

1、单选题:
以下关于模拟信号与数字信号的概念哪个是不对的?
选项:
A: 处理模拟信号的电子电路称为模拟电路
B: 模拟信号在时间和幅值上都是连续的信号
C: 对于模拟信号,器件工作在截止区;对于数字信号,器件工作在放大区
D: 模拟信号研究的是输出与输入的电压电流关系;数字信号研究的是输出与输入的逻辑关系
答案: 【 对于模拟信号,器件工作在截止区;对于数字信号,器件工作在放大区】
1、单选题:
电压放大电路抽象出的电路模型没有下面哪一项
选项:
A: 等效输入电阻
B: 受控电压源
C: 等效输出电助
D: 受控电流源
答案: 【 受控电流源】
1、单选题:
以下哪个表述是不对的?
选项:
A: 电压放大电路,希望输入电阻越大越好
B: 电压放大电路,希望输出电阻越小越好
C: 电流放大电路,希望输入电阻越大越好
D: 电流放大电路,希望输出电阻越大越好
答案: 【 电流放大电路,希望输入电阻越大越好】
1、单选题:
关于放大电路的输出电阻的描述,下面哪个不对?
选项:
A: 输出电阻的大小反映了放大电路的带负载能力
B: 求解输出电阻时,在输出端口要把负载去掉
C: 求解输出电阻时,输入端的独立源要置零
D: 放大电路输出量随负载变化量越小,其带负载能力越强
答案: 【 放大电路输出量随负载变化量越小,其带负载能力越强】
1、判断题:
幅度失真和相位失真是非线性失真
选项:
A: 正确
B: 错误
答案: 【 错误】
1、单选题:
请问这是一个什么电路?
选项:
A: 电流源等效电路
B: 电压源等效电路
C: 负载电路
D: 放大电路
答案: 【 电压源等效电路】
1、单选题:
某放大电路在负载开路时,测得输出电压为5V,在输入电压不变的情况下接入3KΩ的负载电阻,输出电压下降到3V,说明该放大电路的输出电阻为()KΩ。
选项:
A: 2
B: 3
C: 4
D: 5
答案: 【 2】
2、单选题:
某放大电路在接有2KΩ负载电阻时,测得输出电压为3V,在输入电压不变的情况下断开负载电阻,输出电压上升到7.5V,说明该放大电路的输出电阻为()KΩ。
选项:
A: 3
B: 6
C: 9
D: 12
答案: 【 3】
3、单选题:
已知某放大电路的输出电阻为3KΩ,在接有4KΩ负载电阻时,测得输出电压为2V。在输入电压不变的条件,断开负载电阻,输出电压将上升到()V。
选项:
A: 1
B: 2.5
C: 3.5
D: 4.5
答案: 【 3.5】
4、单选题:
放大电路对不同频率的正弦信号的稳态响应特性简称为()。
选项:
A: 频率响应
B: 放大倍数
C: 相移
D: 不详
答案: 【 频率响应】
5、单选题:
由于放大电路对含有多种频率信号的()不同而产生的波形失真,称为幅度失真。
选项:
A: 频率响应
B: 放大倍数
C: 相移
D: 不详
答案: 【 放大倍数】
6、单选题:
由于放大电路对信号中不同频率产生的()不同而产生的波形失真,称为相位失真。
选项:
A: 频率响应
B: 放大倍数
C: 相移
D: 不详
答案: 【 相移】
7、单选题:
测得某放大电路的输入正弦电压和电流的峰值分别为10mV和10μA,在负载电阻为2KΩ时,测得输出正弦电压信号的峰值为2V。试计算该放大电路的电压放大倍数()。
选项:
A: 200
B: 400
C: 600
D: 800
答案: 【 200】
8、单选题:
测得某放大电路的输入正弦电压和电流的峰值分别为10mV和10μA,在负载电阻为2KΩ时,测得输出正弦电压信号的峰值为2V。试计算该放大电路的电流放大倍数()。
选项:
A: 200
B: 150
C: 100
D: 50
答案: 【 100】
1、单选题:
下面哪一项不是集成运放的特点:
选项:
A: 开环电压增益非常高
B: 输入电阻很大
C: 输入电阻较小
D: 输出电阻较小
答案: 【 输入电阻较小】
1、单选题:
关于理想运放,下面哪一项不正确
选项:
A: 输入端的电流趋向于0
B: 线性区的范围很小
C: 输出电阻趋向于0
D: 输入电阻趋向于0
答案: 【 输入电阻趋向于0】
1、单选题:
电路如图所示,求
选项:
A: 1+R2/R1
B: 1+R1/R2
C: 1
D: R2/R1
答案: 【 1+R2/R1】
1、单选题:
电路如图所示。求
选项:
A: 4
B: 3
C: 2
D: 1
答案: 【 1】
1、单选题:
电路如图所示。求
选项:
A: R1/R2
B: R2/R1
C: -R1/R2
D: -R2/R1
答案: 【 -R2/R1】
1、单选题:
电路如图所示,从同相端看进去的等效输入电阻是多少?
选项:
A: R2
B: R3
C: R1
D: R2+R3
答案: 【 R2+R3】
1、单选题:
电路如图所示,下列哪个选项是正确的?

选项:
A: 从同相端看进去的等效输入电阻为0
B: 从同相端看进去的等效输入电阻为R2
C: 从同相端看进去的等效输入电阻为无穷大
D: 从同相端看进去的等效输入电阻为R1
答案: 【 从同相端看进去的等效输入电阻为无穷大】
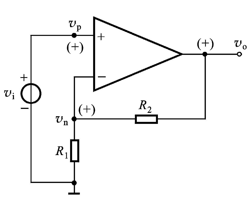
1、单选题:
关于运放,以下哪个说法是正确的?
选项:
A: 输出级是为了电压的放大
B: 有一个输入端和一个输出端
C: 为了得到虚短和虚断,需要引入负反馈
D: 反相放大电路的等效输入电阻为无穷大
答案: 【 为了得到虚短和虚断,需要引入负反馈】
1、单选题:
电路如图所示,设运放均是理想的。试求vo1的电压。
选项:
A: -1.2V
B: 1.2V
C: 0V
D: -0.6V
答案: 【 -1.2V 】
2、单选题:
电路如图所示,设运放均是理想的。试求vo的电压。

选项:
A: 1.2V
B: 0.6V
C: 1.8V
D: 0V
答案: 【 1.8V】
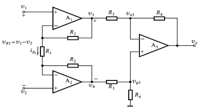
3、单选题:
由集成运放A1、A2组成的反馈放大电路如图所示,设A1、A2均为理想运放。试求闭环电压放大倍数Avf =vo/vi。

选项:
A: -R3/R1
B: R3/R1
C: -A2*R3/R1
D: A2*R3/R1
答案: 【 -R3/R1】
4、单选题:
由集成运放A1、A2组成的反馈放大电路如图所示,设A1、A2均为理想运放。试求输入电阻Rif。

选项:
A: R2
B: R1
C: R3
D: R3/R1
答案: 【 R1】
5、单选题:
由集成运放A1、A2组成的反馈放大电路如图所示,设A1、A2均为理想运放。试求输出电阻Rof。
选项:
A: R2
B: R1
C: 0
D: R3/R1
答案: 【 0】
1、单选题:
下面哪一项不正确?
选项:
A: 半导体的导电能力是随着温度的增加而增加的
B: 空穴可以看成是一个带正电的粒子,电量与电子相等
C: 可以用空穴移动产生的电流来代替受束缚的电子移动产生的电流
D: 硅的价电子比锗的价电子越容易摆脱束缚(相同情况)
答案: 【 硅的价电子比锗的价电子越容易摆脱束缚(相同情况)】
1、单选题:
下列哪项不正确?
选项:
A: N型半导体,自由电子数是远远大于空穴数的
B: N型半导体中,自由电子是多子
C: N型半导体中,空穴是多子
D: N型半导体中的空穴主要由热激发形成
答案: 【 N型半导体中,空穴是多子】
1、单选题:
下列哪一项不正确?
选项:
A: 空间电荷区的电阻率很高
B: PN结的内电场是从P区指向N区的
C: 由载流子浓度差引起的载流子运动,称为扩散运动
D: 漂移运动指的是电场作用所引起的载流子的运动
答案: 【 PN结的内电场是从P区指向N区的】
1、单选题:
下面哪项不是PN结加正向电压时的特性
选项:
A: 大的正向扩散电流
B: PN结导通
C: 低电阻
D: 高电阻
答案: 【 高电阻】
1、单选题:
下列哪项不正确
选项:
A: 锗二极管的门槛电压,相对硅而言比较小
B: 锗二极管的反向饱和电流,相对硅而言更大一点
C: 二极管两端所加的正向电压大于门槛电压时,电流呈现指数增加
D: 二极管两端施加反向电压时,会形成反向饱和电流,相当于二极管导通。
答案: 【 二极管两端施加反向电压时,会形成反向饱和电流,相当于二极管导通。】
1、单选题:
电路如图所示,下列哪项不正确?
选项:
A: 二极管正向导通,电流与电压呈现指数关系
B: 二极管是一种线性元件
C: 若已知二极管的伏安特性曲线,根据作图法,能求得二极管的Q点
D: 对于电路有
答案: 【 二极管是一种线性元件】
1、单选题:
下列哪一个说法不正确?
选项:
A: 对于二极管的理想模型,正向通电时,导通管压降为零
B: 对于二极管的理想模型,反向偏置时,二极管相当于一根导线
C: 恒压降模型就是在二极管的理想模型上加了一个电压源
D: 对于恒压降模型,当二极管导通后,认为管压降是0.7V
答案: 【 对于二极管的理想模型,反向偏置时,二极管相当于一根导线】
1、单选题:


电路如图所示,电源VDD等于1V,电阻R等于10KΩ的时,若用恒压降模型(硅0.7V)来求解二极管两端所对应和电流。
选项:
A: 1mA
B: 0.03mA
C: 0.07mA
D: 0mA
答案: 【 0.03mA】
1、单选题:
关于二极管的小信号模型,下列哪一个说法不正确?
选项:
A: 二极管的小信号模型就是一个电阻
B: 小信号模型中的微变等效电阻与静态工作点有关
C: 当静态电流越大时,所对应的微变等效电阻就越小
D: 当静态电流越大时,所对应的微变等效电阻就越大
答案: 【 当静态电流越大时,所对应的微变等效电阻就越大】
1、单选题:
关于稳压二极管,下列哪一个说法不正确?
选项:
A: 主要工作在反向电击穿的状态
B: 在它的正常工作区域内电流的变化很大
C: 当反向电流小于一定值时,它的稳压效果不好,稳压特性消失
D: 其动态电阻越大,它的稳压特性会越好
答案: 【 其动态电阻越大,它的稳压特性会越好】
1、单选题:
一硅稳压管稳压电路如图所示。其中未经稳压的直流输入电压VI=18V,R=1kΩ,RL=2kΩ,硅稳压管DZ的稳定电压VZ=10V,动态电阻及未被击穿时的反向电流均可忽略。试求VO的值。

选项:
A: 18V
B: 10V
C: 0V
D: 12V
答案: 【 10V】
2、单选题:
一硅稳压管稳压电路如图所示。其中未经稳压的直流输入电压VI=18V,R=1kΩ,RL=2kΩ,硅稳压管DZ的稳定电压VZ=10V,动态电阻及未被击穿时的反向电流均可忽略。试求IO的值。

选项:
A: 8mA
B: 3mA
C: 5mA
D: 0mA
答案: 【 5mA】
3、单选题:
一硅稳压管稳压电路如图所示。其中未经稳压的直流输入电压VI=18V,R=1kΩ,RL=2kΩ,硅稳压管DZ的稳定电压VZ=10V,动态电阻及未被击穿时的反向电流均可忽略。试求IR的值。

选项:
A: 8mA
B: 3mA
C: 5mA
D: 0mA
答案: 【 8mA】
4、单选题:
一硅稳压管稳压电路如图所示。其中未经稳压的直流输入电压VI=18V,R=1kΩ,RL=2kΩ,硅稳压管DZ的稳定电压VZ=10V,动态电阻及未被击穿时的反向电流均可忽略。试求IZ的值。

选项:
A: 8mA
B: 3mA
C: 5mA
D: 0mA
答案: 【 3mA】
5、单选题:
一硅稳压管稳压电路如图所示。其中未经稳压的直流输入电压VI=18V,R=1kΩ,RL=2kΩ,硅稳压管DZ的稳定电压VZ=10V,动态电阻及未被击穿时的反向电流均可忽略。试求RL值降低到多大时,电路的输出电压将不再稳定。
备案号:冀ICP备20010840号 2020-2099辉辉网络科技 All Rights Reserved