

1、单选题:
数列5,10,15,20,…的通项公式是( )
选项:
A: 
B: 
C: 
D: 
答案: 【 
】
2、单选题:

选项:
A: 
B: 
C: 
D: 
答案: 【
】
3、单选题:

选项:
A: 
B: 
C: 
D: 
答案: 【
】
4、单选题:

选项:
A: 10
B: 11
C: 12
D: 13
答案: 【 11】
5、单选题:

选项:
A: 
B: 
C: 
D: 
答案: 【
】
6、判断题:
数列“1,2,3,4,5”与数列“5 ,4, 3,2,1 ”是 同一个数列。
选项:
A: 正确
B: 错误
答案: 【 错误】
1、单选题:

选项:
A: 8
B: 12
C: 21
D: 25
答案: 【 25】
2、判断题:
数列1,2,3,4,5.与数列1,2,3,4,5,… 是相同的数列. ( )
选项:
A: 正确
B: 错误
答案: 【 错误】
3、填空题:
数列1,2,3,4,5,…是 (有穷或无穷)数列.
答案: 【 无穷】
4、填空题:
观察下面数列的特点,用适当的数填空:2,4,6,8,10, ,14.
答案: 【 12】
1、填空题:

答案: 【 5】
2、填空题:

答案: 【 5】
3、填空题:

答案: 【 9】
4、填空题:

答案: 【 20】
5、填空题:

答案: 【 2】
1、单选题:

选项:
A: 
B: 
C: 
D: 
答案: 【
】
2、单选题:

选项:
A: 25
B: 26
C: 27
D: 28
答案: 【 27】
3、判断题:
数列1,3,5,7,…的第7项是11. ( )
选项:
A: 正确
B: 错误
答案: 【 错误】
4、判断题:

选项:
A: 正确
B: 错误
答案: 【 错误】
5、判断题:

选项:
A: 正确
B: 错误
答案: 【 正确】
6、填空题:

答案: 【 5】
1、单选题:

选项:
A: 2
B: 4
C: 10
D: 20
E: 6
F: 8
答案: 【 20】
2、判断题:

选项:
A: 正确
B: 错误
答案: 【 错误】
3、填空题:

答案: 【 9】
4、填空题:

答案: 【 5n-2】
5、填空题:

答案: 【 3】
6、填空题:

答案: 【 1】
1、单选题:

选项:
A: 
B: 
C: 
D: 
答案: 【
】
2、单选题:
数列1,-1,1,-1,……的通项公式是( )
选项:
A: 
B: 
C: 
D: 
答案: 【
】
3、判断题:
任何数列都有通项公式.( )
选项:
A: 正确
B: 错误
答案: 【 错误】
4、判断题:

选项:
A: 正确
B: 错误
答案: 【 错误】
5、填空题:
按照数列1,2,4,7,11,16,… 的前几项的规律,该数列的第8项是 .
答案: 【 29】
1、填空题:

答案: 【 11-2n】
2、填空题:

答案: 【 22】
3、填空题:

答案: 【 -71】
4、填空题:

答案: 【 3n-35】
1、填空题:
732与-136的等差中项为( )
答案: 【 298】
2、填空题:
5,x+1,9成等差数列,则x为( )
答案: 【 6】
3、填空题:

答案: 【 6】
4、填空题:

答案: 【 5】
5、填空题:

答案: 【 3】
1、判断题:
a9= a3+(3-9)d ( )
选项:
A: 正确
B: 错误
答案: 【 错误】
2、填空题:
等差数列中,a10=a4+( )d
答案: 【 6】
3、填空题:
等差数列中,a3=8,d=4,则a7=
答案: 【 24】
4、填空题:
在等差数列{an}中,a5=0,a10=10,则d= .
答案: 【 2】
1、判断题:
数列﹣7,﹣3,1,5,……,是等差数列( ).
选项:
A: 正确
B: 错误
答案: 【 正确】
2、判断题:
等差数列4,2,0,﹣2,……的公差d=2( ).
选项:
A: 正确
B: 错误
答案: 【 错误】
3、填空题:
数列3,6,( ),12……是等差数列.
答案: 【 9】
4、填空题:
等差数列12,7,2,﹣3,……的公差d=( ).
答案: 【 -5】
5、填空题:
等差数列( ),( ),13,( ),( ),( ),……的公差d=2,则第二项是( ).
答案: 【 11】
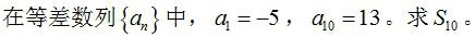
1、单选题:

选项:
A: 190
B: 200
C: 210
D: 220
答案: 【 190】
2、单选题:

选项:
A: 
B: 
C: 
D: 
答案: 【
】
3、单选题:

选项:
A: 1
B: 2
C: 3
D: 4
答案: 【 2】
4、单选题:

选项:
A: 48
B: 32
C: 27
D: 18
答案: 【 18】
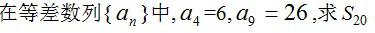
1、单选题:

选项:
A: 4
B: 5
C: 6
D: 7
答案: 【 6】
2、单选题:

选项:
A: 
B: 
C: 
D: 
答案: 【
】
3、填空题:

答案: 【 27】
4、填空题:

答案: 【 4】
5、填空题:

答案: 【 45】
6、填空题:

答案: 【 6】
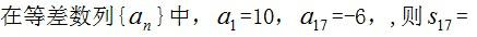
1、单选题:

选项:
A: 0
B: -1
C: 5
D: 1
答案: 【 1】
2、单选题:

选项:
A: 32
B: 31
C: 30
D: 29
答案: 【 32】
3、单选题:

选项:
A: 3000
B: 4380
C: 2700
D: 2900
答案: 【 2700】
1、单选题:

选项:
A: 24
B: 18
C: 54
D: 12
答案: 【 54】
2、单选题:

选项:
A: 8
B: 4
C: 2
D: 1
答案: 【 4】
3、判断题:
等比数列5,-15,45,……的第四项是135.
选项:
A: 正确
B: 错误
答案: 【 错误】
1、单选题:
等比数列{an}:9,3,1,…,则公比q = ( )
选项:
A: 
B: 
C: 3
D: -3
答案: 【
】
2、判断题:
数列1,3,9,27,…是等比数列.
选项:
A: 正确
B: 错误
答案: 【 正确】
3、判断题:
数列1,0,1,0,…是等比数列.
选项:
A: 正确
B: 错误
答案: 【 错误】
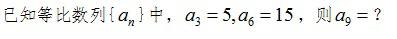
1、单选题:

选项:
A: 27
B: -27
C: 9
D: -9
答案: 【 -9】
2、判断题:

选项:
A: 正确
B: 错误
答案: 【 错误】
3、判断题:

选项:
A: 正确
B: 错误
答案: 【 正确】
1、单选题:

选项:
A: -2
B: 0
C: 2
D: -7
答案: 【 0】
2、单选题:

选项:
A: 10
B: 11
C: 12
D: 13
答案: 【 12】
1、单选题:

选项:
A: 3
B: 4
C: 5
D: 6
答案: 【 6】
2、填空题:

答案: 【 40】
3、填空题:

答案: 【 640】
4、填空题:

答案: 【 -12】
5、填空题:

答案: 【 34】
6、填空题:

答案: 【 72】
1、单选题:

选项:
A: 
B: 
C: 
D: 
答案: 【
】
2、填空题:

答案: 【 15】
3、填空题:
备案号:冀ICP备20010840号 2020-2099辉辉网络科技 All Rights Reserved