

1、单选题:
静力学所讨论的力学规律适用条件为 。
选项:
A: 理想流体
B: 实际流体
C: 理想流体和实际流体均适用
D: 理想流体和实际流体均不适用
答案: 【 理想流体和实际流体均适用】
2、单选题:
由于真空区段的存在,虹吸管顶部高出____的高度Zs理论上不能大于最大真空度,即10m水柱。
选项:
A: 下游水面
B: 上游水面
C: 地面
D: 管子出水口
答案: 【 上游水面】
3、单选题:
静止液体中存在 。
选项:
A: 压应力
B: 压应力和拉应力
C: 压应力和切应力
D: 压应力、拉应力和切应力
答案: 【 压应力】
4、单选题:
对于平衡液体 。
选项:
A: 等压面与质量力不正交
B: 等压面不可能为水平面
C: 等压面的形状与液体密度有关
D: 两种液体的交界面为等压面
答案: 【 两种液体的交界面为等压面】
5、单选题:
自由下落的液滴所受的单位质量力为。
选项:
A: fx=0,fy=0,fz=0
B: fx=0,fy=0,fz=-g
C: fx=0,fy=0,fz=g
D: fx=0,fy=0,fz=2g
答案: 【 fx=0,fy=0,fz=0】
6、单选题:
相对压强是指该点的绝对压强与 的差值。
选项:
A: 标准大气压
B: 当地大气压
C: 工程大气压
D: 真空压强
答案: 【 当地大气压】
7、单选题:
凡是与水接触的_______称为受压面。
选项:
A: 平面
B: 曲面
C: 壁面
D: 底面
答案: 【 壁面】
8、单选题:
任意形状平面壁上静水压力的大小等于_____处静水压强乘以受压面的面积。
选项:
A: 受压面的中心
B: 受压面的重心
C: 受压面的形心
D: 受压面的垂心
答案: 【 受压面的形心】
9、单选题:
垂直放置的矩形平板挡水,水深3m,静水总压力Fp的作用点,到水面的距离为_______。
选项:
A: 1.25m
B: 1.5m
C: 2m
D: 2.5m
答案: 【 2m】
1、单选题:
水力半径是 。
选项:
A: 湿周除以过水断面积
B: 过水断面积除以湿周的平方
C: 过水断面积的平方根
D: 过水断面积除以湿周
答案: 【 过水断面积除以湿周】
2、单选题:
若流动是一个坐标量的函数,又是时间t的函数,则流动为 。
选项:
A: 一元流动
B: 二元流动
C: 一元非恒定流动
D: 一元恒定流动
答案: 【 一元非恒定流动】
3、单选题:
恒定流动是 。
选项:
A: 流动随时间按一定规律变化
B: 流场中任意空间点上的运动要素不随时间变化
C: 各过流断面的速度分布相同
D: 静止的流体所在流场
答案: 【 流场中任意空间点上的运动要素不随时间变化 】
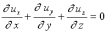
4、单选题:
1.方程
(ux,uy,uz分别为速度在三个坐标轴方向的分量)成立的条件是 。
选项:
A: 理想流体
B: 流体不可压缩
C: 连续介质模型
D: 流动无旋
答案: 【 流体不可压缩】
5、单选题:
方程ρ·v·A=常数(ρ为流体的密度,v断面平均流速,A为总流的过流断面面积),成立的条件是 。
选项:
A: 理想流体
B: 恒定流动
C: 不可压缩
D: 无粘
答案: 【 不可压缩】
6、单选题:
一变直径管,直径d1=320mm,d2=160mm,流速v1=1.5m/s,v2为 。
选项:
A: 3m/s
B: 4m/s
C: 6m/s
D: 9m/s
答案: 【 6m/s】
7、单选题:
下图中,小方块表示质点在不同位置的运动情况,哪个流动属于有势流动?
选项:
A: 
B: 
C: 
D: 
答案: 【
】
8、单选题:
速度场为
(m/s),求τ=2秒时,位于(2,
备案号:冀ICP备20010840号 2020-2099辉辉网络科技 All Rights Reserved