公式为( )。
选项:
A: 
B: 
C: 
D: 
答案: 【
】
2、多选题:
构成转子流量计的主要部件有( )。
选项:
A: 转子
B: 孔板
C: 文丘里管
D: 带刻度的锥形玻璃管
答案: 【 转子;
带刻度的锥形玻璃管】
3、判断题:
转子流量计的刻度与被测流体的密度有关,当被测流体与标定流体的密度不同时,应对转子流量计的刻度进行校正。
选项:
A: 正确
B: 错误
答案: 【 正确】
1、单选题:
流体的黏度增大,其湍动程度( )。
选项:
A: 增大
B: 减小
C: 不变
D: 不确定
答案: 【 减小】
2、多选题:
某流体在圆形管道内流动,其雷诺数为1600,则该流体的流动型态为( )。
选项:
A: 层流
B: 湍流
C: 过渡流
D: 滞流
答案: 【 层流;
滞流】
3、判断题:
流体呈湍流流动时,其基本的特征是各质点作不规则的高频脉动。
选项:
A: 正确
B: 错误
答案: 【 正确】
1、单选题:
流体在圆管内层流流动时,其速度侧型呈( )。
选项:
A: 直线型
B: 抛物线型
C: 对数型
D: 指数型
答案: 【 抛物线型】
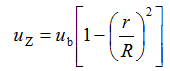
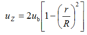
2、多选题:
流体在圆管内层流流动时,其速度分布方程可表示为( )。
选项:
A: 
B: 
C: 
D: 
答案: 【 
备案号:冀ICP备20010840号 2020-2099辉辉网络科技 All Rights Reserved