

1、单选题:
半径为R、质量为m的均质圆盘可绕过其中心且与盘面垂直的铅垂轴转动,圆盘对此转轴的转动惯量为
选项:
A: 
B: 
C: 
D: 
答案: 【
】
2、单选题:
半径为R、质量为m的均质圆盘可绕过其中心且与盘面垂直的铅垂轴转动,圆盘与水平面间的摩擦系数为μ,则圆盘受到的摩擦力矩大小为

选项:
A: 
B: 
C: 
D: 
答案: 【
】
3、单选题:
一块边长为a、质量为
的正三角形薄板对过其一边的轴的转动惯量为
选项:
A: 
B: 
C: 
D: 
答案: 【
】
4、单选题:
长为l的不均匀细杆的线密度
= bx,x为离杆的一端O的距离,b为常数. 该杆对过O端并垂直于杆的轴的转动惯量是
选项:
A: 
B: 
C: 
D: 
答案: 【
】
5、单选题:
下列关于定轴转动刚体的运动特点,正确的是
选项:
A: 刚体(非转轴)上的任一质点都作平面圆周运动.
B: 刚体(非转轴)上的不同质点转动速度大小相等.
C: 刚体上距离转轴近的质点转动角速度小、距离转轴远的质点转动角速度大.
D: 质量小的刚体转动得快、质量大的刚体转动得慢.
答案: 【 刚体(非转轴)上的任一质点都作平面圆周运动.】
6、判断题:
刚体转动有限大的角位移可以看做矢量
选项:
A: 正确
B: 错误
答案: 【 错误】
7、判断题:
刚体转动无限小的角位移可以看做矢量
选项:
A: 正确
B: 错误
答案: 【 正确】
8、判断题:
定轴转动刚体的转动动能等于其质心运动的动能
选项:
A: 正确
B: 错误
答案: 【 错误】
9、判断题:
定轴转动刚体的转动动能与其转动角速度的平方成正比
选项:
A: 正确
B: 错误
答案: 【 正确】
10、填空题:
如图,质量分别为
= 200g、
= 250g的两个物体用不可伸长的轻绳相连,绳子套在质量
= 100g,半径r = 10cm的质量均匀的圆盘形滑轮上,绳的质量及滑轮轴承处、物体与桌面间的摩擦均可忽略不计,绳与滑轮之间无滑动.
的加速度a = m/
.

答案: 【 [3.8,4.0]】
1、单选题:
质量为m、半径为r的均质球置于粗糙的水平面上,球与水平面之间的摩擦系数为μ. 开始时球的转动角速度为
而质心静止,则经过多少时间球开始作纯滚动?(设球体对过球心的对称轴的转动惯量为 (
)
选项:
A: 
B: 
C: 
D: 
答案: 【
】
2、单选题:
如图,两光滑墙面互相垂直,在墙B上离墙面A距离s处,有一光滑钉子,将一长度为2l、质量为
的均匀杆的一端抵在墙上,杆身斜置在钉子上,使杆位于垂直于墙面A的竖直平面内,则平衡时杆与水平所成的角θ满足

选项:
A: 
B: 
C: 
D: 
答案: 【
】
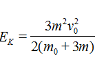
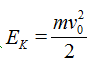
3、单选题:
如图,质量为
、半径为R的圆盘静止在光滑水平桌面上,一质量为m的子弹以速度
射入圆盘的边缘并留在该处,
的方向与入射处的半径垂直. 则子弹射入后圆盘系统总动能为

选项:
A: 
B: 
C:
备案号:冀ICP备20010840号 2020-2099辉辉网络科技 All Rights Reserved