

1、判断题:
一个矢量与一个实数相乘后仍为矢量。
选项:
A: 正确
B: 错误
答案: 【 正确】
2、填空题:
两个矢量相加 交换律和结合律。(满足/不满足)
答案: 【 满足】
3、填空题:
一个标量和一个矢量 直接相加。(可以/不可以)
答案: 【 不可以】
1、单选题:
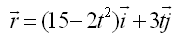
质点的运动函数为
. 则该质点在t 时刻的位置矢量为 [ ] (SI)
选项:
A: 
B: 
C: 
D: 
答案: 【
】
2、单选题:
质点由A点运动到B点,以下说法正确的是[ ].
选项:
A: 位移是唯一的
B: 路程是唯一的
C: 位移的大小就是路程
D: 位移一定大于路程
答案: 【 位移是唯一的】
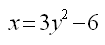
3、单选题:
一质点沿x轴运动的规律是
, 则前3s内它的位移和路程分别为[ ]m
选项:
A: 3, 3
B: -3, -3
C: -3, 5
D: 3, 7
答案: 【 -3, 5】
4、单选题:
质点t1=0时从静止出发,沿半径为R=3m的圆周作匀变速率运动,切向加速度at=3m/s2, 则该质点的总加速度恰好与半径成45°角的时刻为t = [ ]s
选项:
A: 1
B: 2
C: 1.5
D: 0.5
答案: 【 1】
5、单选题:

选项:
A: 
B: 
C: 
D: 
答案: 【
】
6、单选题:
有人沿着半径为R的圆形跑道跑了半圈,他走过的路程和位移的大小分别为[ ]
选项:
A: 2pR ;R
B: pR ; R
C: pR ;2pR
D: pR ;2R
答案: 【 pR ;2R】
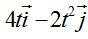
7、单选题:
质点的运动函数为x = 4t, y=15- 3t^2(SI). 则该质点在t 时刻的速度矢量为 [ ] (SI)
选项:
A: 
B: 
C: 
D: 
答案: 【
】
8、单选题:
一质点的运动函数为 x = 3t +5t^3+7 , 则该质点作[ ]
选项:
A: 匀加速直线运动,加速度沿x轴正方向
B: 变加速直线运动,加速度沿x轴正方向
C: 匀加速直线运动,加速度沿x轴负方向
D: 变加速直线运动,加速度沿x轴负方向
答案: 【 变加速直线运动,加速度沿x轴正方向】
9、单选题:
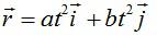
一质点在平面上运动,已知质点位置矢量的表示式为
(其中a、b为正的常量), 则该质点作[ ]。
选项:
A: 匀速直线运动
B: 变速直线运动
C: 抛物线运动
D: 一般曲线运动
答案: 【 变速直线运动】
10、单选题:
小明骑车以速率V向正东方行驶,遇到由北向南刮的风(设风速大小也为V),则他感到风是从[ ]方向吹来。
选项:
A: 东北
B: 东南
C: 西北
D: 西南
答案: 【 东北】
11、单选题:
A、B二船相对地面都以2m/s的速率匀速行使, A船向东行驶,B船向北行驶。则在A船上测量,B船的速度大小为[ ] m/s.
选项:
A: 
B: 
C: 
D: 
答案: 【
】
12、判断题:
加速度恒定不变时,物体的运动方向可能改变
选项:
A: 正确
B: 错误
答案: 【 正确】
13、判断题:
平均速率等于平均速度的大小。
选项:
A: 正确
B: 错误
答案: 【 错误】
14、判断题:
当物体的速度为零时,加速度必定为零。
选项:
A: 正确
B: 错误
答案: 【 错误】
15、判断题:
一质点在某时刻的瞬时速度是2m/s, 说明它此后1秒内一定经过2米的路程。
选项:
A: 正确
B: 错误
答案: 【 错误】
16、判断题:
质点作圆周运动时,加速度方向一定与速度方向垂直。
选项:
A: 正确
B: 错误
答案: 【 错误】
17、判断题:
质点作曲线运动时,速度方向为运动轨迹的切线方向,因此其法向加速度必定为零。
选项:
A: 正确
B: 错误
答案: 【 错误】
18、判断题:
伽利略速度变换适用于以任何速率运动的物体。
选项:
A: 正确
B: 错误
答案: 【 错误】
19、填空题:
法向加速度为零时,物体一定做 运动。(直线/曲线)
答案: 【 直线】
20、填空题:
在一般曲线运动中,切向加速度是反映速度 变化的物理量.(大小/方向)
答案: 【 大小】
1、单选题:
一质点在平面上运动,已知质点位置矢量的表示式为 
(其中a、b为常量), 则该质点作[ ]
选项:
A: 匀速直线运动
B: 变速直线运动
C: 抛物线运动
D: 一般曲线运动
答案: 【 变速直线运动】
2、判断题:
判断正误:质点作曲线运动时,速度方向为运动轨迹的切线方向,因此其法向加速度必定为零。
选项:
A: 正确
B: 错误
答案: 【 错误】
3、填空题:
法向加速度为零时,物体一定做 运动。(直线/曲线)
答案: 【 直线】
1、单选题:
小明骑车以速率V向正东方行驶,遇到由北向南刮的风(设风速大小也为V),则他感到风是从[ ]方向吹来。
选项:
A: 东北
B: 东南
C: 西北
D: 西南
答案: 【 东北】
2、单选题:
A、B二船相对地面都以2m/s的速率匀速行使, A船向东行驶,B船向北行驶。则在A船上测量,B船的速度大小为[ ] m/s.
选项:
A: 
B: 
C: 
D: 
答案: 【
】
3、判断题:
判断正误:伽利略速度变换适用于以任何速率运动的物体。
选项:
A: 正确
B: 错误
答案: 【 错误】
1、单选题:
若质点系所受外力的矢量和恒为零,则 [ ]。
选项:
A: 质点系的总动量恒定不变, 但质点系内各质点的动量可以改变
B: 质点系的总动量恒定不变, 质点系内各质点的动量也一定不改变
C: 质点系的总动量可以改变, 但质点系内各质点的动量恒定不变
D: 质点系的总动量和质点系内各质点的动量都可以改变
答案: 【 质点系的总动量恒定不变, 但质点系内各质点的动量可以改变】
2、判断题:
光滑水平面上有一静止的、自由放置的铁棒,一弹珠以水平速度撞击棒的一端,棒和弹珠构成的系统动量是守恒的。
选项:
A: 正确
B: 错误
答案: 【 正确】
1、单选题:
飞船绕地球作匀速圆周运动,已知地球质量为M,半径为R,飞离地面高度为R,万有引力常数为G .飞船内质量为m的宇航员对桌椅的压力N等于 [ ].
选项:
A: 
B: 
C: 0
D: 以上均不对。
答案: 【 0】
2、单选题:
关于物体的重力有以下说法,其中错误的是 [ ]
选项:
A: 物体的重力就是物体所受的地球引力。
B: 通常我们所说的物体的重力是物体所受的地球引力和物体的惯性离心力的合力。
C: 由于地球自转,物体的重力是随纬度不同而变化的。
D: 物体所受的重力的方向并不指向地心。
答案: 【 物体的重力就是物体所受的地球引力。】
1、单选题:

选项:
A: 8
B: 54
C: 81
D: 0
答案: 【 54】
2、单选题:
一块质量为m的陨石从距地面高h 处由静止开始落向地面.设地球半径为Re, 万有引力常数为G, 忽略空气阻力,陨石下落过程中,万有引力做的功是[ ].
选项:
A: 
B: 
C: 
D: 
答案: 【
】
3、多选题:
以下说法中,错误的是[ ]。
选项:
A: 功是过程量
B: 任何力对物体做功都与物体的运动路径有关
C: 质点同时受几个力的作用而运动,在运动过程中合力的功等于这几个分力所做的功的代数和
D: 由于两物体之间的作用力与反作用力总是大小相等、方向相反,因此这一对力所做的功总是为零。
答案: 【 任何力对物体做功都与物体的运动路径有关;
由于两物体之间的作用力与反作用力总是大小相等、方向相反,因此这一对力所做的功总是为零。】
1、填空题:
由两个质点构成的质点系,其质心位置_______在两者的连线上。(一定/不一定)
答案: 【 一定】
2、填空题:
质点系的内力_______改变质心的运动状态。(能/不能)
答案: 【 不能】
3、填空题:
静止的湖水中有一质量为M、长为L的船,质量为m的人站在船头。不考虑阻力的情况下,此人从船头走到船尾过程中,船和人组成的系统质心位置将______。(改变/不改变)
答案: 【 不改变】
1、单选题:
质量分别为mA和mB的两质点A和B(mA>mB), 受到相同的冲量作用,则 [ ]
选项:
A: A的动量增量比B的动量增量大
B: A的动量增量比B的动量增量小
C: A的动量增量等于B的动量增量
D: 无法确定A的动量增量与B的动量增量那个更大一些。
答案: 【 A的动量增量等于B的动量增量】
2、单选题:
一质点在平面上作圆周运动,下列说法正确的是[ ]。
选项:
A: 质点作匀速率圆周运动时,其动量方向是在不断改变的,所以其对圆心的角动量方向也是随之变化的。
B: 质点作变速率圆周运动时,其对圆心的角动量的大小和方向都是变化的。
C: 质点作匀速率圆周运动时,其对圆心的角动量守恒。
D: 质点作匀速率圆周运动时,其对圆心的动量的大小和方向都是变化的。
答案: 【 质点作匀速率圆周运动时,其对圆心的角动量守恒。】
3、单选题:

选项:
A: 外力做功之和为零
B: 质点对圆心的角动量大小不变、方向一直改变。
C: 
D: 其动量的增量为零。
答案: 【 外力做功之和为零】
4、判断题:
质点系的内力可以 改变质点系的总角动量。
选项:
A: 正确
B: 错误
答案: 【 错误】
5、判断题:
内力可以改变质点系内各质点的运动状态,但不能改变质心的运动状态。
选项:
A: 正确
B: 错误
答案: 【 正确】
6、判断题:
如果质点系的总动量为零,则该质点系的总角动量一定为零。
选项:
A: 正确
B: 错误
答案: 【 错误】
备案号:冀ICP备20010840号 2020-2099辉辉网络科技 All Rights Reserved