

1、判断题:
已知几何向量 a, b 满足 |a + b| = |a – b|, 则 a 与 b 垂直。
选项:
A: 正确
B: 错误
答案: 【 正确】
2、判断题:
已知 a = (1, -2, 3), b = (2, 1, 0), c = (6, -2, 6), 则 ( a + b ) 与 c 平行。
选项:
A: 正确
B: 错误
答案: 【 正确】
3、判断题:
三个向量共面的充要条件是它们的混合积为零。
选项:
A: 正确
B: 错误
答案: 【 正确】
4、判断题:
两个向量共线的充要条件是它们的向量积为零向量。
选项:
A: 正确
B: 错误
答案: 【 正确】
5、判断题:
两个向量的数量积满足交换律。
选项:
A: 正确
B: 错误
答案: 【 正确】
6、判断题:
两个向量的向量积满足交换律。
选项:
A: 正确
B: 错误
答案: 【 错误】
7、判断题:
两个向量的向量积不满足消去律。即,存在向量 a, b, c, 使得
, 但
.
选项:
A: 正确
B: 错误
答案: 【 正确】
8、判断题:
两个向量垂直的充要条件是它们的向量积为零。
选项:
A: 正确
B: 错误
答案: 【 错误】
9、判断题:
两个向量平行的充要条件是它们的向量积为零向量。
选项:
A: 正确
B: 错误
答案: 【 正确】
10、填空题:
已知 a = (1, -2, 3), b = (2, 1, 0), c = (6, -2, 6). 计算 [abc] .
答案: 【 0】
11、填空题:
已知 a = (1, -2, 3), b = (2, 1, 0). 求
.
答案: 【 0】
12、填空题:
已知 a = (1, -2, 3), b = (2, 1, 0), c = (6, -2, 6). x = 3a + 4b – c, y = 2b + c. 求 x 与 y 的数量积。
答案: 【 68】
1、单选题:
空间中平面方程
的法向量为:
选项:
A: (2,5)
B: (2,5,3)
C: (2,5,0)
D: (2,3,0)
答案: 【 (2,5,0)】
2、单选题:
过点(1,2,1),且垂直与向量(3,4,5)的平面的一般方程为:
选项:
A: 3(x-1) + 4(y-2) + 5(z-1)=0
B: 3x + 4y + 5z -16 = 0
C: 3(x-2) + 4(y-1) + 5(z-1) = 0
D: 3x + 4y + 5z = 0
答案: 【 3x + 4y + 5z -16 = 0】
3、单选题:
过点 (2,3,5)且与平面 2x + 5y – z + 6 = 0, 平行的平面是
选项:
A: 2x – 5y + z + 6 = 0
B: – 2x – 5y + z + 11 = 0
C: 2x – 5y + z – 6 = 0
D: 2x + 5y – z – 14 = 0
答案: 【 2x + 5y – z – 14 = 0】
4、单选题:
过三点 (0, 0, 0), ( 1, 2, 1), (-1, 0 , 0) 的平面方程为
选项:
A: y + 2z = 0
B: – y + 2z = 0
C: 2y – z = 0
D: 2x – y = 0
答案: 【 – y + 2z = 0】
5、单选题:
判断下面两条直线的关系。下面的描述中,哪个最确切?

选项:
A: 两条直线平行。
B: 两条直线异面。
C: 两条直线相交。
D: 两条直线相交且垂直。
答案: 【 两条直线相交且垂直。】
6、单选题:
判定下面直线与平面的关系。选出描述最准确的。

选项:
A: 直线与平面垂直。
B: 直线与平面相交,但不垂直。
C: 直线在平面上。
D: 直线与平面平行,但不在平面上。
答案: 【 直线与平面平行,但不在平面上。】
7、单选题:
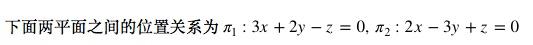
判定下面两个平面的位置关系。选出表述最准确的。
选项:
A: 重合。
B: 相交。
C: 垂直。
D: 平行但不重合。
答案: 【 平行但不重合。】
8、单选题:
点 (0, 0, -4) 到平面 3x + 4y + 5z + 10 = 0 之间的距离为:
选项:
A: 
B: 
C: 
D: 
答案: 【
】
9、多选题:
下面选项中表示过点(1,2,-1),且与向量 (0, -2, 4) 平行的直线是:
选项:
A: 
B: 
C: -2(y-2)+4(z+1)=0
D: 
答案: 【
;
;
】
10、判断题:
过点 ( 2, 0 ,0), (0, -1, 0) 和 (0, 0, 3) 的平面方程为
.
选项:
A: 正确
B: 错误
答案: 【 正确】
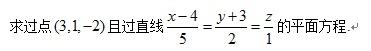
1、单选题:

选项:
A: 
B: 
C: 
D: 
答案: 【
】
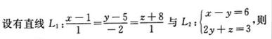
2、单选题:

选项:
A: 
B: 
C: 
D: 
答案: 【
】
3、单选题:

选项:
A: 5(x-2)+17(y+3)-21(z+1)=0
B: 5(x-2)-17(y+3)-21(z+1)=0
C: -5(x-2)+17(y+3)-21(z+1)=0
D: 5(x-2)+17(y+3)+21(z+1)=0
答案: 【 5(x-2)+17(y+3)-21(z+1)=0】
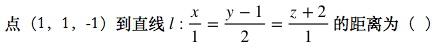
4、单选题:

选项:
A: 
B: 
C: 
D: 
答案: 【
】
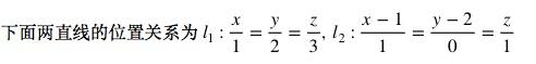
5、单选题:

选项:
A: 
B: 
C: 
D: 
答案: 【
】
6、单选题:


选项:
A: 
B: 
C: 
D: 0
答案: 【
】
7、单选题:

选项:
A: 4
B: 3
C: 2
D: 1
答案: 【 4】
8、单选题:

选项:
A: 
B: 
C: 
D: 
答案: 【
】
9、单选题:


选项:
A: 
B: 
C: 
D: 
答案: 【
】
10、单选题:

选项:
A: 
B: 
C: 
D: 
答案: 【
】
11、单选题:

选项:
A: 1
B: 2
C: 
D: 
答案: 【 1】
12、单选题:
下列陈述错误的是
选项:
A: 混合积为零的三个向量共面.
B: 数量积为零的两个向量共线.
C: 向量积为零的两个向量共线.
D: 坐标成比例的两个向量共线.
答案: 【 数量积为零的两个向量共线.】
13、单选题:

选项:
A: 
B: 
C: 
D: 
答案: 【
】
14、单选题:

选项:
A: 相交
B: 平行
C: 异面
D: 垂直
答案: 【 异面】
15、单选题:

选项:
A: 相交不垂直
B: 平行
C: 垂直
D: 无法确定
答案: 【 相交不垂直】
1、判断题:


选项:
A: 正确
B: 错误
答案: 【 正确】
2、判断题:

选项:
A: 正确
B: 错误
答案: 【 错误】
3、判断题:


选项:
A: 正确
B: 错误
答案: 【 错误】
4、判断题:

选项:
A: 正确
B: 错误
答案: 【 错误】
5、判断题:

选项:
A: 正确
B: 错误
答案: 【 错误】
1、判断题:
若向量
与
正交,则有
.
选项:
A: 正确
B: 错误
答案: 【 正确】
2、判断题:
A 为正交阵,则 A 的行(列)向量组为正交向量组。
选项:
A: 正确
B: 错误
答案: 【 正确】
3、判断题:
若 A,B 为正交阵,则
均是正交阵。
选项:
A: 正确
B: 错误
答案: 【 正确】
4、判断题:
正交向量组有可能线性相关。
选项:
A: 正确
B: 错误
答案: 【 错误】
1、单选题:

选项:
A: 
B: 
C: 
D: 
答案: 【
】
2、单选题:

选项:
A: -22
B: -88
C: 22
D: 88
答案: 【 -88】
3、单选题:

选项:
A: 
B: 
C: 
D: 
答案: 【
】
4、单选题:

选项:
A: -2
B: 4
C: 2
D: -4
答案: 【 -4】
5、单选题:


选项:
A: 
B: 
C: 
D: 
答案: 【
】
6、单选题:
下列叙述错误的是
选项:
A: 
B: 
C: 
D: 
答案: 【
】
7、多选题:

选项:
A: 
B: 
C: 
D: 
E: 
F: 
G: 
H: 
I: 
答案: 【 
备案号:冀ICP备20010840号 2020-2099辉辉网络科技 All Rights Reserved