

1、单选题:
一质点沿x轴作直线运动,其v–t曲线如图所示,t=0时,质点位于坐标原点,则t=4.5s时,质点在x轴上的位置为

选项:
A: 0
B: 5m
C: 2m
D: –2m
答案: 【 2m】
2、单选题:
一质点沿x轴运动的规律是
(SI制)。则前三秒内它的
选项:
A: 位移和路程都是3m
B: 位移和路程都是-3m
C: 位移是-3m,路程是3m
D: 位移是-3m,路程是5m
答案: 【 位移是-3m,路程是5m】
3、单选题:
质点沿轨道AB作曲线运动,速率逐渐减小,图中哪一种情况正确地表示了质点在C处的加速度?

选项:
A: (1)
B: (2)
C: (3)
D: (4)
答案: 【 (3)】
4、单选题:
如图所示,质点从竖直放置的圆周顶端a处分别沿不同长度的弦ab和ac (ac<ab )由静止下滑,不计摩擦阻力。质点下滑到底部所需要的时间分别为tb和tc,则

选项:
A: tb = tc
B: tb > tc
C: tb < tc
D: 条件不足,无法判定
答案: 【 tb = tc】
5、单选题:
如图所示,一个半径R=1.0m的圆盘,可以绕一水平轴自由转动。一根轻绳绕在盘子的边缘,其自由端拴一物体A。在重力作用下,物体A从静止开始匀加速地下降,在t=2.0s内下降距离h=0.4m。物体开始下降后t’=3s末轮边缘上任一点的切向加速度at和法向加速度an的大小为

选项:
A: 0.36m/s2;0.4m/s2
B: 0.18m/s2;0.2m/s2
C: 0.36m/s2;0.2m/s2
D: 0.2m/s2;0.36m/s2
答案: 【 0.2m/s2;0.36m/s2】
6、单选题:
一小球沿斜面向上运动,其运动方程为x=5+4t-t2(SI),则小球运动到最高点的时刻是
选项:
A: t=4s
B: t=2s
C: t=8s
D: t=5s
答案: 【 t=2s】
7、单选题:
某物体的运动规律为
,式中k为大于零的常数。当t=0时,物体的初速度为v0,则速度v与时间t的函数关系是
选项:
A: 
B: 
C: 
D: 
答案: 【
】
8、单选题:
一质点作斜上抛运动,到达最高处时,其切向加速度和法向加速度的大小分别为
选项:
A: 0,g
B: 0,0
C: g,g
D: g,0
答案: 【 0,g】
9、单选题:
一物体从某一确定高度以v0的速度水平抛出,已知它落地时的速度为vt,那么它运动的时间是
选项:
A: 
B: 
C: 
D: 
答案: 【
】
10、单选题:
某人沿半径为10m的圆形场地跑步,速率为5m/s,他跑完一整圈所需的时间为
选项:
A: 3.14s
B: 6.28s
C: 12.56s
D: 25.12s
答案: 【 12.56s】
11、单选题:
质点沿半径为R的圆周运动,运动方程为θ=3+2t2(SI),则该质点的角加速度为
选项:
A: 
B: 
C: 
D: 
答案: 【
】
12、单选题:
一质点作半径为R的匀速率圆周运动,每t秒转一圈。在2t时间内,其平均速度大小与平均速率大小分别为
选项:
A:
,
B: 0,
C: 0,0
D:
,0
答案: 【 0,
】
13、单选题:
某人以4km/h的速率向东前进时,感觉风从正北吹来,如将速率增加一倍,则感觉风从东北方向吹来。实际风速与风向为
选项:
A: 4km/h,从北方吹来
B: 4km/h,从西北方吹来
C: 5.6km/h,从东北方吹来
D: 5.6km/h,从西北方吹来
答案: 【 5.6km/h,从西北方吹来】
14、单选题:
在相对地面静止的坐标系内,A、B两船都以2m/s的速率匀速行驶,A船沿x轴正向,B船沿y轴正向。今在A船上设置与静止坐标系方向相同的坐标系(x、y方向单位矢量用i、j表示),则在A船上的坐标系中,B船的速度(以m/s为单位)为
选项:
A: 2 i + 2 j
B: -2 i + 2 j
C: -2 i – 2 j
D: 2 i –2 j
答案: 【 -2 i + 2 j】
15、单选题:
一质点在平面上运动,已知质点位置矢量的表达式为r = at2 i + bt2 j (其中a、b为常量)则该质点作
选项:
A: 匀速直线运动
B: 变速直线运动
C: 抛物线运动
D: 一般曲线运动
答案: 【 变速直线运动】
1、单选题:
如图所示,假设物体沿着竖直面上圆弧形轨道下滑,轨道是光滑的,在从A至C的下滑过程中,下面哪个说法是正确的?

选项:
A: 它的加速度大小不变,方向永远指向圆心
B: 它的速率均匀增加
C: 它的合外力大小变化,方向永远指向圆心
D: 轨道支持力的大小不断增加
答案: 【 轨道支持力的大小不断增加 】
2、单选题:
竖立的圆筒形转笼,半径为R,绕中心轴OO'转动,物块A紧靠在圆筒的内壁上,物块与圆筒间的摩擦系数为μ,要使物块A不下落,圆筒转动的角速度ω至少应为

选项:
A: 
B: 
C: 
D: 
答案: 【
】
3、单选题:
一只质量为m的猴,原来抓住一根用绳吊在天花板上的质量为M的直杆,悬线突然断开,小猴则沿杆子竖直向上爬以保持它离地面的高度不变,此时直杆下落的加速度为

选项:
A: (A) g.
B: (B) 
C: (C)
D: (D)
答案: 【 (C)
】
4、单选题:
一公路的水平弯道半径为 R,路面的外侧高出内侧,并与水平面夹角为q.要使汽车通过该段路面时 不引起侧向摩擦力,则汽车的速率为
选项:
A: 
B: 
C: 
D: 
答案: 【
】
5、单选题:
一炮弹由于特殊原因在水平飞行过程中,突然炸裂成两块,其中一块作自由下落,则另一块着地点(飞行过程中阻力不计)
选项:
A: (A) 比原来更远
B: (B) 比原来更近
C: (C) 仍和原来一样远
D: (D) 条件不足,不能判定
答案: 【 (A) 比原来更远 】
6、单选题:
一盘秤读数为零,现从盘面上方高h=4.9m处将小铁球以每秒100个的速率落入盘中,铁球入盘后留存盘内,每个小球的质量m=0.02kg,且都从同一高度静止下落,则从第一颗球开始进入盘中开始计时,在第10秒时盘秤的读数为:
选项:
A: A、19.6N
B: B、196N
C: C、215.6N
D: D、21.56N
答案: 【 C、215.6N 】
7、单选题:
质量为20g的子弹沿x轴正向以500m·S-1的速率射入一木块后与木块一起沿X轴正向以50m·S-1的速率前进,在此过程中木块所受冲量的大小为
选项:
A: A、10N·S
B: B、-10N·S
C: C、9N·S
D: D、-9N·S
答案: 【 C、9N·S 】
8、单选题:
质量为m的质点,以不变速率v沿图中正三角形ABC的水平光滑轨道运动.质点越过A角时,轨道作用于质点的冲量的大小为

选项:
A: mv.
B: 
C: 
D: 2mv.
答案: 【
】
9、单选题:
质量分别为200kg和500kg的甲、乙两船静止于湖中,甲船上一质量为50kg的人通过轻绳拉动乙船,经5秒钟乙船速度达到0.5m·s-1,甲船此时的速度为
选项:
A: (A) 1m/s.
B: (B) 2m/s.
C: (C) 3m/s.
D: (D) 0.5m/s
答案: 【 (A) 1m/s. 】
10、单选题:
如图所示,质量为m的物体用细绳水平拉住,静止在倾角为q的固定的光滑斜面上,则斜面给物体的支持力为

选项:
A: 
B: 
C: 
D: 
答案: 【
】
11、单选题:
总质量为M+2m的烟花从离地面高h 处自由落到h/2时炸开,一上一下地飞出质量均为m 的两块,它们相对于烟花的速度大小相等,爆炸后烟花从h/2处落到地面的时间为t1,如烟花在自由中不爆炸,则它从h/2处落到地面的时间t2为 。
选项:
A: (A) 0.5 t1.
B: (B) t1
C: (C) 1.5 t1
D: (D) 2 t1
答案: 【 (B) t1 】
12、单选题:
质量M=10kg的物体放在光滑水平面上与一个一端自由、一端固定,弹性系数k=1000N·m-1的轻质弹簧相连。今有一质量m=1kg的小球以水平速度3m/s沿使弹簧压缩的方向飞来,与物体M碰撞后以
的速度弹回,则碰撞后弹簧的最大压缩量为 。
选项:
A: 5CM
B: 4CM
C: 3CM
D: 2CM
答案: 【 5CM 】
13、单选题:
一小船质量为100kg,静止在湖面,船头到船尾共长3.6m。现有一质量为50kg的人从船头走到船尾时,船将移动多少距离?假定水的阻力不计。
选项:
A: (A)3.6m
B: (B)2.4m
C: (C)1.2m
D: (D) 4m
答案: 【 (C)1.2m】
14、单选题:
力
,其作用点的矢径为
,则该力对坐标原点的力矩大小为
选项:
A: 
B: 
C: 
D: 
答案: 【
】
15、单选题:
在升降机天花板上拴有轻绳,其下端系一重物,当升降机以加速度a1上升时,绳中的张力正好等于绳子所能承受的最大张力的一半,问升降机以多大加速度上升时,绳子刚好被拉断?

选项:
A: (A) 2a1.
B: (B) 2(a1+g).
C: (C) 2a1+g.
D: (D) a1+g.
答案: 【 (C) 2a1+g.】
16、单选题:
如图所示,质量分别为20kg和10kg的两物体A和B,开始时静止在地板上。今以力F=394N作用于轻滑轮,设滑轮和绳的质量以及滑轮轴处摩擦可以忽略,绳子不可伸长,求物体A和B的加速度 ( )

选项:
A: aA=0.05m/s2,aB=9.9m/s2
B: aA=13.13m/s2,aB=13.13m/s2
C: aA=3.27m/s2,aB=3.27m/s2
D: aA=3.33m/s2,aB=3.33m/s2
答案: 【 aA=0.05m/s2,aB=9.9m/s2】
17、单选题:
已知水星的半径是地球半径的0.4倍,质量为地球的0.04倍。设在地球上的重力加速度为g,则水星表面上的重力加速度为: ( )
选项:
A: 0.1g;
B: 0.25g;
C: 4g;
D: 2.5g
答案: 【 0.25g;】
18、单选题:
如果一个箱子与货车底板之间的静摩擦系数为μ,当这货车爬一与水平方向成q角的小山时,不致使箱子在底板上滑动的最大加速度为 ( )
选项:
A: 
B: 
C: 
D: 
答案: 【
】
19、单选题:
如图,在光滑水平桌面上,有两个物体A和B紧靠在一起。它们的质量分别mA=2kg和mB=1kg。今用一水平力F=3N推物体B,则B推A的力等于 。如用同样大小的水平力从右边推A,则A推B的力等于 。 ( )

选项:
A: 1N;2N
B: 2N;1N
C: 1.5N;1.5N
D: 3N;3N
答案: 【 2N;1N】
20、单选题:
质量m为10kg的木箱放在地面上,在水平拉力F的作用下由静止开始沿直线运动,其拉力随时间的变化关系如图所示。若已知木箱与地面间的摩擦系数μ为0.2,那么在t=4s时,木箱的速度大小为 ;在t=7s时,木箱的速度大小为 。( g=10 m/s2 )。

选项:
A: 4m/s;2.5 m/s
B: 12m/s;16.5 m/s
C: 4m/s;0 m/s
D: 12m/s;0 m/s
答案: 【 4m/s;2.5 m/s】
21、单选题:
如图所示,用一斜向上的力(与水平成30°),将一重为G的木块压靠在竖直壁面上,如果不论用怎样大的力F,都不能使木块向上滑动,则说明木块与壁面间的静摩擦系数μ的大小为 ( )

选项:
A:

B: 
C: 
D: 
答案: 【
】
22、单选题:
一小车沿半径为R的弯道作圆周运动,运动方程为
(SI),则小车所受的向心力( ),(设小车的质量为m)。
选项:
A: 
B: 
C: 
D: 
答案: 【
】
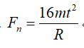
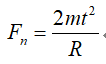
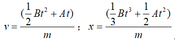
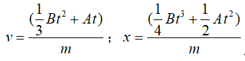
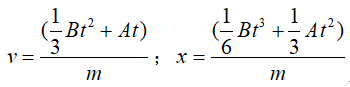
23、单选题:
质量为m的物体,在力Fx=A+Bt (SI)作用下沿x方向运动(A、B为常数),已知t=0时,x0=0,v0=0,则任一时刻:物体的速度表达式: ;物体的位移表达式: ( )
选项:
A: 
B: 
C: 
D: 
答案: 【
】
24、单选题:
一物体质量M=2kg,在合外力
的作用下,从静止出发沿水平x轴作直线运动,则当t=1s时物体的速度( )。
选项:
A: 
B: 
C: 
D: 
答案: 【
】
25、单选题:
质量为m=0.1kg的质点作半径为r=1m的匀速圆周运动,速率为v=1m/s,当它走过二分之一圆周时,动量增量= ,角动量增量= 。 ( )
选项:
A: 
B: 
C: 
D: 
答案: 【
】
26、单选题:
一质量为m的质点原来向北运动,速率为v,它突然受到外力打击,变为向西运动,速率仍为v,则外力的冲量大小为 。 ( )
选项:
A: 
B: 
C: 
D: 
答案: 【
】
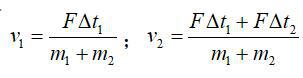
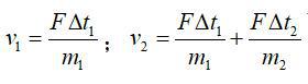
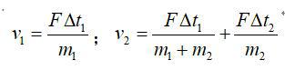
27、单选题:
一子弹水平地穿过两个静止的前后并排放在光滑水平上的木块,木块的质量分别是m1和m2,设子弹穿过木块所用的时间分别为Δt1和Δt2,求子弹穿过两木块后,两木块的运动速度v1和v2(设木块对子弹的阻力为恒力F)。 ( )

选项:
A: 
B: 
C: 
D: 
答案: 【
】
28、单选题:
一个步兵,他和枪的质量共为100kg,穿着带轮的溜冰鞋站着。现在他用自动步枪在水平方向上射出10发子弹,每颗子弹的质量为10g,而出口速度为750m/s,如果步兵可以无摩擦地向后运动,那么在第10次发射后他的速度是 ,如果发射了10s,对他的平均作用力是 。 ( )
选项:
A: 0.75m/s,7.5N
B: 0.75m/s,-7.5N
C: -0.75m/s,-7.5N
D: -0.75m/s,7.5N
答案: 【 -0.75m/s,-7.5N】
29、单选题:
一质量为10kg的物体沿x轴无摩擦地运动,设t=0,物体位于原点,速度为零,如果物体在力F=(3+6x)牛顿的作用下移动了3m(x 以米为单位)它的加速度a= ,速度v= 。 ( )
选项:
A: 2.1m/s2,2.34m/s
B: 2.1m/s2,2.3m/s
C: 2.1m/s2,2.68m/s
D: 2.1m/s2,3.6m/s
答案: 【 2.1m/s2,2.68m/s】
1、单选题:
如图所示,子弹射入放在水平光滑地面上静止的木块而不穿出,以地面为参照系,指出下列说法中正确的说法是

选项:
A: 子弹的动能转变为木块的动能;
B: 子弹一木块系统的机械能守恒;
C: 子弹动能的减少等于子弹克服木块阻力所做的功;
D: 子弹克服木块阻力所做的功等于这一过程中产生的热。
答案: 【 子弹动能的减少等于子弹克服木块阻力所做的功;】
2、单选题:
一个半径为R的水平圆盘恒以角速度w作匀速转动,一质量为m的人要从圆盘边缘走到圆盘中心处,圆盘对他所做的功为:
选项:
A: 
B: 
C: 0
D: 
答案: 【
】
3、单选题:
对功的概念有以下几种说法: (1) 保守力作正功时,系统内相应的势能增加; (2) 质点运动经一闭合路径,保守力对质点做的功为零; (3) 作用力和反作用力大小相等、方向相反,所以两者所做功的代数和必为零;在上述说法中:
选项:
A: (1)、(2)是正确的;
B: (1)、(3)是正确的;
C: 只有(2)是正确的;
D: 只有(3)是正确的。
答案: 【 只有(2)是正确的;】
4、单选题:
质量为10 kg的物体,在变力F作用下沿X轴做直线运动,力随坐标X的变化如图,物体在x=0处速度为1m/s,则物体运动到x=16 m处,速度的大小为

选项:
A:
m/s
B: 3m/s
C: 4m/s
D:
m/s
答案: 【 3m/s 】
5、单选题:
有一人造地球卫星,质量为m,在地球表面上空2倍于地球半径R的高度沿圆轨道运行,用M、R、引力常数G和地球的质量M表示卫星的动能和引力势能分别为:
选项:
A:
,
;
B:
,
;
C:
,
D:
,
;
答案: 【
,
;】
6、单选题:
在由两个物体组成的系统不受外力作用而发生非弹性碰撞的过程中,系统的
选项:
A: 动能和动量都守恒;
B: 动能和动量都不守恒;
C: 动能守恒,动量不守恒。
D: 动能不守恒,动量守恒;
答案: 【 动能不守恒,动量守恒;】
7、单选题:
一子弹以水平速度
射入一静止于光滑水平面上的木块后,随木块一起运动,对于这一过程正确的分析是
选项:
A: 子弹、木块组成的系统机械能守恒;
B: 子弹、木块组成的系统水平方向的动量守恒;
C: 子弹所受的冲量等于木块所受的冲量;
D: 子弹动能的减少等于木块动能的增加。
答案: 【 子弹、木块组成的系统水平方向的动量守恒;】
8、单选题:
质量为m的小球,以水平速度v与固定的竖直壁作弹性碰撞,设指向壁内的方向为正方向,则由于此碰撞,小球的动量变化为
选项:
A: mv
B: 0
C: 2mv
D: -2mv
答案: 【 -2mv】
9、单选题:
关于质点系动量守恒定律,下列说法中正确的是
选项:
A: 质点系不受外力作用,且无非保守内力时,动量守恒;
B: 质点系所受合外力的冲量的矢量和为零时动量守恒;
C: 质点系所受合外力恒等于零,动量守恒;
D: 动量守恒定律与所选参照系无关。
答案: 【 质点系所受合外力恒等于零,动量守恒;】
10、单选题:
如图所示,木块m固定光滑斜面下滑,当下降高度为h,重力的瞬时功率为

选项:
A: 
B: 
C: 
D: 
答案: 【
】
11、单选题:
一辆炮车放在无摩擦的水平轨道上,以仰角α斜向上发射一颗炮弹,炮车和炮弹的质量分别为m车和m.当炮弹飞离炮口时,炮车动能与炮弹动能之比为( )
选项:
A: 
B: 
C: 
D: 
答案: 【
】
12、单选题:
甲将弹簧拉伸0.05m后,乙有继续再将弹簧拉伸0.03m,甲乙两人谁做的功多些?
选项:
A: 甲比乙多
B: 乙比甲多
C: 甲和乙一样多
D: 不一定
答案: 【 乙比甲多】
13、单选题:
如图所示,一个质点在水平面内作匀速圆周运动,在自A点到B点的六分之一圆周运动过程中,下列几种结论中
(1)合力的功为零.
(2)合力为零.
(3)合力的冲量为零.
(4)合力的冲量不为零.
(5)合力不为零.
(6)合力的功不为零
正确的应为( )

选项:
A: (1)、(2)、(3)
B: (1)、(4)、(5)
C: (1)、(2)、(4)、(6)
D: (1)、(2)、(4)、(5)
答案: 【 (1)、(4)、(5)】
14、单选题:
如图所示,足够长的木条A放置在光滑水平面上,另一木块B在A的粗糙平面上滑动,则A、B组成的系统的总动能( )

选项:
A: 不变
B: 增加到一定值
C: 减少到零
D: 减小到一定值后不变
答案: 【 减小到一定值后不变】
15、单选题:
下列说法中哪个是正确的?( )
选项:
A: 系统不受外力作用,则它的机械能和动量都是守恒的.
B: 系统所受的外力矢量和为零,内力都是保守力,则机械能和动量都守恒
C: 系统所受的外力矢量和不为零,内力都是保守力,则机械能和动量都不守恒
D: 系统不受外力的作用,内力都是保守力,则机械能和动量都守恒
答案: 【 系统不受外力的作用,内力都是保守力,则机械能和动量都守恒】
16、单选题:
质量为m的质点在力作用下运动,运动方程为x=Acosωt,式中A、ω都是正的常量,则力在t=0到t=π/(2ω)这段时间内所做的功为 . ( )
选项:
A: 
B: 
C: 
D: 
答案: 【
】
17、单选题:
一质点在几个力的共同作用下运动,它的运动方程为r=3ti-5tj+10k(m),其中一个力为 F=2i+3tj-t2k(N),则最初2s内这个力对质点所做的功为 J. ( )
选项:
A: 9
B: -9
C: 18
D: -18
答案: 【 -18】
18、单选题:
一质量为m的人造卫星沿一圆形轨道运动,地球半径为R,卫星离地面的高度为2R,地球的质量为m地,则卫星的机械能为 . ( )
选项:
A: 
B: 
C: 
D: 
答案: 【
】
19、单选题:
质量分别为m和m’的两个粒子开始时处于静止状态,且彼此相距无限远,在以后任一时刻,当它们相距为d时,则该时刻两质点彼此之间接近的相对速率为 . ( )
选项:
A: 
B: 
C: 
D: 
答案: 【
】
20、单选题:
如图所示,一质量为m的小球由静止开始沿四分之一圆弧木槽滚动,木槽的质量也为m,槽的圆半径为R,放在光滑水平面上,若不计摩擦,则小球离开木槽时的速率应为 .( )

选项:
A: 
B: 
C: 
D: 
答案: 【
】
21、单选题:
如图,一质点在几个力作用下沿半径为R=20m的圆周运动,其中有一恒力F=0.6N,求质点从A开始沿逆时针方向经3/4圆周到达B的过程中,力F所做的功。 ( )

选项:
A: 
B: 
C: -12J
D: 12J
答案: 【 -12J】
22、单选题:
质量为m=0.5kg的质点,在xOy坐标平面内运动,其运动方程为x=5t2,y=0.5(SI),从t=2s到t=4s这段时间内,外力对质点的功为多少? ( )
选项:
A: 300J
B: 800J
C: 500J
D: 200J
答案: 【 300J】
23、单选题:
一质量为m的物体,在力F=ati+bt2j的作用下,由静止开始运动,求在任一时刻此力所做功的功率为多少。 ( )
选项:
A: 
B: 
C: 
D: 
答案: 【
】
24、单选题:
.如图所示,质量为0.1kg的木块,在一个水平面上和一个倔强系数为20N∙m-1的轻弹簧碰撞,木块将弹簧由静止位置压缩0.4m. 假设木块与水平面间的摩擦系数为0.25. 问在开始碰撞时木块的速率为多少? ( )

选项:
A: 4.65m/s
B: 5.62m/s
C: 6.47m/s
D: 5.83m/s
答案: 【 5.83m/s】
25、单选题:
有一物体与斜面之间的摩擦系数为0.2,斜面的倾角为45°. 设物体以10米每秒的速率沿斜面上滑,求物体能达到的高度. 当该物体返回最低点时,其速率又为多少? ( )
选项:
A: 4.25m;4.13m/s
B: 4.25m;8.16m/s
C: 2.17m;4.13m/s
D: 2.17m;8.16m/s
答案: 【 4.25m;8.16m/s】
1、单选题:
当飞轮作加速转动时,对于飞轮上到轮心距离不等的两点的切向加速度
和法向加速度
有()
选项:
A:
相同,
相同
B:
相同,
不同
C:
不同,
相同
D:
不同,
不同
答案: 【
不同,
不同】
2、单选题:
两个质量分布均匀的圆盘A和B的密度分别为
和
(
),且两圆盘的总质量和厚度均相同。设两圆盘对通过盘心且垂直于盘面的轴的转动惯量分别为
和
, 则有()
选项:
A:
B: 
C: 
D: 不能确定
、
哪个大?
答案: 【
】
3、单选题:
有两个力作用在一个有固定转轴的刚体上,下列说法不正确的是()
选项:
A: 这两个力都平行于轴作用时,它们对轴的合力矩一定是零
B: 这两个力都垂直于轴作用时,它们对轴的合力矩可能是零
C: 当这两个力对轴的合力矩为零时,它们的合力也一定是零
D: 只有这两个力在转动平面内的分力对转轴产生的力矩,才能改变刚体绕转轴转动的运动状态
答案: 【 当这两个力对轴的合力矩为零时,它们的合力也一定是零】
4、单选题:
下面说法中正确的是
选项:
A: 物体的动量不变, 动能也不变
B: 物体的动量不变, 角动量也不变
C: 物体的动量变化, 角动量也一定变化
D: 物体的动能变化, 动量却不一定变化
答案: 【 物体的动量不变, 动能也不变】
5、单选题:
一刚体以每分钟60转绕Z轴做匀速转动 (w沿转轴正方向)。设某时刻刚体上点P的位置矢量为
,单位
,以
为速度单位,则该时刻P点的速度为:
选项:
A: 
B: 
C: 
D: 
答案: 【
】
6、单选题:
一质量为m的均质杆长为l,绕铅直轴OO’成
角转动,其转动惯量为 ()

选项:
A: 
B: 
C: 
D: 
答案: 【
】
7、单选题:
轮圈半径为R,其质量M均匀布在轮缘上,长为R,质量为m的均质辐条固定在轮心和轮缘间,辐条共有2N根。今若将辐条数减少N根但保持轮对通过轮心,垂直于轮平面轴的转动惯量保持不变,则轮圈的质量为
选项:
A: 
B: 
C: 
D: 
答案: 【
】
8、单选题:
一半径为R,质量为m的圆形平板在粗糙水平桌面上,绕垂直于平板器且过圆心的轴转动,摩擦力对OO’轴之力矩为
选项:
A: 
B: 
C: 
D: 0
答案: 【
】
9、单选题:
将一轻绳绕过一滑轮边缘,绳与滑轮之间无滑动,若 (1) 将重量为P的砝码挂在绳端; (2) 用一恒力为F=P向下拉绳端,如图所示,分别用
和
表示两种情况下滑轮的角加速度,则二者的关系是:

选项:
A: 
B: 
C: 
D: 不能确定
答案: 【
】
10、单选题:
花样滑冰运动员绕自身的竖直轴转动,开始时臂伸开,转动惯量为
、角速度为
备案号:冀ICP备20010840号 2020-2099辉辉网络科技 All Rights Reserved