

1、单选题:
通过试件所测得的材料的力学性能,可用于构件内部的任何部位。这是因为对可变形固体采用了( )。
选项:
A: 均匀性假设
B: 各向同性假设
C: 小变形假设
D: 连续性假设
答案: 【 均匀性假设】
2、单选题:
下列材料中,不属于各向同性材料的有( )。
选项:
A: 钢材
B: 塑料
C: 浇筑很好的混凝土
D: 木材
答案: 【 木材】
3、单选题:
构件的强度、刚度和稳定性( )。
选项:
A: 只与材料的力学性质有关
B: 只与构件的形状尺寸有关
C: 与材料的力学性质和构件的形状尺寸都有关
D: 与材料的力学性质和构件的形状尺寸都无关
答案: 【 与材料的力学性质和构件的形状尺寸都有关】
4、单选题:
在下列关于内力和应力的讨论中,说法( )是正确的。
选项:
A: 内力是应力的代数和
B: 内力是应力的矢量和
C: 应力是内力的平均值
D: 应力是内力的分布集度
答案: 【 应力是内力的分布集度】
5、单选题:
在下列说法中( )是错误的。
选项:
A: 应变分线应变和角应变两种
B: 应变是变形程度的度量
C: 应变是位移的度量
D: 线应变是无量纲物理量
答案: 【 应变是位移的度量】
6、单选题:
图示构件中,杆2和杆3分别发生( )变形。

选项:
A: 拉伸和弯曲
B: 压缩和弯曲
C: 弯曲和剪切
D: 弯曲和剪切
答案: 【 压缩和弯曲】
7、单选题:
图示受扭圆轴,AB段( )。

选项:
A: 有变形,无位移
B: 有位移,无变形
C: 既有变形又有位移
D: 既无变形又无位移
答案: 【 既有变形又有位移】
8、单选题:
图示两个单元体(a)和(b)的角应变分别等于( )。设虚线表示受力后的形状。

选项:
A: 2γ,γ
B: 2γ,0
C: 0,γ
D: 0,2γ
答案: 【 0,γ】
9、单选题:
在杆件的某斜截面上,各点的正应力( )。
选项:
A: 大小一定相等,方向一定平行
B: 大小不一定相等,但方向一定平行
C: 大小不一定相等,方向也不一定平行
D: 大小一定相等,但方向不一定平行
答案: 【 大小不一定相等,但方向一定平行】
10、单选题:
图示悬臂梁,若力偶M在梁上任意移动时,则梁的( )。

选项:
A: 支反力变化,B端位移不变
B: 支反力不变,B端位移变化
C: 支反力和B端位移都不变
D: 支反力和B端位移都变化
答案: 【 支反力不变,B端位移变化】
11、单选题:
研究构件或其一部分的平衡问题时,可以采用构件变形前的原始尺寸进行计算,这是因为采用了( )。
选项:
A: 平面假设
B: 连续均匀假设
C: 小变形假设
D: 各向同性假设
答案: 【 小变形假设】
12、单选题:
四边形平板变形后为图示虚线平行四边形,水平轴线在四边形AC边保持不变。则平板A点的切应变为( )。

选项:
A: 0.0121rad
B: 0.693°
C: 0. 0081rad
D: 0.464°
答案: 【 0.0121rad】
13、单选题:
图示刚性梁在A点铰接,B和C点由钢索吊挂,作用在H点的力F引起C点的铅重位移为10mm,钢索CE和BD的应变分别为( )。

选项:
A: 0.0025和0.0011
B: 0.0025mm和0.0011mm
C: 0.0025和0.0025
D: 0.0025mm和0.0025mm
答案: 【 0.0025和0.0011】
1、单选题:
关于
有如下四种论述,请判断哪一个是正确的( )。
选项:
A: 弹性应变为0.2%时的应力值
B: 总应变为0.2%时的应力值
C: 塑性应变为0.2%时的应力值
D: 塑性应变为0.2时的应力值
答案: 【 塑性应变为0.2%时的应力值】
2、单选题:
关于低碳钢试样拉伸至屈服时,有以下结论,请判断哪一个是正确的( )。
选项:
A: 应力和塑性变形很快增加,因而认为材料失效
B: 应力和塑性变形虽然很快增加,但不意味着材料失效
C: 应力微小波动,塑性变形很快增加,因而认为材料失效
D: 应力微小波动,塑性变形很快增加,但不意味着材料失效
答案: 【 应力微小波动,塑性变形很快增加,因而认为材料失效】
3、单选题:
受拉杆如图所示,其中在BC段内有( )。

选项:
A: 有位移,无变形
B: 有变形,无位移
C: 既有变形,也有位移
D: 既无位移,又无变形
答案: 【 有位移,无变形】
4、单选题:
图示结构,AC为刚性杆,杆1和杆2的抗拉(压)刚度相等。当杆1的温度升高时,两杆的轴力变化可能有以下四种情况,问哪一种正确( )。

选项:
A: 两杆轴力均减小
B: 两杆轴力均增大
C: 杆1轴力减小,杆2轴力增大
D: 杆1轴力增大,杆2轴力减小
答案: 【 杆1轴力减小,杆2轴力增大】
5、单选题:
工程上通常以断后伸长率A区分材料,对于脆性材料有四种结论,其中正确的是( )。
选项:
A: A<5%
B: A<0.5%
C: A<2%
D: A<0.2%
答案: 【 A<5%】
6、单选题:
关于消除外力后,消失的变形和残余的变形的描述,以下结论哪个是正确的( )。
选项:
A: 分别称为塑性变形、弹性变形
B: 通称为塑性变形
C: 分别称为弹性变形、塑性变形
D: 通称为弹性变形
答案: 【 分别称为弹性变形、塑性变形】
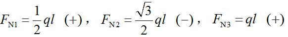
7、单选题:
图示结构中,1,2,3各杆的轴力分别是( )。

选项:
A: 
B: 
C: 
D: 
答案: 【
】
8、单选题:
如图所示,在拉伸试件的A和B处分别安装有两个变形测量仪,其放大倍数各为
=1200,
=1000,标距均为s=20mm,受拉后测量仪的读数增量
=36 mm,
= -10mm。则此材料的泊松比μ为( )。

选项:
A: 3
B: -1/3
C: 1/3
D: -3
答案: 【 1/3】
9、单选题:
图示简易吊车中,BC为钢杆,AB为木杆。木杆AB的横截面面积Aw=100
,许用应力
=7MPa;钢杆BC的横截面面积Ast=6
,许用拉应力
=160MPa。则许可吊重F是( )。

选项:
A: 192 kN
B: 30.5 kN
C: 40.5 kN
D: 60 kN
答案: 【 40.5 kN】
10、单选题:
如图所示正方形桁架中5根杆的抗拉刚度均为EA,若各杆均为小变形,则AB两点的相对位移是( )。

选项:
A: 
B: 
C: 
D: 
答案: 【
】
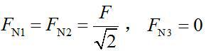
11、单选题:
材料、横截面面积、长度均相同的3根杆铰接于A点,结构受力如图所示,则3根杆的内力分别是( )。

选项:
A: 
B: 
C: 
D: 
答案: 【
】
12、单选题:
如图所示钢杆的直径为5mm,左端固定有墙A,右端B与墙B′ 有间隙δ=1mm,截面C上作用有外载荷F=20kN(忽略C处套环的影响),已知弹性模量Est=200GPa,求A及B′处的支反力分别是( )。

选项:
A: 
B: 
C: 
D: 
答案: 【
】
13、单选题:
如图所示,杆AB和CD均为刚性杆,则此结构为( )结构。

选项:
A: 静定
B: 一次超静定
C: 二次超静定
D: 三次超静定
答案: 【 静定】
14、单选题:
关于材料的塑性指标有以下结论,哪个是正确的( )。
选项:
A: 屈服极限
和断后伸长率
B: 屈服极限
和断面收缩率
C: 断后伸长率
和断面收缩率
D: 屈服极限
、断后伸长率
和断面收缩率
答案: 【 断后伸长率
和断面收缩率
】
15、判断题:
一杆系结构如图所示,设两杆拉压刚度EA为相同常数,则节点C的水平位移为0。

选项:
A: 正确
B: 错误
答案: 【 正确】
16、判断题:
下屈服点是屈服阶段中,不计初始瞬时效应时的最小应力。
选项:
A: 正确
B: 错误
答案: 【 正确】
17、判断题:
低碳钢的抗拉能力小于抗剪能力,铸铁的抗压能力大于抗剪能力。
选项:
A: 正确
B: 错误
答案: 【 错误】
18、判断题:
低碳钢压缩实验曲线一直是上扬的,因此极限应力为无穷。
选项:
A: 正确
B: 错误
答案: 【 错误】
1、单选题:
图示两木杆(Ⅰ和Ⅱ)连接接头,承受轴向拉力作用,下面四个选项不正确的是( )。

选项:
A: 1-1截面偏心受拉
B: 2-2为受剪面
C: 3-3为挤压面
D: 4-4为挤压面
答案: 【 4-4为挤压面】
2、单选题:
在连接件剪切强度的实用计算中,许用切应力[τ]是由( )。
选项:
A: 精确计算得到的
B: 拉伸试验得到的
C: 剪切试验得到的
D: 扭转试验得到的
答案: 【 剪切试验得到的】
3、单选题:
图示铆钉连接,铆钉的挤压应力
为( )。

选项:
A: 
B: 
C: 
D: 
答案: 【
】
4、单选题:
图示木接头,水平杆与斜杆成α角,其挤压面积
为( )。

选项:
A: 
B: 
C: 
D: 
答案: 【
】
5、单选题:
图示在拉力F的作用下的螺栓,已知螺栓的许用切应力[τ] 是拉伸许用应力的0.6 倍。螺栓直径d和螺栓头高度h 的合理比值为( )。

选项:
A: 1.2
B: 2.4
C: 2.0
D: 3.0
答案: 【 2.4】
6、单选题:
插销穿过水平放置的平板上的圆孔,在其下端受一拉力F作用。该插销的剪切面面积和挤压面面积分别等于( )。

选项:
A: 
B: 
C: 
D: 
答案: 【
】
7、单选题:
冲床如图所示,若要在厚度为t的钢板上冲出直径为d的圆孔,则冲头的冲压力F必须不小于( )。已知钢板的剪切强度极限
和屈服极限
。

选项:
A: 
B: 
C: 
D: 
答案: 【
】
8、单选题:
图示连接件,插销剪切面上的切应力为( )。

选项:
A: 
B: 
C: 
D: 
答案: 【
】
9、单选题:
图示连接件,挂钩的最大挤压应力为( )。

选项:
A: 
B: 
C:
备案号:冀ICP备20010840号 2020-2099辉辉网络科技 All Rights Reserved