

1、判断题:
根据地球各层圈水的分布状况及其存在形式,地球上的水可分为浅部层圈水、深部层圈水两大类。
选项:
A: 正确
B: 错误
答案: 【 正确】
2、判断题:
深部层圈水分布于地壳下半部直到下地幔这一范围。这里是高温/高压条件,水仍能以普通液态水或气态水形式存在。
选项:
A: 正确
B: 错误
答案: 【 错误】
3、判断题:
地球各个层圈,从地球浅表直到地球深部,都存在水。
选项:
A: 正确
B: 错误
答案: 【 正确】
4、判断题:
地球浅表赋存大气水、地表水、地下水、生物体及矿物中的水,以H2O分子形式存在,液态为主,部分为固态和气态。
选项:
A: 正确
B: 错误
答案: 【 正确】
5、判断题:
水文循环是发生于地表水和地下水之间的水循环。
选项:
A: 正确
B: 错误
答案: 【 错误】
6、判断题:
水文循环是在太阳辐射和重力的共同作用下,以蒸发、降水、径流等方式周而复始进行的。
选项:
A: 正确
B: 错误
答案: 【 正确】
7、判断题:
海洋与大陆之间、海洋内部之间的水分交换都称为大循环。
选项:
A: 正确
B: 错误
答案: 【 错误】
8、判断题:
地质循环与水文循环一样,对地球的气候、水资源、生态环境等影响显著。
选项:
A: 正确
B: 错误
答案: 【 正确】
9、判断题:
浅部层圈和深部层圈之间水的相互转化过程称之为水的地质循环。
选项:
A: 正确
B: 错误
答案: 【 正确】
10、判断题:
水作为资源,通过水文循环水质得以持续净化,水量得以持续补充。
选项:
A: 正确
B: 错误
答案: 【 正确】
1、单选题:
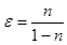
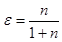
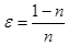
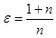
松散岩石中的孔隙度n与孔隙比之间的关系是
选项:
A: 
B: 
C: 
D: 
答案: 【
】
2、单选题:
理想等颗粒圆球状颗粒,作立方体排列时,其孔隙度等于
选项:
A: 25.95%
B: 40%
C: 47.64%
D: 52%
答案: 【 47.64%】
3、单选题:
当孔隙度为30%的砾石样中,完全充填了孔隙度为50%的粉质土,混合后的粉质砾石样的孔隙度最接近
选项:
A: 30%
B: 50%
C: 20%
D: 40%
答案: 【 20%】
4、单选题:
理想等径圆球状颗粒,作正四面体排列时,设颗粒直径为D,孔喉直径为d,孔喉直径为d 与颗粒直径为D的关系为
选项:
A: 0.10D
B: 0.155D
C: 0.22D
D: 0.414D
答案: 【 0.155D】
5、单选题:
结合水与重力水的根本的区别是结合水
选项:
A: 不能转化为气态水
B: 具有抗剪强度
C: 不能运动
D: 结合水层薄
答案: 【 具有抗剪强度】
6、单选题:
给水度(μ)、持水度(Sr)、孔隙度(n)三者之间的关系是
选项:
A: μ+Sr<n
B: μ+Sr>n
C: μ+Sr=n
D: μ+Sr≠n
答案: 【 μ+Sr=n】
7、单选题:
持水度反映的是岩土残留 的含量。
选项:
A: 结合水
B: 结合水与部分毛细水
C: 结合水与部分重力水
D: 结合水、毛细水与部分重力水
答案: 【 结合水与部分毛细水】
8、判断题:
潜水含水层的给水度随地下水位降速的减小而减小。
选项:
A: 正确
B: 错误
答案: 【 错误】
9、判断题:
粘性土孔隙度常大于理论上最大值的原因是其结构孔隙和次生孔隙发育,致密的粘性土中主要赋存结合水。
选项:
A: 正确
B: 错误
答案: 【 正确】
10、判断题:
在复杂的空隙网络中,决定水的释出滞留和传输能力的是最宽大的空隙部分。
选项:
A: 正确
B: 错误
答案: 【 错误】
11、判断题:
孔隙度是指某一体积岩石中孔隙体积所占有的比例。
选项:
A: 正确
B: 错误
答案: 【 正确】
12、判断题:
组成松散岩石的固体颗粒越粗大,孔隙度就越大。
选项:
A: 正确
B: 错误
答案: 【 错误】
13、判断题:
基岩裂隙不能构成有效的地下水运移通道。
选项:
A: 正确
B: 错误
答案: 【 错误】
14、判断题:
岩石中的空隙,必须以一定方式连接起来构成空隙网络,成为地下水有效的储容空间和运移通道。松散岩石、坚硬基岩和可溶岩石中的空隙网络具有不同的特点。
选项:
A: 正确
B: 错误
答案: 【 正确】
15、判断题:
基岩裂隙的连通性远较孔隙的连通性差。赋存于裂隙基岩中的地下水相互联系差,分布也极不均匀。
选项:
A: 正确
B: 错误
答案: 【 正确】
16、判断题:
弱结合水的外层不能被植物吸收利用。
选项:
A: 正确
B: 错误
答案: 【 错误】
17、判断题:
细小孔隙内的毛细水既受重力作用,也受表面张力(或毛细力)作用。
选项:
A: 正确
B: 错误
答案: 【 正确】
18、判断题:
松散岩石的给水度越大,其孔隙度也越大。
选项:
A: 正确
B: 错误
答案: 【 错误】
19、判断题:
容水度与含水量都是反映岩土实际含水能力的指标。
选项:
A: 正确
B: 错误
答案: 【 错误】
20、判断题:
松散岩石的容水度与孔隙度相等。
选项:
A: 正确
B: 错误
答案: 【 错误】
1、判断题:
毛细饱和带被水所饱和,所以井打到其中也可以出水。
选项:
A: 正确
B: 错误
答案: 【 错误】
2、判断题:
只有测压水位高于地面的地下水才叫承压水。
选项:
A: 正确
B: 错误
答案: 【 错误】
3、判断题:
承压含水层的承压水头是指钻空揭露承压含水层后,钻孔水面上升到一定高度后静止下来的水位,也称该点的测压高度。
选项:
A: 正确
B: 错误
答案: 【 错误】
4、判断题:
潜水面不仅承受大气压强,还承受附加表面压强。
选项:
A: 正确
B: 错误
答案: 【 错误】
5、判断题:
开采相同的水量,承压含水层的测压水位下降比潜水含水层水位下降要大得多。
选项:
A: 正确
B: 错误
答案: 【 正确】
6、判断题:
承压含水层贮水和释水机制与潜水含水层有很大区别。
选项:
A: 正确
B: 错误
答案: 【 正确】
7、判断题:
岩土的孔隙度越大,含水量越丰富,越能作为好的含水层。
选项:
A: 正确
B: 错误
答案: 【 错误】
8、判断题:
弱透水层顺层方向不传输水,在垂向上能够传输水量。
选项:
A: 正确
B: 错误
答案: 【 正确】
9、判断题:
开采半承压含水层地下水时,水主要来自承压含水层、弱透水层的释水以及相邻含水层的越流补给。
选项:
A: 正确
B: 错误
答案: 【 正确】
10、判断题:
包气带岩石中的空隙未被水完全充满,因而,包气带只含结合水与毛细水。
选项:
A: 正确
B: 错误
答案: 【 错误】
11、判断题:
含水层是指含有重力水的岩层。
选项:
A: 正确
B: 错误
答案: 【 错误】
12、判断题:
上层滞水岩层中,赋存并含有重力水。
选项:
A: 正确
B: 错误
答案: 【 正确】
13、判断题:
承压含水层上部受到隔水岩层的限制,因此,承压水与大气没有直接联系。
选项:
A: 正确
B: 错误
答案: 【 错误】
14、判断题:
潜水与承压水在一定条件下是可以互相转化的。
选项:
A: 正确
B: 错误
答案: 【 正确】
1、单选题:
给水度μ、有效孔隙度ne和孔隙度n之间的关系是
选项:
A: μ=ne=n
B: μ<ne<n
C: μ=ne<n
D: μ>ne<n
答案: 【 μ<ne<n】
2、单选题:
达西定律适用于
选项:
A: 所有层流运动
B: 层流运动和紊流运动
C: 雷诺数小于1~10的层流运动
D: 稳定流
答案: 【 雷诺数小于1~10的层流运动】
3、单选题:
渗透系数K与 有关。
选项:
A: 岩石的孔隙性质
B: 渗透流速和水力梯度
C: 液体的物理性质
D: 岩石的孔隙性质和液体的物理性质
答案: 【 岩石的孔隙性质和液体的物理性质】
4、单选题:
在各向同性介质中,流线和等水头线的关系是
选项:
A: 正交
B: 斜交
C: 平行
D: A和B
答案: 【 正交】
5、单选题:
在达西实验中,将达西实验仪倾斜放置,得到砂柱的渗透系数 实验中达西仪垂直放置的结果。
选项:
A: 大于
B: 等于
C: 小于
D: A或B
答案: 【 等于】
6、单选题:
地表水(河、渠等)的横断面的湿周,通常是一条 。
选项:
A: 等水头线
B: 流线
C: 零通量线
D: 最大通量线
答案: 【 等水头线】
7、单选题:
在排泄区打井,通常井越深,井中水位 。
选项:
A: 越低
B: 不变
C: 越高
D: A或B
答案: 【 越高】
8、单选题:
地下水运动中常用位置水头与压力水头之和替代“总水头”,或根据测压水头的大小判断地下水的流动方向,这是因为 。
选项:
A: 常出现紊流
B: 动能相对于势能可忽略不计
C: 动能相对于势能太大
D: 无动能
答案: 【 动能相对于势能可忽略不计】
9、判断题:
水
备案号:冀ICP备20010840号 2020-2099辉辉网络科技 All Rights Reserved