

1、单选题:
美国ACM前主席Denning给出的两个否定,不是说周以真提出的计算思维不好,而是说,Denning自己提出的“伟大的计算原理”更能充分地展示计算机科学的伟大。其实,周以真是从 这个层面给出计算思维本质的结构,Denning是从 出发给出计算思维的结构框架,显然,还可以从 这个层面给出计算思维的结构框架。( )
选项:
A: 思维、思想方法、原理
B: 原理、思想方法、思维
C: 思维、原理、思想方法
D: 原理、思维、思想方法
E: 思想方法、原理、思维
F: 思想方法、思维、原理
答案: 【 思维、原理、思想方法】
2、单选题:
2010年,在美国NSF的资助下,美国国家研究委员会(NRC)召开了一系列会议,给出了“关于计算思维的本质和适用范围的工作报告”(Report of a workshop on the scope and nature of computational thinking),报告给出了“计算思维”的五个公开问题(Open Questions)。其中最重要的核心问题是 ( )
选项:
A: 计算思维相关的计算社团的角色问题
B: 计算思维的结构问题
C: 计算思维者的识别问题
D: 计算思维与技术之间的关系问题
E: 计算思维的教学方法问题
答案: 【 计算思维的结构问题】
3、单选题:
下面不属于计算思维特征的是 ( )
选项:
A: 是思想,不是人造品
B: 计算机的,不是人的思维
C: 根本的,不是刻板的技能
D: 概念化,不是程序化
E: 数学和工程思维的互补与融合
F: 面向所有的人,所有地方
答案: 【 计算机的,不是人的思维】
4、单选题:
计算机方法论中最基本的三个概念是 ( )
选项:
A: 计算、抽象、设计
B: 抽象、自动化、评估
C: 抽象、理论、设计
D: 计算、自动化、设计
E: 计算、抽象、评估
F: 抽象、理论、评估
答案: 【 抽象、理论、设计】
5、单选题:
用“伟大的计算原理”描述计算,其好处不包括 ( )
选项:
A: 提供理解物理、社会或者其他现象的新方式
B: 指出解决问题的新途径
C: 强调使用信息,而不是创造知识
D: 提高创造和创新能力
E: 为计算机科学课程的教学提供新的方法
答案: 【 强调使用信息,而不是创造知识】
6、单选题:
美国ACM前主席Denning在《伟大的计算原理》一文将计算原理的划分为5个类别,分别是 ( )
选项:
A: 计算、通信、协作、自动化、记忆
B: 计算、抽象、协作、设计、记忆
C: 抽象、通信、协作、自动化、记忆
D: 评估、通信、协作、设计、记忆
E: 抽象、评估、协作、设计、记忆
F: 评估、通信、协作、自动化、记忆
答案: 【 计算、通信、协作、自动化、记忆】
7、单选题:
美国ACM前主席Denning在《超越计算思维》一文中增加了以下计算原理的两个类别,最终形成了7个伟大的计算原理。 ( )
选项:
A: 抽象、自动化
B: 评估、设计
C: 抽象、评估
D: 设计、抽象
答案: 【 评估、设计】
8、单选题:
计算思维表述体系给出了42个核心概念,其中属于自动化类别的是 ( )
选项:
A: 算法、程序;迭代、递归;启发式策略、随机策略;智能
B: 分解、复合、折中、可靠性、安全性、重用性
C: 计算模型、可计算性、计算复杂性
D: 同步、并发、并行、事件、服务
答案: 【 算法、程序;迭代、递归;启发式策略、随机策略;智能】
9、单选题:
计算思维表述体系给出了42个核心概念,其中属于设计类别的是 ( )
选项:
A: 算法、程序;迭代、递归;启发式策略、随机策略;智能
B: 分解、复合、折中、可靠性、安全性、重用性
C: 计算模型、可计算性、计算复杂性
D: 同步、并发、并行、事件、服务
答案: 【 分解、复合、折中、可靠性、安全性、重用性】
10、单选题:
计算思维表述体系给出了42个核心概念,其中属于协作类别的是 ( )
选项:
A: 算法、程序;迭代、递归;启发式策略、随机策略;智能
B: 分解、复合、折中、可靠性、安全性、重用性
C: 计算模型、可计算性、计算复杂性
D: 同步、并发、并行、事件、服务
答案: 【 同步、并发、并行、事件、服务】
11、单选题:
计算思维表述体系给出了42个核心概念,其中属于抽象的是 ( )
选项:
A: 算法、程序;迭代、递归;启发式策略、随机策略;智能
B: 分解、复合、折中、可靠性、安全性、重用性
C: 抽象、抽象层次、概念模型、实现模型
D: 同步、并发、并行、事件、服务
答案: 【 抽象、抽象层次、概念模型、实现模型】
12、单选题:
周以真给出的计算思维的本质是 ( )
选项:
A: 计算、抽象
B: 抽象、评估
C: 计算、评估
D: 抽象、自动化
答案: 【 抽象、自动化】
13、多选题:
美国ACM前主席Denning在《超越计算思维》一文中对周以真教授提出的计算思维给了哪两个否定 ( )
选项:
A: 计算思维不是计算机科学独有的特征
B: 计算思维没有解决“计算机科学=程序设计”这个认知上的误区
C: 计算思维不能充分的代表计算机科学的特征
D: 计算思维没有体现计算机科学特有的设计和评估两个特征
答案: 【 计算思维不是计算机科学独有的特征;
计算思维不能充分的代表计算机科学的特征】
14、多选题:
计算思维的结构问题涉及以下哪两个方面 ( )
选项:
A: 计算思维与技术的关系
B: 计算思维的组成元素
C: 计算思维不同元素之间的逻辑关系
D: 计算思维者的识别问题
答案: 【 计算思维的组成元素;
计算思维不同元素之间的逻辑关系】
1、单选题:
美国ACM前主席Denning给出的两个否定,不是说周以真提出的计算思维不好,而是说,Denning自己提出的“伟大的计算原理”更能充分地展示计算机科学的伟大。其实,周以真是从 这个层面给出计算思维本质的结构,Denning是从 出发给出计算思维的结构框架,显然,还可以从 这个层面给出计算思维的结构框架。( )
选项:
A: 思想方法、原理、思维
B: 原理、思想方法、思维
C: 思维、原理、思想方法
D: 原理、思维、思想方法
答案: 【 思维、原理、思想方法】
2、单选题:
2010年,在美国NSF的资助下,美国国家研究委员会(NRC)召开了一系列会议,给出了“关于计算思维的本质和适用范围的工作报告”(Report of a workshop on the scope and nature of computational thinking),报告给出了“计算思维”的五个公开问题(Open Questions)。其中最重要的核心问题是 ( )
选项:
A: 计算思维相关的计算社团的角色问题
B: 计算思维的结构问题
C: 计算思维者的识别问题
D: 计算思维与技术之间的关系问题
答案: 【 计算思维的结构问题】
3、单选题:
下面不属于计算思维特征的是 ( )
选项:
A: 是思想,不是人造品
B: 计算机的,不是人的思维
C: 根本的,不是刻板的技能
D: 概念化,不是程序化
答案: 【 计算机的,不是人的思维】
4、单选题:
计算机方法论中最基本的三个概念是 ( )
选项:
A: 计算、抽象、设计
B: 抽象、自动化、评估
C: 抽象、理论、设计
D: 计算、自动化、设计
答案: 【 抽象、理论、设计】
5、多选题:
美国ACM前主席Denning在《超越计算思维》一文中对周以真教授提出的计算思维给了哪两个否定( )
选项:
A: 计算思维不是计算机科学独有的特征
B: 计算思维没有解决“计算机科学=程序设计”这个认知上的误区
C: 计算思维不能充分的代表计算机科学的特征
D: 计算思维没有体现计算机科学特有的设计和评估两个特征
答案: 【 计算思维不是计算机科学独有的特征;
计算思维不能充分的代表计算机科学的特征】
6、多选题:
计算思维的结构问题涉及以下哪两个方面 ( )
选项:
A: 计算思维与技术的关系
B: 计算思维的组成元素
C: 计算思维不同元素之间的逻辑关系
D: 计算思维者的识别问题
答案: 【 计算思维的组成元素;
计算思维不同元素之间的逻辑关系】
1、单选题:
Raptor编程中,下面哪个是赋值符号 ()
选项:
A: 
B: 
C: 
D: 
答案: 【
】
2、单选题:
Raptor编程中,下面哪个是调用函数(或子程序)的符号 ()
选项:
A: 
B: 
C: 
D: 
答案: 【
】
3、单选题:
Raptor编程中,下面哪个是循环符号 ()
选项:
A: 
B: 
C: 
D: 
答案: 【
】
4、单选题:
Raptor编程中,要在一个窗口的(100,200)位置显示文本“12345”,下列哪些做法是正确的 ()
选项:
A: 
B: 
C: 
D: 
答案: 【
】
5、多选题:
为什么要使用Raptor进行程序设计? ()
选项:
A: Raptor开发环境可以最大限度地减少编写出正确的程序所需要的语法要求
B: Raptor开发环境是可视化的。Raptor程序是一种每次执行一个图形符号的有向图,因此它可以帮助用户跟踪Raptor程序的指令流执行过程
C: Raptor是为了便于使用而设计的(相较于其他的复杂的开发环境,Raptor开发环境非常简单)
D: 对于初学者来说,使用Raptor进行程序设计时出现的调试和报错消息更易于理解
答案: 【 Raptor开发环境可以最大限度地减少编写出正确的程序所需要的语法要求;
Raptor开发环境是可视化的。Raptor程序是一种每次执行一个图形符号的有向图,因此它可以帮助用户跟踪Raptor程序的指令流执行过程;
Raptor是为了便于使用而设计的(相较于其他的复杂的开发环境,Raptor开发环境非常简单);
对于初学者来说,使用Raptor进行程序设计时出现的调试和报错消息更易于理解】
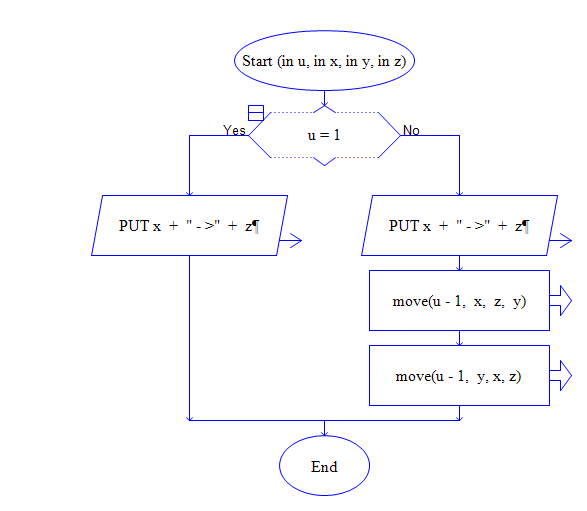
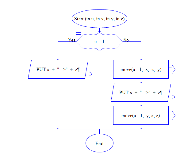
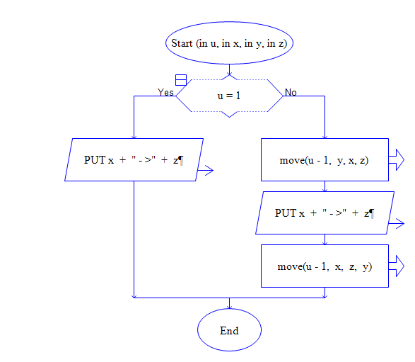
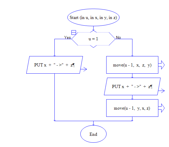
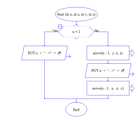
1、单选题:
汉诺塔问题是使用递归算法的一个典型案例,下面给出的利用Raptor实现的汉诺塔问题盘子移动move的子程序,正确的是 ( )
选项:
A: 
B: 
C: 
D: 
答案: 【
】
2、单选题:
盘子数为4的汉诺塔问题需要移动盘子的次数为 ( )
选项:
A: 7
B: 8
C: 15
D: 16
答案: 【 15】
3、单选题:
在“证比求易算法”中,若从2开始,一步一步地求48 770 428 433 377 171数的真因子是 ;若按自然数的顺序给老百姓编号后,求真因子的算法是 。 ( )
选项:
A: 并行算法、并行算法
B: 并行算法、顺序算法
C: 顺序算法、顺序算法
D: 顺序算法、并行算法
答案: 【 顺序算法、并行算法】
4、单选题:
在计算复杂性理论中,将所有可以在多项式时间内求解的问题称为 ,而将所有在多项式时间内可以验证的问题称为 。 ( )
选项:
A: P类问题、NP类问题
B: NP类问题、P类问题
C: NP-C问题、P类问题
D: NP类问题、NP-C问题
答案: 【 P类问题、NP类问题】
5、单选题:
假设f=10%,p→¥,根据阿姆达定律可以得到并行计算机系统最大的加速能力Sp为 ( )
选项:
A: 1000
B: 100
C: 10
D: 1
答案: 【 10】
6、单选题:
假设f=0.1%,p→¥,根据阿姆达定律可以得到并行计算机系统最大的加速能力Sp为 ( )
选项:
A: 1000
B: 100
C: 10
D: 1
答案: 【 1000】
7、单选题:
计算复杂性理论在密码学研究领域起了十分重要的作用,它给密码研究人员指出了寻找难计算问题的方向,并促使研究人员在该领域取得了革命性的成果。公开密钥密码系统就是其中的典型例子。在一个RSA公钥密码系统中,设公钥为(5,34),其私钥为 。 ( )
选项:
A: (5,34)
B: (9,34)
C: (13,34)
D: (17,34)
答案: 【 (13,34)】
8、单选题:
计算复杂性理论在密码学研究领域起了十分重要的作用,它给密码研究人员指出了寻找难计算问题的方向,并促使研究人员在该领域取得了革命性的成果。公开密钥密码系统就是其中的典型例子。在一个RSA公钥密码系统中,设公钥为(5,91),对报文6加密的密文为 。 ( )
选项:
A: 41
B: 90
C: 43
D: 91
答案: 【 41】
9、单选题:
计算复杂性理论在密码学研究领域起了十分重要的作用,它给密码研究人员指出了寻找难计算问题的方向,并促使研究人员在该领域取得了革命性的成果。公开密钥密码系统就是其中的典型例子。在一个RSA公钥密码系统中,设私钥为(5,133),对加密报文13解密,原报文为 。 ( )
选项:
A: 41
B: 90
C: 43
D: 91
答案: 【 90】
10、单选题:
计算复杂性理论在密码学研究领域起了十分重要的作用,它给密码研究人员指出了寻找难计算问题的方向,并促使研究人员在该领域取得了革命性的成果。公开密钥密码系统就是其中的典型例子。设p=3,q=17, n=3×17=51,构建一个RSA公钥密码系统,公钥为 ,私钥为 。 ( )
选项:
A: (3, 32) (11, 32)
B: (3, 51) (11, 51)
C: (11, 32) (3, 32)
D: (11, 51) (3, 51)
答案: 【 (3, 51) (11, 51)】
11、单选题:
计算复杂性理论在密码学研究领域起了十分重要的作用,它给密码研究人员指出了寻找难计算问题的方向,并促使研究人员在该领域取得了革命性的成果。公开密钥密码系统就是其中的典型例子。在RSA公开密钥密码系统中,设公钥为(3,39),对报文5加密得到的密文为 。( )
选项:
A: 3
B: 8
C: 19
D: 53
答案: 【 8】
12、单选题:
计算复杂性理论在密码学研究领域起了十分重要的作用,它给密码研究人员指出了寻找难计算问题的方向,并促使研究人员在该领域取得了革命性的成果。公开密钥密码系统就是其中的典型例子。在一个RSA公钥密码系统中,设私钥为(7,119),对加密报文20解密,原报文为 。 ( )
选项:
A: 13
B: 46
C: 62
D: 124
答案: 【 62】
13、单选题:
计算复杂性理论在密码学研究领域起了十分重要的作用,它给密码研究人员指出了寻找难计算问题的方向,并促使研究人员在该领域取得了革命性的成果。公开密钥密码系统就是其中的典型例子。设p=11, q=17, n=11×17=187,构建一个RSA公钥密码系统,公钥为 ,私钥为 。 ( )
选项:
A: (107,187) (3,187)
B: (3,187) (107,187)
C: (107,160) (3,160)
D: (3,160) (107,160)
答案: 【 (3,187) (107,187)】
14、单选题:
计算复杂性理论在密码学研究领域起了十分重要的作用,它给密码研究人员指出了寻找难计算问题的方向,并促使研究人员在该领域取得了革命性的成果。公开密钥密码系统就是其中的典型例子。在一个RSA公钥密码系统中,设私钥为(3,143),对加密报文17解密结果为 。 ( )
选项:
A: 9
B: 17
C: 34
D: 51
答案: 【 51】
15、单选题:
计算复杂性理论在密码学研究领域起了十分重要的作用,它给密码研究人员指出了寻找难计算问题的方向,并促使研究人员在该领域取得了革命性的成果。公开密钥密码系统就是其中的典型例子。在一个RSA公钥密码系统中,设公钥为(3,15),对报文5加密结果为 。 ( )
选项:
A: 3
B: 5
C: 11
D: 15
答案: 【 5】
16、单选题:
背包问题就是给定n种物品和一个背包,设Wi为物品i的重量,Vi为其价值,C为背包的重量容量,要求在重量容量的限制下,尽可能使装入的物品总价最大。用贪婪算法解决背包问题,贪婪准则为:每次都选择价值最大的物品装包。假设n=3;W1=100,V1=60;W2=20,V2=40;W3=20,V3=40;C=110。下列说法不正确的是( )
选项:
A: 利用价值最大的贪婪准则时,选物品1,这种方案的总价值为60
B: 最优解选物品为2和3,总价值为80
C: 使用贪婪准则,不能保证得到最优解
D: 利用价值最大的贪婪准则时,选物品2和3,总价值为80
答案: 【 利用价值最大的贪婪准则时,选物品2和3,总价值为80】
17、单选题:
哲学家共餐问题反映的是计算学科中的 问题。( )
选项:
A: 进程同步
B: 进程异步
C: 进程调度
D: 存储器管理
答案: 【 进程同步】
18、单选题:
程序有3种基本结构(循环结构、顺序结构、选择结构),下面3幅图分别对应的是 ( )

选项:
A: 选择结构、顺序结构、循环结构
B: 顺序结构、循环结构、选择结构
C: 顺序结构、选择结构、循环结构
D: 循环结构、选择结构、顺序结构
答案: 【 顺序结构、选择结构、循环结构】
19、单选题:
背包问题就是给定n种物品和一个背包,设Wi为物品i的重量,Vi为其价值,C为背包的重量容量,要求在重量容量的限制下,尽可能使装入的物品总价最大。用贪婪算法解决背包问题,贪婪准则为:每次都选择Vi/Wi 值(价值密度)最大的物品装包。假设n=3;W1=100,V1=60;W2=20,V2=40;W3=20,V3=40;C=110。下列说法不正确的是( )
选项:
A: 利用价值密度最大的贪婪准则时,选物品1,这种方案的总价值为60
B: 最优解选物品为2和3,总价值为80
C: 就本题而言,使用贪婪准则,能保证得到最优解
D: 利用价值密度最大的贪婪准则时,选物品2和3,总价值为80
答案: 【 利用价值密度最大的贪婪准则时,选物品1,这种方案的总价值为60】
20、单选题:
下列有关“图灵测试”和希尔勒的“中文屋子”的描述不正确的是 ( )
选项:
A: “图灵测试”要求接受测试的思维机器在内部构造上与人脑一样
B: “图灵测试”是从功能的角度判定机器是否能思维
C: 图灵发表的关于“图灵测试”的论文标志着现代机器思维问题讨论的开始
D: “中文屋子”是希尔勒以自己为主角设计的假象实验用来反驳强人工智能的观点
答案: 【 “图灵测试”要求接受测试的思维机器在内部构造上与人脑一样】
21、单选题:
计算复杂性理论在密码学研究领域起了十分重要的作用,它给密码研究人员指出了寻找难计算问题的方向,并促使研究人员在该领域取得了革命性的成果。公开密钥密码系统就是其中的典型例子。设p=3, q=11, n = 3×11=33,构建一个RSA公开密钥密码系统, 用公钥(3, 33)对m=9进行加密,得到的加密报文为( )
选项:
A: 9
B: 6
C: 3
D: 27
答案: 【 3】
22、单选题:
计算复杂性理论在密码学研究领域起了十分重要的作用,它给密码研究人员指出了寻找难计算问题的方向,并促使研究人员在该领域取得了革命性的成果。公开密钥密码系统就是其中的典型例子。设p=3, q=11, n = 3×11=33,构建一个RSA公开密钥密码系统,用私钥(7, 33)对c=3进行解密,得到的解密报文为( )
选项:
A: 9
B: 6
C: 3
D: 27
答案: 【 9】
23、单选题:
在“证比求易算法”中,对公主给出的数进行验证,显然是在多项式时间内可以解决的问题,因此,这类问题属于NP类问题。现在,P=NP是否成立的问题是计算学科和当代数学研究中最大的悬而未决的问题之一。2000年5月,美国克莱数学研究所(The Clay Institute of Mathematics)提供100万美元求解这一问题。下面论述错误的是( )
选项:
A: 库克(S. A. Cook)等人认为NP类中的某些问题的复杂性与整个类的复杂性有关,当这些问题中的任何一个存在多项式时间算法时,所有NP问题都是在多项式时间内可解的,这些问题被称为NP完全性问题。
B: 库克因其在计算复杂性理论方面(主要是在NP完全性理论方面)的奠基性工作,于1982年获ACM图灵奖。
C: 历史上第一个NP完全性问题是库克于1971年提出的可满足性问题。
D: 若P≠NP,则所有在多项式时间内可验证的问题都将是在多项式时间内可求解(或可判定)的问题。
答案: 【 若P≠NP,则所有在多项式时间内可验证的问题都将是在多项式时间内可求解(或可判定)的问题。】
24、单选题:
通常验证一个问题的解是否正确远比找到一个问题的解要容易的多,这就是所谓的“证比求易”(Algorithm of verifying is easier than finding solutions)。比如,对于求48 770 428 433 377 171的一个真因子的问题,最坏情况下需要计算次数的数量级约为 ;而验证223 092 827是否是真因子只需要1次。这个结论有重要的认知价值,与“评论别人的文章比写文章容易”类似,属于教育学中的元认知。 ( )
选项:
A: 2亿
B: 2百亿
C: 2千亿
D: 2万亿
答案: 【 2亿】
25、多选题:
下列属于计算机中的博弈问题的有 ( )
选项:
A: 国际象棋
B: 中国象棋
C: 西洋跳棋
D: 围棋
答案: 【 国际象棋;
中国象棋;
西洋跳棋;
围棋】
26、填空题:
在计算机理论的研究中,可以将无符号数分配给任何用特定语言编写的程序,这样的无符号数就称为哥德尔数。这种分配使得程序可以作为单一的数据项输入给其他程序。这样就可以将程序转化为歌德尔数并作为单一的数据项输入给其他程序。特别的,当一个程序以自身(转化为哥德尔数)为输入,该程序能够终止,那么这个程序就是一个自终止的程序,否则就不是。下面程序能否自终止的 (填能或否)。while x not 0 do;
end;
答案: 【 否】
27、填空题:
在计算机理论的研究中,可以将无符号数分配给任何用特定语言编写的程序,这样的无符号数就称为哥德尔数。这种分配使得程序可以作为单一的数据项输入给其他程序。这样就可以将程序转化为歌德尔数并作为单一的数据项输入给其他程序。特别的,当一个程序以自身(转化为哥德尔数)为输入,该程序能够终止,那么这个程序就是一个自终止的程序,否则就不是。下面程序能否自终止的 (填能或否)。y=x
while x not 0 do;
x=x–1;
end;
y=y–1;
while y not 0 do;
y=y–1;
end;
答案: 【 能】
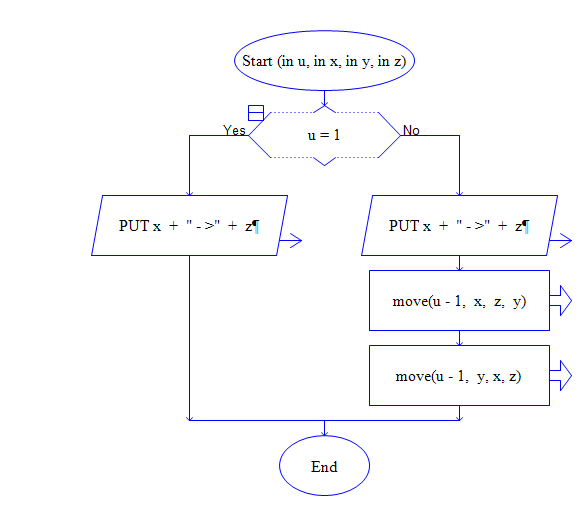
1、单选题:
汉诺塔问题是使用递归算法的一个典型案例,下面给出的利用Raptor实现的汉诺塔问题盘子移动move的子程序,正确的是 ( )
选项:
A: 
B: 
C: 
D: 
答案: 【
】
2、单选题:
设p=3, q=7,n=3×7=21,构建一个RSA公钥密码系统,公钥为 ,私钥为 。 ( )
选项:
A: (3,12) (7,12)
B: (5,12) (5,12)
C: (3,21) (7,21)
D: (5,21) (5,21)
答案: 【 (5,21) (5,21)】
3、单选题:
按照题2构建的RSA公钥密码系统对报文9加密的结果为 ,对密文10解密的结果为 。 ( )
选项:
A: 19 18
B: 18 19
C: 21 18
D: 18 21
答案: 【 18 19】
4、单选题:
假设f=0.01%,p→¥,根据阿姆达定律可以得到并行计算机系统最大的加速能力Sp为 ( )
选项:
A: 10000
B: 1000
C: 100
D: 10
答案: 【 10000】
5、单选题:
下列有关“图灵测试”和希尔勒的“中文屋子”的描述不正确的是 ( )
选项:
A: “图灵测试”要求接受测试的思维机器在内部构造上与人脑一样
B: “图灵测试”是从功能的角度判定机器是否能思维
C: 图灵发表的关于“图灵测试”的论文标志着现代机器思维问题讨论的开始
D: “中文屋子”是希尔勒以自己为主角设计的假象实验用来反驳强人工智能的观点
答案: 【 “图灵测试”要求接受测试的思维机器在内部构造上与人脑一样】
6、单选题:
通常验证一个问题的解是否正确远比找到一个问题的解要容易的多,这就是所谓的“证比求易”(Algorithm of verifying is easier than finding solutions)。比如,对于求48 770 428 433 377 171的一个真因子的问题,最坏情况下需要计算次数的数量级约为 ;而验证223 092 827是否是真因子只需要1次。这个结论有重要的认知价值,与“评论别人的文章比写文章容易”类似,属于教育学中的元认知。( )
选项:
A: 2亿
B: 2百亿
C: 2千亿
D: 2万亿
答案: 【 2亿】
7、填空题:
下面程序能否自终止的 (填能或否)。y=x;
while x not 0 do;
x=x–1;
end;
y=y–1;
while y not 0 do;
y=y–1;
end;
答案: 【 能】
1、单选题:
抽象(Abstraction)与自动化(Automation)是计算思维的本质特征,在计算学科各领域中均存在为数不少的抽象工具。E-R图(实体-联系图)就是其中一种对客观世界进行抽象的工具,使用该工具可以大大降低软件系统研制,特别是数据库应用系统研制的复杂性。
一个公司有一个销售部门,一个销售部门有若干员工,每位员工都可以销售若干商品,每个商品都可以由若干员工销售,一个商品可以存放在若干不同的仓库中,一个仓库可以存放不同的商品,一个员工可以管理若干仓库,该单位销售部的E-R图(提示:销售时有一个“销售明细”属性;存放时有一个“存放与出库时间”的属性)如下所示,图中空白填写顺序应为 ( )

选项:
A: 销售明细 销售部门 存放与出库时间
B: 存放与出库时间 销售明细 销售部门
C: 销售明细 存放与出库时间 销售部门
D: 销售部门 销售明细 存放与出库时间
答案: 【 销售明细 存放与出库时间 销售部门】
2、单选题:
计算机对语言进行处理,首先要解决的是语言的歧义性问题,给出句子“I saw the man on the hill with the telescope”,不可能解释为 ( )
选项:
A: I with the telescope
B: the man with the telescope
C: the hill with the telescope
D: I on the hill
答案: 【 I on the hill】
3、单选题:
在图灵的带子机中,设b表示空格,q1表示机器的初始状态,q4表示机器的结束状态,如果带子上的输入信息是11100101,读写头对准最右边第一个为1的方格,状态为初始状态q1。执行以下命令后的计算结果为 ( )q1 0 0 L q2q1 1 0 L q3q1 b b N q4q2 0 0 L q2q2 1 0 L q2q2 b b N q4q3 0 0 L q2q3 1 0 L q3 q3 b b N q4
选项:
A: 10000101
B: 10100101
C: 00000000
D: 00000101
答案: 【 00000000】
4、单选题:
在图灵机中,一个给定机器的“程序”认为是机器内的五元组(qiSjSkRql)或(qiSjSkLql)或(qiSjSkNql)形式的指令集,五元组定义了机器在一个特定状态下读入一个特定字符时所采取的动作。下列有关各元素的含义不正确的是 ( )
选项:
A: qi表示机器目前所处的状态
B: Sj表示机器从方格中读入的符号
C: Sk表示机器用来代替Sj写入方格中的符号
D: R、L、N分别表示向左移一格、向右移一格、不移动
答案: 【 R、L、N分别表示向左移一格、向右移一格、不移动】
5、单选题:
Vcomputer机器指令由4位十六进制数构成(1位操作码,3位操作数),其机器指令集如下表所示。那么下列选项中的指令能表示“将地址为E8的内存单元的值装入寄存器R0中” 的是( )

选项:
A: 10E8
B: 1E80
C: 20E8
D: 2E80
答案: 【 10E8】
6、单选题:
在“学生选课”例子中,A={学生,属性,码,关系,学号,姓名,年龄,性别,课程,课程号,课程名,成绩,E-R图,“学生选课”E-R图,关系模型,“学生选课”关系模型…… }一般被划分到以下哪种形态( )
选项:
A: 抽象
B: 理论
C: 设计
D: 不能划分
答案: 【 抽象】
1、单选题:
抽象(Abstraction)与自动化(Automation)是计算思维的本质特征,在计算学科各领域中均存在为数不少的抽象工具。E-R图(实体-联系图)就是其中一种对客观世界进行抽象的工具,使用该工具可以大大降低软件系统研制,特别是数据库应用系统研制的复杂性。
一个公司有一个销售部门,一个销售部门有若干员工,每位员工都可以销售若干商品,每个商品都可以由若干员工销售,一个商品可以存放在若干不同的仓库中,一个仓库可以存放不同的商品,一个员工可以管理若干仓库,该单位销售部的E-R图(提示:销售时有一个“销售明细”属性;存放时有一个“存放与出库时间”的属性)如下所示,图中空白填写顺序应为 ( )

选项:
A: 销售明细 销售部门 存放与出库时间
B: 存放与出库时间 销售明细 销售部门
C: 销售明细 存放与出库时间 销售部门
D: 销售部门 销售明细 存放与出库时间
答案: 【 销售明细 存放与出库时间 销售部门】
2、单选题:
抽象(Abstraction)与自动化(Automation)是计算思维的本质特征,在计算学科各领域中均存在为数不少的抽象工具。E-R图(实体-联系图)就是其中一种对客观世界进行抽象的工具,使用该工具可以大大降低软件系统研制,特别是数据库应用系统研制的复杂性。
有一个图书管理系统,一本图书可被多个读者借阅,一个读者可借阅多本图书,一个管理员既可管理图书信息,也可管理读者信息,图书,读者,管理员3个实体的属性如下:
图书(图书号,书名,类别,出版社,出版日期,作者名,可借数量)
读者(读者姓名,读者号,最大可借书量,已借书量,性别,读者类别)
管理员(管理员号,管理员类别,性别,联系电话,登录密码)
该图书管理系统的E-R图如下所示,图中空白处的填写顺序为 ( )

选项:
A: 借阅号、管理员号、读者号
B: 借阅号、读者号、管理员号
C: 读者号、管理员号、借阅号
D: 读者号、借阅号、管理员号
答案: 【 借阅号、读者号、管理员号】
3、单选题:
计算机对语言进行处理,首先要解决的是语言的歧义性问题,给出句子“I saw the man on the hill with the telescope”,不可能解释为 ( )
选项:
A: I with the telescope
B: the man with the telescope
C: the hill with the telescope
D: I on the hill
答案: 【 I on the hill】
4、单选题:
如果一个指令系统有12条指令,请问操作码至少需要 位;若操作码有5位,那么最多可以设计 条指令。
选项:
A: 5,16
B: 6,32
C: 4,32
D: 4,16
答案: 【 4,32】
5、单选题:
在图灵机中,一个给定机器的“程序”认为是机器内的五元组(
)或(
)或(
)形式的指令集,五元组定义了机器在一个特定状态下读入一个特定字符时所采取的动作。下列有关各元素的含义不正确的是 ( )
选项:
A:
表示机器目前所处的状态
B:
表示机器从方格中读入的符号
C:
表示机器用来代替
写入方格中的符号
D: R、L、N分别表示向左移一格、向右移一格、不移动
E:
表示下一步机器的状态
答案: 【 R、L、N分别表示向左移一格、向右移一格、不移动】
6、单选题:
引入“虚拟机”这一概念的意义不包括的是 ( )
选项:
A: 有助于我们正确理解各种语言的实质和实现途径
B: 对计算机体系结构以及计算机语言的发展作用不大
C: 有助于各层次计算机语言自身的完善
D: 将计算思维中的抽象层次与“虚拟机”绑定在一起,从人类分工的角度理解“虚拟机”,有助于控制和降低软件系统研制的复杂程度。
答案: 【 对计算机体系结构以及计算机语言的发展作用不大】
7、单选题:
下列有关图灵机和冯.诺依曼计算机的说法正确的是 &nb
备案号:冀ICP备20010840号 2020-2099辉辉网络科技 All Rights Reserved