

1、单选题:
下列哪个型号的晶闸管元件是额定电以为200A、额定电压为900V的快速晶闸管元件( )。
选项:
A: KP200—9
B: KK900—2
C: KS900—2
D: KK200—9
答案: 【 KK200—9】
2、判断题:
晶闸管的额定电流也称为额定通态平均电流( )。
选项:
A: 正确
B: 错误
答案: 【 正确】
1、单选题:
以下不属于全控型器件的电力电子器件是( )。
选项:
A: SCR
B: MOSFET
C: IGBT
D: GTR
答案: 【 SCR】
2、判断题:
当器件的开关频率较高时,通态损耗会随之增大而可能成为器件功率损耗的主要因素。( )
选项:
A: 正确
B: 错误
答案: 【 错误】
3、填空题:
为了减小本身的损耗,提高效率,一般都工作在( )状态。
答案: 【 开关】
1、单选题:
下列元件中额定电压为800V,额定电流为100A的普通晶闸管是( )。
选项:
A: KS100-8
B: KP800-1
C: KP100-8
D: KK100-8
答案: 【 KP100-8】
2、单选题:
如某晶闸管的正向阻断重复峰值电压为745V,反向重复峰值电压为825V,则该晶闸管的额定电压应为( )。
选项:
A: 700V
B: 750V
C: 800V
D: 850V
答案: 【 750V】
3、单选题:
单相半波可控整流电阻性负载电路中,控制角α的最大移相范围是( )。
选项:
A: 0º—90°
B: 0º—120°
C: 0º—150°
D: 0º—180°
答案: 【 0º—180°】
4、单选题:
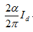
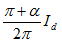
单相半波可控整流电路,带电感性负载,带续流二极管,流过续流二极管的电流平均值是( )。
选项:
A: 
B: 
C: 
D: 
答案: 【
】
5、单选题:
单结晶体管的分压比是( )。
选项:
A: 
B: 
C: 
D: 
答案: 【
】
6、单选题:
下面哪种功能不属于变流的功能( )。
选项:
A: 有源逆变
B: 交流调压
C: 变压器降压
D: 直流斩波
答案: 【 变压器降压】
7、判断题:
给晶闸管加上正向阳极电压它就会导通。( )
选项:
A: 正确
B: 错误
答案: 【 错误】
8、判断题:
触发普通晶闸管的触发脉冲,也能触发可关断晶闸管。( )
选项:
A: 正确
B: 错误
答案: 【 错误】
9、判断题:
在普通晶闸管组成的全控整流电路中,带电感性负载,没有续流二极管时,导通的晶闸管在电源电压过零时不关断。( )
选项:
A: 正确
B: 错误
答案: 【 正确】
10、判断题:
KP2—5表示的是额定电压200V,额定电流500A的普通型晶闸管。( )
选项:
A: 正确
B: 错误
答案: 【 错误】
11、判断题:
在单结晶体管触发电路中,稳压管削波的作用是为了扩大脉冲移相范围。( )
选项:
A: 正确
B: 错误
答案: 【 错误】
12、判断题:
KP10—5表示的是额定电压1000V,额定电流500A的普通型晶闸管。( )
选项:
A: 正确
B: 错误
答案: 【 错误】
13、填空题:
单结晶体管产生的触发脉冲是 脉冲;主要用于驱动 功率的晶闸管。(两个答案中间用空格或“;”隔开)
答案: 【 尖;小##%_YZPRLFH_%##尖 小】
14、填空题:
给晶闸管阳极加上一定的 电压;在门极加上 电压,并形成足够的 电流,晶闸管才能导通。(三个答案间用空格或“;”隔开)
答案: 【 正向;正向;触发##%_YZPRLFH_%##正向;正向;门极触发##%_YZPRLFH_%##正向;正向门极;门极触发##%_YZPRLFH_%##正向 正向 触发##%_YZPRLFH_%##正向 正向 门极触发##%_YZPRLFH_%##正向 正向门极 门极触发】
备案号:冀ICP备20010840号 2020-2099辉辉网络科技 All Rights Reserved