

1、单选题:
某质点作直线运动的运动学方程为x=3t-5t3 + 6 (SI),则该质点作
选项:
A: 匀加速直线运动,加速度沿x轴正方向
B: 匀加速直线运动,加速度沿x轴负方向
C: 变加速直线运动,加速度沿x轴正方向
D: 变加速直线运动,加速度沿x轴负方向
答案: 【 变加速直线运动,加速度沿x轴负方向】
2、单选题:
一质点沿x轴作直线运动,其v–t曲线如图所示,如t=0时,质点位于坐标原点,则t=4.5 s时,质点在x轴上的位置为
选项:
A: 5m
B: 2m
C: 0
D: -2 m
答案: 【 2m】
3、单选题:
图中p是一圆的竖直直径pc的上端点,一质点从p开始分别沿不同的弦无摩擦下滑时,到达各弦的下端所用的时间相比较是

选项:
A: 到a用的时间最短
B: 到b用的时间最短
C: 到c用的时间最短
D: 所用时间都一样
答案: 【 所用时间都一样】
4、单选题:
一质点在平面上运动,已知质点位置矢量的表示式为
(其中a、b为常量), 则该质点作
选项:
A: 匀速直线运动
B: 变速直线运动
C: 抛物线运动
D: 一般曲线运动
答案: 【 变速直线运动】
5、单选题:
几个不同倾角的光滑斜面,有共同的底边,顶点也在同一竖直面上.若使一物体(视为质点)从斜面上端由静止滑到下端的时间最短,则斜面的倾角应选
选项:
A: 60°
B: 45°
C: 30°
D: 15°
答案: 【 45°】
6、单选题:
如图所示,湖中有一小船,有人用绳绕过岸上一定高度处的定滑轮拉湖中的船向岸边运动.设该人以匀速率收绳,绳不伸长、湖水静止,则小船的运动是

选项:
A: 匀加速运动
B: 匀减速运动
C: 变加速运动
D: 变减速运动
答案: 【 变加速运动】
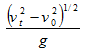
7、单选题:
一物体从某一确定高度以
的速度水平抛出,已知它落地时的速度为
,那么它运动的时间是
选项:
A: 
B: 
C: 
D: 
答案: 【
】
8、单选题:
一个质点在做匀速率圆周运动时
选项:
A: 切向加速度改变,法向加速度也改变
B: 切向加速度不变,法向加速度改变
C: 切向加速度不变,法向加速度也不变
D: 切向加速度改变,法向加速度不变
答案: 【 切向加速度不变,法向加速度改变】
9、单选题:
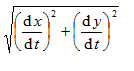
一运动质点在某瞬时位于矢径
的端点处, 其速度大小为
选项:
A: 
B: 
C: 
D: 
答案: 【
】
10、单选题:
一飞机相对空气的速度大小为 200 km/h, 风速为56 km/h,方向从西向东.地面雷达站测得飞机速度大小为 192 km/h,方向是
选项:
A: 南偏西16.3°
B: 北偏东16.3
C: 向正南或向正北
D: 西偏北16.3°
答案: 【 向正南或向正北】
1、单选题:
一光滑的内表面半径为10 cm的半球形碗,以匀角速度绕其对称OC旋转.已知放在碗内表面上的一个小球P相对于碗静止,其位置高于碗底4 cm,则由此可推知碗旋转的角速度约为

选项:
A: 10 rad/s
B: 13 rad/s
C: 17 rad/s
D: 18 rad/s
答案: 【 13 rad/s】
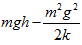
2、单选题:
质量为m的物体自空中落下,它除受重力外,还受到一个与速度平方成正比的阻力的作用,比例系数为k,k为正值常量.该下落物体的收尾速度(即最后物体作匀速运动时的速度)将是
选项:
A: 
B: 
C: 
D: 
答案: 【 
】
3、单选题:
如图所示,假设物体沿着竖直面上圆弧形轨道下滑,轨道是光滑的,在从A至C的下滑过程中,下面哪个说法是正确的?

选项:
A: 它的加速度大小不变,方向永远指向圆心
B: 它的速率均匀增加
C: 它的合外力大小变化,方向永远指向圆心
D: 轨道支持力的大小不断增加
答案: 【 轨道支持力的大小不断增加】
4、单选题:
人造地球卫星,绕地球作椭圆轨道运动,地球在椭圆的一个焦点上,则卫星的
选项:
A: 动量不守恒,动能守恒
B: 动量守恒,动能不守恒
C: 对地心的角动量守恒,动能不守恒
D: 对地心的角动量不守恒,动能守恒
答案: 【 对地心的角动量守恒,动能不守恒】
5、单选题:
如图所示,木块m沿固定的光滑斜面下滑,当下降h高度时,重力作功的
瞬时功率是:

选项:
A: 
B: 
C: 
D: 
答案: 【
】
6、单选题:
如图,一质量为m的物体,位于质量可以忽略的直立弹簧正上方高度为h处,该物体从静止开始落向弹簧,若弹簧的劲度系数为k,不考虑空气阻力,则物体下降过程中可能获得的最大动能是

选项:
A: 
B: 
C: 
D: 
答案: 【
】
7、单选题:
两辆小车A、B,可在光滑平直轨道上运动.第一次实验,B静止,A以0.5 m/s的速率向右与B碰撞,其结果A以 0.1 m/s的速率弹回,B以0.3 m/s的速率向右运动;第二次实验,B仍静止,A装上1 kg的物体后仍以 0.5 m/s1的速率与B碰撞,结果A静止,B以0.5 m/s的速率向右运动,如图.则A和B的质量分别为

选项:
A: mA=2 kg , mB=1 kg
B: mA=1 kg, mB=2 kg
C: mA=3 kg, mB=4 kg
D: mA=4 kg, mB=3 kg
答案: 【 mA=1 kg, mB=2 kg】
8、单选题:
如图,在光滑水平地面上放着一辆小车,车上左端放着一只箱子,今用同样的水平恒力拉箱子,使它由小车的左端达到右端,一次小车被固定在水平地面上,另一次小车没有固定.试以水平地面为参照系,判断下列结论中正确的是

选项:
A: 在两种情况下,做的功相等
B: 在两种情况下,摩擦力对箱子做的功相等
C: 在两种情况下,箱子获得的动能相等
D: 在两种情况下,由于摩擦而产生的热相等
答案: 【 在两种情况下,由于摩擦而产生的热相等】
9、单选题:
一质量为60 kg的人起初站在一条质量为300 kg,且正以2 m/s的速率向湖岸驶近的小木船上,湖水是静止的,其阻力不计.现在人相对于船以一水平速率v沿船的前进方向向河岸跳去,该人起跳后,船速减为原来的一半,v应为
选项:
A: 2 m/s
B: 3 m/s
C: 5 m/s
D: 6 m/s
答案: 【 6 m/s】
10、单选题:
在由两个物体组成的系统不受外力作用而发生非弹性碰撞的过程中,系统的
选项:
A: 动能和动量都守恒
B: 动能和动量都不守恒
C: 动能不守恒,动量守恒
D: 动能守恒,动量不守恒
答案: 【 动能不守恒,动量守恒】
1、单选题:
关于刚体对轴的转动惯量,下列说法中正确的是
选项:
A: 只取决于刚体的质量,与质量的空间分布和轴的位置无关
B: 取决于刚体的质量和质量的空间分布,与轴的位置无关
C: 取决于刚体的质量、质量的空间分布和轴的位置
D: 只取决于转轴的位置,与刚体的质量和质量的空间分布无关
答案: 【 取决于刚体的质量、质量的空间分布和轴的位置】
2、单选题:
如图所示,
备案号:冀ICP备20010840号 2020-2099辉辉网络科技 All Rights Reserved