

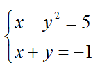
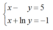
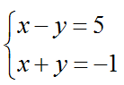
1、单选题:
下列方程组是线性方程组的有___________.
选项:
A: 
B: 
C: 
D: 
答案: 【
】
2、单选题:

选项:
A: (0,0)
B: (0,1)
C: (1,0)
D: (1,1)
答案: 【 (0,0)】
3、单选题:

选项:
A: (2,0,-2)
B: (-2,0,2)
C: (-2,-1,3)
D: (-2,1,1)
答案: 【 (2,0,-2)】
4、单选题:

选项:
A: 1
B: 2
C: 3
D: 4
答案: 【 3】
5、单选题:

选项:
A: (-1,2,0,-2)
B: (1,2,0,-2)
C: (1,2,0,2)
D: (0,2,1,-2)
答案: 【 (1,2,0,2)】
6、单选题:
解线性方程组相当于对方程组的增广矩阵进行_________.
选项:
A: 初等变换
B: 初等行变换
C: 初等列变换
D: 不确定
答案: 【 初等行变换】
7、单选题:

选项:
A: 
B: 
C: 
D: 
答案: 【
】
8、单选题:

选项:
A: 
B: 
C: 
D: 
答案: 【
】
9、单选题:

选项:
A: 
B: 
C: 
D: 
答案: 【
】
1、单选题:
下列矩阵为行最简形矩阵的是__________.
选项:
A: 
B: 
C: 
D: 
答案: 【
】
2、单选题:

选项:
A: 
B: 
C: 
D: 
答案: 【
】
3、单选题:

选项:
A: 
B: 
C: 
D: 
答案: 【
】
4、单选题:

选项:
A: 1
B: 2
C: 3
D: 4
答案: 【 3】
5、单选题:

选项:
A: k = 1
B: k = 2
C: k = -1
D: k = -2
答案: 【 k = 1】
6、单选题:

选项:
A: 1
B: 2
C: 3
D: 4
答案: 【 4】
7、单选题:

选项:
A: 
B: 
C: 
D: 
答案: 【
】
8、单选题:

选项:
A: 
B: 
C: 
D: 
答案: 【
】
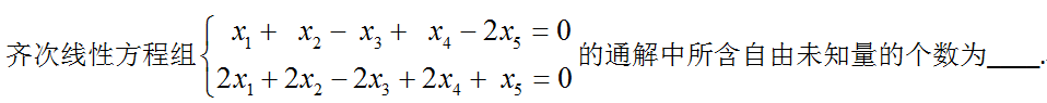
1、单选题:
排列154362的逆序数为_________.
选项:
A: 6
B: 7
C: 8
D: 9
答案: 【 7】
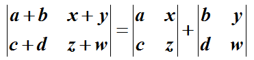
2、单选题:

选项:
A: 7
B: -7
C: 13
D: -13
答案: 【 13】
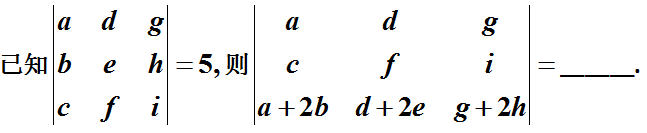
3、单选题:

选项:
A: 2
B: -2
C: 8
D: -8
答案: 【 -2】
4、单选题:

选项:
A: -3!
B: 3!
C: -4!
D: 4!
答案: 【 4!】
5、单选题:

选项:
A: -1
B: 0
C: x
D: y
答案: 【 0】
6、单选题:
下列等式错误的是_____.
选项:
A: 
B: 
C: 
D: 
答案: 【
】
7、单选题:

选项:
A: 5
B: 10
C: -5
D: -10
答案: 【 -10】
8、单选题:

选项:
A: 48
B: -48
C: 24
D: -24
答案: 【 -48】
9、单选题:

选项:
A: -189
B: -289
C: 189
D: 289
答案: 【 189】
10、单选题:

选项:
A: 4
B: 6
C: 8
D: 10
答案: 【 4】
11、单选题:

选项:
A: 
B: 
C: 
D: 
答案: 【
】
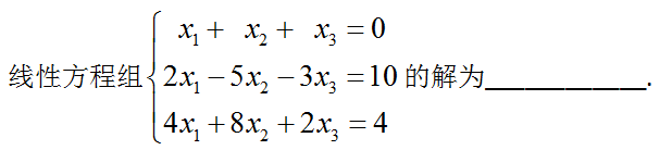
1、单选题:

选项:
A: 
B: 
C: 
D: 
答案: 【
】
2、单选题:

选项:
A: 6,3
B: -6,3
C: 6,-3
D: -6,-3
答案: 【
备案号:冀ICP备20010840号 2020-2099辉辉网络科技 All Rights Reserved