

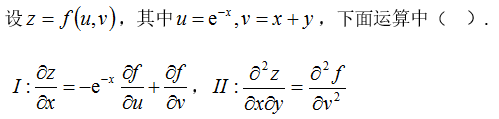
1、单选题:

选项:
A: 互相垂直
B: 互相平行但直线不在平面上
C: 既不平行也不垂直
D: 直线在平面上
答案: 【 直线在平面上】
1、单选题:

选项:
A: 
B: 
C: 
D: 
答案: 【
】
2、单选题:

选项:
A: 
B: 
C: 
D: 
答案: 【
】
3、单选题:

选项:
A: 
B: 
C: 
D: 
答案: 【
】
4、单选题:

选项:
A: 
B: 
C: 
D: 
答案: 【
】
5、单选题:

选项:
A: 
B: 
C: 
D: 
答案: 【
】
6、单选题:

选项:
A: 
B: 
C: 
D: 
答案: 【
】
7、单选题:

选项:
A: 
B: 
C: 
D: 
答案: 【
】
8、单选题:

选项:
A: 
B: 
C: 
D: 
答案: 【
】
9、单选题:

选项:
A: 
B: 
C: 
D: 
答案: 【
】
10、单选题:

选项:
A: 
B: 
C: 
D: 
答案: 【
】
11、单选题:

选项:
A: 
B: 
C: 
D: 
答案: 【
】
12、单选题:

选项:
A: 
B: 
C: 
D: 
答案: 【
】
13、单选题:

选项:
A: 
B: 
C: 
D: 
答案: 【
】
14、单选题:

选项:
A: 
B: 
C: 
D: 
答案: 【
】
15、单选题:

选项:
A: 
B: 
C: 
D: 
答案: 【
】
1、单选题:

选项:
A: 
B: 
C: 
D: 
答案: 【
】
1、单选题:

选项:
A: 
B: 
C: 
D: 
答案: 【
】
2、单选题:

选项:
A: 
B: 
C: 
D: 
答案: 【
】
3、单选题:

选项:
A: 
B: 
C: 
D: 
答案: 【
】
4、单选题:

选项:
A: 
B: 
C: 
D: 
答案: 【
】
5、单选题:

选项:
A: 
B: 
C: 
D: 
答案: 【
】
6、单选题:

选项:
A: 
B: 
C: 
D: 
答案: 【
】
7、单选题:

选项:
A: 1250
B: 1350
C: 1050
D: 1550
答案: 【 1250】
8、单选题:

选项:
A: 1
B: 2
C: 3
D: 4
答案: 【 1】
9、单选题:

选项:
A: 1
B: 2
C: 3
D: 4
答案: 【 3】
10、单选题:

选项:
A: 极大值点
B: 极小值点
C: 不是极值点
D: 无法判定
答案: 【 不是极值点】
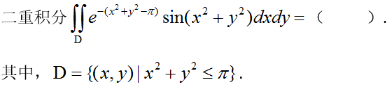
11、单选题:

选项:
A: 2
B: 
C: 
D: 4
答案: 【
】
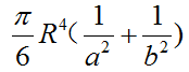
12、单选题:

选项:
A: 2
B: 
C: 
D: 4
答案: 【
】
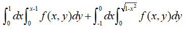
13、单选题:

选项:
A: 2
B: 
C: 
D: 
答案: 【
】
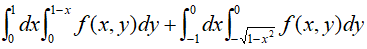
14、单选题:

选项:
A: 
B: 
C: 
D: 
答案: 【
】
15、单选题:

选项:
A: 
B: 
C: 
D: 
答案: 【
】
1、判断题:
二元函数的最值一定是极大值。
选项:
A: 正确
B: 错误
答案: 【 错误】
1、单选题:

选项:
A: 
B: 
C: 
D: 
答案: 【
】
1、单选题:

选项:
A: 
B: 
C: 
D: 
答案: 【
】
1、单选题:

选项:
A: 
B: 
C: 
D: 
答案: 【
】
1、单选题:

选项:
A: 
B: 
C: 
D: 
答案: 【
】
1、单选题:

选项:
A: 
B: 
C: 
D: 
答案: 【
】
2、单选题:

选项:
A: 
B: 
C: 
D: 
答案: 【
】
3、单选题:

选项:
A: 
B: 
C: 
D: 
答案: 【
】
4、单选题:

选项:
A: 
B: 
C: 
D: 
答案: 【
】
5、单选题:

选项:
A: 
B: 
C: 
D: 
答案: 【
】
6、单选题:

选项:
A: 
B: 
C: 
D: 
答案: 【
】
7、单选题:

选项:
A: 
B: 
C: 0
D: 1
答案: 【
】
8、单选题:

选项:
A: 
B: 
C: 
D: 
答案: 【
】
9、单选题:

选项:
A: 
B: 
C: 
D: 
答案: 【
】
10、单选题:

选项:
A:
备案号:冀ICP备20010840号 2020-2099辉辉网络科技 All Rights Reserved