

1、判断题:

选项:
A: 正确
B: 错误
答案: 【 正确】
2、判断题:

选项:
A: 正确
B: 错误
答案: 【 错误】
3、判断题:

选项:
A: 正确
B: 错误
答案: 【 正确】
4、判断题:

选项:
A: 正确
B: 错误
答案: 【 错误】
5、判断题:

选项:
A: 正确
B: 错误
答案: 【 正确】
1、单选题:

选项:
A: 
B: 
C: 
D: 
答案: 【
】
2、单选题:

选项:
A: 
B: 
C: 
D: 
答案: 【
】
3、单选题:

选项:
A: 
B: 
C: 
D: 
答案: 【
】
4、单选题:

选项:
A: 
B: 
C: ![]()
D: 
答案: 【
】
1、单选题:

选项:
A: 0
B: -0.1
C: -0.2
D: 0.2
答案: 【 -0.2】
2、单选题:

选项:
A: 
B: 
C: 
D: 
答案: 【
】
3、单选题:

选项:
A: 
B: 
C: 
D: 
答案: 【
】
1、判断题:
多元函数在某点的偏导数存在但不连续,则该函数在该点的全微分一定不存在.
选项:
A: 正确
B: 错误
答案: 【 错误】
1、单选题:
设
,则
——————
选项:
A: 0
B: (2ln2+1)dx-(2ln2+1)dy
C: 3dx-4dy
D: 2ln2dx-2ln2dy
答案: 【 (2ln2+1)dx-(2ln2+1)dy】
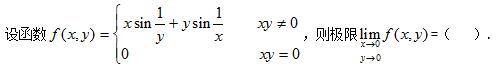
1、单选题:

选项:
A: 不存在
B: 等于1
C: 等于0
D: 等于2
答案: 【 等于0】
2、单选题:

选项:
A: 处处连续
B: 处处有极限,但不连续
C: 仅在(0,0)点连续
D: 除(0,0)点外处处连续
答案: 【 处处连续】
3、单选题:

选项:
A: 充分而不必要条件
B: 必要而不充分条件
C: 必要且充分条件
D: 既不必要也不充分条件
答案: 【 必要而不充分条件】
4、单选题:

选项:
A: 充分而不必要条件
B: 必要而不充分条件
C: 必要且充分条件
D: 既不必要也不充分条件
答案: 【 既不必要也不充分条件】
5、单选题:

选项:
A: 必要而不充分条件
B: 充分而不必要条件
C: 充分必要条件
D: 既非充分也非必要条件
答案: 【 必要而不充分条件】
6、单选题:

选项:
A: 极限存在
B: 连续
C: 全微分存在
D: 以上都不对
答案: 【 以上都不对】
7、单选题:

选项:
A: 
B: 
C: 
D: 
答案: 【
】
8、单选题:

选项:
A: 连续
B: 极限存在
C: 偏导数存在
D: 极值存在
答案: 【 偏导数存在】
9、单选题:

选项:
A: 
B: 
C: 
D: 
答案: 【
】
10、单选题:

选项:
A: 
B: 
C: 
D: 
答案: 【
】
11、单选题:

选项:
A: 
B: 
C: 
D: 
答案: 【
】
12、单选题:

选项:
A: 
备案号:冀ICP备20010840号 2020-2099辉辉网络科技 All Rights Reserved