

1、单选题:
设理想气体反应 aA(g ) == yY(g) + zZ(g),在101.325 kPa、300 K下,A的转化率是600 K的2倍,而且在300 K下系统压力为101 325 Pa的转化率是2×101 325 Pa的2 倍,故可推断该反应 ( )
选项:
A: 是一个体积增加的放热反应
B: 是一个体积增加的吸热反应
C: 标准平衡常数与温度,压力成反比
D: 标准平衡常数与温度成正比,与压力成反比
答案: 【 是一个体积增加的放热反应】
2、单选题:
影响任意一个化学反应的标准平衡常数值的因素为( )
选项:
A: 温度
B: 催化剂
C: 压力
D: 参与反应各物质的活度
答案: 【 温度】
3、单选题:
某实际气体反应在温度为500K,压力为
下的平衡常数
,则该反应在500K,20.26kPa下反应的平衡常数
为( )
选项:
A: 2
B: >2
C: <2
D: 
答案: 【 2】
4、单选题:
理想气体反应
的
与温度T 的关系为:
Delta _rG_m^ ominus
(in J/mol),若要使反应的平衡常数
>1,则应控制的反应温度( )
选项:
A: 必须低于409.3K
B: 必须低于409.3℃
C: 必须等于409.3K
D: 必须高于409.3K
答案: 【 必须低于409.3K】
5、单选题:
理想气体反应N2O5(g)== N2O4(g)+1/2O2(g)的DrHm为41.84kJ/mol。要增加N2O4(g)的产率可以( )
选项:
A: 提高温度
B: 降低温度
C: 提高压力
D: 定温定容加入惰性气体
答案: 【 提高温度】
6、单选题:
已知 445℃时,
的分解压力为20 974 kPa,则此时分解反应
的
为:
选项:
A: -15.92 kJ/mol
B: 14.387 J/mol
C: 15.92 kJ/mol
D: -31.83 kJ/mol
答案: 【 -15.92 kJ/mol】
7、单选题:
反应
在101 325 Pa、分解温度时的分压
等于: ( )
选项:
A: (2/3)×101.325 kPa
B: 101.325 kPa
C: (101.325 /2) kPa
D: (101.325 /3) kPa
答案: 【 (2/3)×101.325 kPa】
8、单选题:
反应
在25℃平衡常数
为4.0,今以
及
各1 mol混合进行反应,则达平衡常数最大产率为( )
选项:
A: 66.7%
B: 0.334%
C: 33.4%
D: 50.0%
答案: 【 66.7%】
9、单选题:
有一可视为理想气体混合物体系的放热反应: 2 A(g) + B(g) = C(g) + D(g), 下列条件中哪一种可使反应向正向移动( )
选项:
A: 降低温度, 升高压力
B: 升高温度, 降低压力
C: 降低温度, 降低压力
D: 升高温度, 升高压力
答案: 【 降低温度, 升高压力】
10、单选题:
一定温度下, (1)
, (2)
, (3)
, (4)
四个量中,不随化学反应体系压力及组成而改变的量是
选项:
A: 3,4
B: 1,3
C: 2,4
D: 2,3
答案: 【 3,4】
11、单选题:
已知分解反应
在30℃时的平衡常数K=0.000655,则此时
的分解压力为:( )
选项:
A: 16630Pa
B: 594000Pa
C: 5542Pa
D: 2928Pa
答案: 【 16630Pa】
12、单选题:
在一定的温度下,一定量的
在一密闭容器中达到分解平衡。若往容器中充入氮气,使体系的压力增加一倍(体积不变),若各组分均可视做理想气体,则
的解离度将 ( )
选项:
A: 不变
B: 增加
C: 减少
D: 不定
答案: 【 不变】
13、单选题:
某低压下的气相反应,在T=200K时
=8314,102Pa, 则
/(
)是( )
选项:
A: 5
B: 
C: 
D: 
答案: 【 5】
14、单选题:
900℃时氧化铜在密闭的抽空容器中分解,反应为:2CuO(s)= Cu2O(s)+1/2O2(g),测得平衡时氧气的压力为1.672kPa,则其平衡常数
为:
选项:
A: 0.128
B: 0.0165
C: 0.00825
D: 7.81
答案: 【 0.128】
15、单选题:
某温度时,
分解压力是
,则分解反应的平衡常数
为( )
选项:
A: 1/4
B: 1
C: 1/2
D: 1/8
答案: 【 1/4】
16、单选题:
PCl5的分解反应PCl5(g) == PCl3(g) + Cl2(g) 在473 K达到平衡时PCl5(g) 有48.5%分解,在573 K 达到平衡时,有97 %分解,则此反应是( )
选项:
A: 吸热反应
B: 放热反应
C: 反应的标准摩尔焓变为零的反应
D: 在这两个温度下标准平衡常数相等的反应
答案: 【 吸热反应】
17、单选题:
温度升高时,固体氧化物的分解压力(分解反应是吸热反应) ( )
选项:
A: 增大
B: 降低
C: 恒定
D: 无法确定
答案: 【 增大】
18、单选题:
25℃时水的饱和蒸气压为3.168kPa, 此时液态水的标准生成吉布斯自由能
为-237.19kJ/mol,则水蒸气的标准生成吉布斯自由能为:
选项:
A: -228.60kJ/mol
B: -245.76kJ/mol
C: -229.34kJ/mol
D: -245.04kJ/mol
答案: 【 -228.60kJ/mol】
19、单选题:
可逆反应A+B(s)=C达到平衡后,无论加压或降温。B的转化率都增大,则下列结论正确的是()
选项:
A: A为气体,C为固体,正反应为放热反应
B: A为固体,C为气体,正反应为放热反应
C: A为气体,C为固体,正反应为吸热反应
D: A、C均为气体,正反应为吸热反应
答案: 【 A为气体,C为固体,正反应为放热反应】
20、单选题:

选项:
A: 
B: 
C: 
D: 
答案: 【
】
21、单选题:

选项:
A: 升高温度
B: 降低温度
C: 增加压力
D: 减小压力
答案: 【 升高温度】
22、单选题:
已知等温反应:①CH4(g)=C(s)+2H2(g);②CO(g)+2H2(g)=CH3OH(g),若提高系统总压力,则平衡移动的方向为()
选项:
A: ①向左,②向右
B: ①向右,②向左
C: ①和②都向右
D: ①和②都向左
答案: 【 ①向左,②向右】
23、单选题:

选项:
A: 降低温度
B: 提高温度
C: 提高压力
D: 定温定容加入惰性气体
答案: 【 提高温度】
24、单选题:
影响任意一个化学反应的标准平衡常数值的因素为()
选项:
A: 催化剂
B: 温度
C: 压力
D: 浓度
答案: 【 温度】
25、单选题:
下列措施中肯定使理想气体反应的标准平衡常数改变的是()
选项:
A: 增加某种产物的浓度
B: 加入反应物
C: 加入惰性气体
D: 改变反应温度
答案: 【 改变反应温度】
26、单选题:
反应2NO(g)+O2(g)=2NO2(g)是放热的,当反应在某温度和压力下达平衡时,若使反应向右移动,则应采取的措施为()
选项:
A: 降低温度和减小压力
B: 降低温度和增大压力
C: 升高温度和减小压力
D: 升高温度和增大压力
答案: 【 降低温度和增大压力】
27、单选题:
放热反应2NO(g)+O2(g)=2NO2(g)达平衡后,着分别采取①增加压力,②减少NO2的分压③增加O2分压;④升高温度;⑤加入催化剂。能使平衡向产物方向移动的是()
选项:
A: ①, ②, ③
B: ②, ③, ④
C: ③, ④, ⑤
D: ①, ②, ⑤
答案: 【 ①, ②, ③】
28、单选题:

选项:
A: T,p均下降
B: T,p均上升
C: T上升,p下降
D: T下降,p上升
答案: 【 T上升,p下降】
29、单选题:
在一定温度下,一定量的PCl5(g)在某种条件下的解离度为a,欲使a增加则需采用()
选项:
A: 增加压力使体积缩小一半
B: 保持体积不变,通入N2气使压力增加一倍
C: 保持压力不变,通入N2气使体积增加一倍
D: 保持体积不变,通入Cl2气使压力增加一倍
答案: 【 保持压力不变,通入N2气使体积增加一倍】
30、单选题:

选项:
A: 向生成NO2的方向进行
B: 正好达到平衡
C: 难以判断进行方向
D: 向生成N2O4的方向进行
答案: 【 向生成N2O4的方向进行】
31、单选题:
定温下,反应2NO2(g)=N2O4(g)达到平衡后向系统中加入惰性气体,则平衡()
选项:
A: 向右移动
B: 向左移动
C: 条件不充分,无法判断
D: 不移动
答案: 【 条件不充分,无法判断】
32、单选题:
定压下,加入惰性气体后,能使下列哪一个反应平衡转化率增大()
选项:
A: NH3(g)=0.5N2(g)+1.5H2(g)
B: 0.5N2(g)+1.5H2(g)=NH3(g)
C: CO2(g)+H2(g)=CO(g)+H2O(g)
D: C2 H5OH(l)+CH 3COOH(l)=CH3COOC2 H5(l)+H2O(l)
答案: 【 NH3(g)=0.5N2(g)+1.5H2(g)】
33、单选题:
设有理想气体反应A(g)+B(g)=C(g),在温度T、体积V的容器中,三个组分的分压分别为PA、PB、PC时达到平衡,如果在T、V恒定时,注入物质的量为nD的惰性组分,则平衡将()
选项:
A: 向右移动
B: 向左移动
C: 不移动
D: 不能确定
答案: 【 不移动】
34、单选题:
在刚性密闭容器中,理想气体反应A(g)+B(g)=Y(g)达平衡,若在定温下加入一定量的惰性气体,则平衡将()
选项:
A: 向右移动
B: 向左移动
C: 不移动
D: 无法确定
答案: 【 不移动】
35、单选题:
一密闭容器处于283.15K的恒温环境中,内有水及与其相平衡的水蒸气。现充入惰性气体(该气体既不与水反应,也不溶于水中),则水蒸气的压力()
选项:
A: 增加
B: 减少
C: 不变
D: 无法确定
答案: 【 无法确定】
36、单选题:
不能用化学平衡移动原理说明的事实是()
选项:
A: 合成氨在高压下进行是有利的
B: 温度过高对合成氨不利
C: 使用催化剂能使合成氨速率加快
D: 及时分离从合成塔中出来的混合气,有利于合成氨
答案: 【 使用催化剂能使合成氨速率加快】
37、单选题:

选项:
A: 降低温度
B: 升高温度
C: 增大压力
D: 等温等容加入惰性气体
答案: 【 升高温度】
38、单选题:

选项:
A: 0.1
B: 0.2
C: 0.9
D: 1.5
答案: 【 0.1】
39、单选题:
体积相同的甲、乙两个容器中,分别充有等物质的量的SO2和O2,在相同条件下发反应:2SO2(g)+O2(g)=2SO3(g)并达到平衡,在这个过程中,甲容器保持体积不变,乙容器保持压强不变,若甲容器中SO2转化率为p%,则乙容器中SO2转化率为
选项:
A: 等于p%
B: 大于p%
C: 小于p%
D: 无法判断
答案: 【 大于p%】
40、单选题:
在一定条件下。可逆反应2X(g)+3Y(g)
=2Z(g)达到平衡时,测得X的转化率为50%,Y的转化率为75%,则反应开始时,充入容器中的X、Y的摩尔比为()
选项:
A: 1:3
B: 3:1
C: 1:1
D: 1:2
答案: 【 1:2】
41、单选题:

选项:
A: 低温下自发过程,高温下非自发过程
B: 任何温度下均为非自发过程
C: 高温下自发过程,低温下非自发过程
D: 任何温度下均为自发过程
答案: 【 高温下自发过程,低温下非自发过程】
42、单选题:

选项:
A: O2的平衡压力与计量方程式的写法有关
B: 
C: 
D: 
答案: 【
】
43、单选题:

选项:
A: -88.087
B: 88.087
C: -38.247
D: 38.247
答案: 【 88.087】
1、单选题:

选项:
A: 
B: 
C: 
D: 
答案: 【
】
2、单选题:

选项:
A: 
B: 
C: 
D: 
答案: 【
】
3、单选题:
定义偏摩尔量时规定的条件是()
选项:
A: 恒熵恒压
B: 恒温恒压
C: 恒温,溶液浓度不变
D: 恒温恒压,溶液浓度不变
答案: 【 恒温,溶液浓度不变】
4、单选题:
关于偏摩尔量,下列说法中正确的是()
选项:
A: 偏摩尔量的绝对值都可求出
B: 系统的容量性质才有偏摩尔量
C: 同一系统的各个偏摩尔量之间彼此无关
D: 没有热力学过程就没有偏摩尔量
答案: 【 系统的容量性质才有偏摩尔量】
5、单选题:
对于偏摩尔量,下列说法①偏摩尔量必须有恒温恒压条件;②偏摩尔量不随各组分物的变化而变化;③偏摩尔量不随温度T和压力p的变化而变化;④偏摩尔量不但随温T、压力p的变化而变化,而且也随各组分浓度变化而变化,错误的是()
选项:
A: ②④
B: ③④
C: ②③
D: ①④
答案: 【 ②③】
6、单选题:

选项:
A: 0.140
B: 0.072
C: 0.028
D: 0.010
答案: 【 0.140】
7、单选题:
定温、定压下,A和B组成的均相系统,若A的偏摩尔热力学能随系统组成的改变面增加时,则B的偏摩尔热力学能的变化将()
选项:
A: 增加
B: 减少
C: 不变
D: 无法确定
答案: 【 减少】
8、单选题:
下列各式表示偏摩尔量的是()
选项:
A: 
B: 
C: 
D: 
答案: 【
】
9、单选题:
关于偏摩尔量,下面的叙述中不正确的是()
选项:
A: 偏摩尔量的数值可以是正数、负数和零
B: 溶液中每一种广度性质都有偏摩尔量,而且都不等于其摩尔量
C: 除偏摩尔吉布斯自由能外,其他偏摩尔量都不等于化学势
D: 溶液中各组分的偏摩尔量之间符合吉布斯杜亥姆关系式
答案: 【 溶液中每一种广度性质都有偏摩尔量,而且都不等于其摩尔量】
10、单选题:
恒温时,B溶解于A中形成溶液。若纯B的摩尔体积大于溶液中B的偏摩尔体积,则增加压力将使B在A中的溶解度()
选项:
A: 增大
B: 减小
C: 不变
D: 变化不确定
答案: 【 增大】
11、单选题:
下列不属于偏摩尔量的是()
选项:
A: 
B: 
C: 
D: 
答案: 【
】
12、单选题:
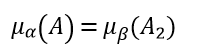
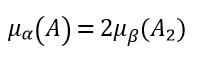
某物质溶于互不相溶的两液相α和β中,该物质在α相以A的形式存在, 在β相以A2的形式存在,则恒温、恒压下,两相平衡时,下列答案正确的是()
选项:
A: 
B: 
C: 
D: 二者无确定关系
答案: 【
】
13、单选题:
下列各式中是化学势的为()
选项:
A: 
B: 
C: 
D: 
答案: 【
】
14、单选题:
糖可以顺利溶解在水中,固体糖的化学势与糖水中糖的化学势相比()
选项:
A: 前者高于后者
B: 前者低于后者
C: 二者相等
D: 不可比较
答案: 【 前者高于后者】
15、单选题:
重结晶制取纯盐的过程中,析出的NaCl固体的化学势与母液中NaCl的化学势相比()
选项:
A: 前者高于后者
B: 前者低于后者
C: 二者相等
D: 不可比较
答案: 【 二者相等】
16、单选题:
过饱和溶液中溶质的化学势与纯溶质的化学势相比()
选项:
A: 前者高于后者
B: 前者低于后者
C: 二者相等
D: 不可比较
答案: 【 前者高于后者】
17、单选题:
过饱和溶液中溶剂的化学势与纯溶剂的化学势相比()
选项:
A: 前者高于后者
B: 前者低于后者
C: 二者相等
D: 不可比较
答案: 【 前者低于后者】
18、单选题:
在一定T、p下, A(l)和B(l)相互部分互溶而构成α和β两相,物质A由α相自发向β相转移的条件为()
选项:
A: 
B: 
C: 
D: 无法确定
答案: 【
】
19、单选题:
从多孔硅胶的强烈吸水性能说明在多孔硅胶的吸水过程中,自由水分子与吸附到硅胶表面的水分子比较,两者化学势的高低为()
选项:
A: 前者高
B: 前者低
C: 相等
D: 不可比较
答案: 【 前者高】
20、单选题:
单组分过冷液体的化学势与固体的化学势比较()
选项:
A: 前者比后者高
B: 前者比后者低
C: 二者相等
D: 不可比较
答案: 【 前者比后者高】
21、单选题:

选项:
A: 
B: 
C: 
D: 
答案: 【
】
22、单选题:
下列4种状态,纯水的化学势最大的是()
选项:
A: 373.15K、101325Pa H2O(l)的化学势µ1
B: 373.15K、101325Pa H2O(g)的化学势µ2
C: 373.15K、202650Pa H2O(1)的化学势µ3
D: 373.15K、202650Pa H2O(g)的化学势µ4
答案: 【 373.15K、202650Pa H2O(g)的化学势µ4】
23、单选题:
在373K和101.325kPa下,水的化学势µ1和水蒸气的化学势µg的关系是()
选项:
A: µ1>µg
B: µ1<µg
C: µ1=µg
D: 不能确定
答案: 【 µ1=µg】
24、单选题:
真实气体的标准态是()
选项:
A: 
B: 
C: 
D:
备案号:冀ICP备20010840号 2020-2099辉辉网络科技 All Rights Reserved