

1、单选题:

选项:
A: 
B: 
C: 
D: 
答案: 【 
】
2、判断题:
凡表示未知函数﹑未知函数的导数与自变量之间的关系的方程叫做微分方程。
选项:
A: 正确
B: 错误
答案: 【 正确】
3、判断题:
如果微分方程的解中含有任意常数,这样的解叫做微分方程的通解。
选项:
A: 正确
B: 错误
答案: 【 错误】
1、单选题:

选项:
A: 
B: 
C: 
D: 
答案: 【
】
2、判断题:

选项:
A: 正确
B: 错误
答案: 【 正确】
3、判断题:

选项:
A: 正确
B: 错误
答案: 【 错误】
1、单选题:

选项:
A: 
B: 
C: 
D: 
答案: 【
】
2、判断题:

选项:
A: 正确
B: 错误
答案: 【 正确】
3、判断题:

选项:
A: 正确
B: 错误
答案: 【 错误】
1、单选题:

选项:
A: 必要条件但非充分条件
B: 充分条件但非必要条件
C: 充分必要条件
D: 既非充分条件也非必要条件
答案: 【 必要条件但非充分条件 】
2、单选题:

选项:
A: 
B: 
C: 
D: 
答案: 【
】
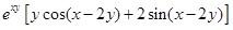
3、单选题:

选项:
A: 等于2
B: 等于1
C: 等于-1
D: 等于0
答案: 【 等于2 】
4、单选题:

选项:
A: 
B: 
C: 
D: 
答案: 【
】
5、单选题:

选项:
A: 
B: 
C: 
D: 
答案: 【
】
6、判断题:

选项:
A: 正确
B: 错误
答案: 【 正确】
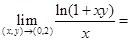
1、单选题:

选项:
A: -2
B: 0
C: 1
D: -1
答案: 【 -2】
2、单选题:

选项:
A: -0.125
B: 2
C: 1.5
D: 
答案: 【 -0.125】
3、单选题:

选项:
A: 
B: 
C: 
D: 
答案: 【
】
4、单选题:

选项:
A: 
B: 
C: 
D: 
答案: 【
】
5、单选题:

选项:
A: 
B: 
C: 
D: 
答案: 【
】
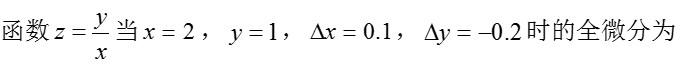
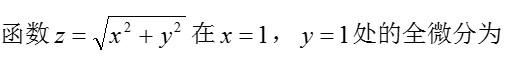
1、单选题:

选项:
A: 2
B: 0
C: 1
D: 
答案: 【 2】
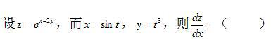
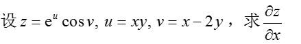
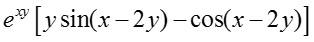
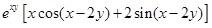
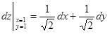
2、单选题:

选项:
A: 
B: 
C: dx+dy
D: 
答案: 【
】
3、单选题:

选项:
A: 
B: 
C: 
D: 
答案: 【
】
4、单选题:

选项:
A: 1
B: 0
C: -1
D: z
答案: 【 1】
5、单选题:

选项:
A: 充分非必要
B: 必要非充分
C: 充分且必要
D: 非充分且非必要
答案: 【 充分非必要】
6、单选题:

选项:
A: 0,0
B: 0,1
C: 0或不存在
D: 1,0
答案: 【 0,0】
7、单选题:

选项:
A: 
B: 
C: 
D: 
答案: 【
】
8、单选题:

选项:
A: 
B: xdx+ydy
C: ydx
D: xdy
答案: 【
】
9、单选题:

选项:
A: 
B: 
C: 
D: 
答案: 【
】
10、单选题:

选项:
A: 
B: 
C: 
D: 
答案: 【
】
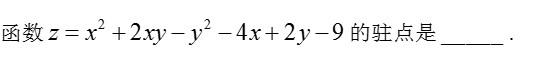
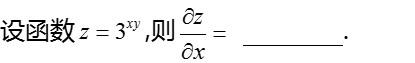
1、单选题:

备案号:冀ICP备20010840号 2020-2099辉辉网络科技 All Rights Reserved