

1、单选题:
在电子器件中,用的最多的半导体材料是硅,其原子序号为 。
选项:
A: 4
B: 14
C: 24
D: 32
答案: 【 14】
2、单选题:
在室温下,本征半导体中的载流子数目 。
选项:
A: 很多
B: 较多
C: 较少
D: 极少
答案: 【 极少】
3、单选题:
在本征半导体中,本征激发产生的载流子是 。
选项:
A: 自由电子
B: 空穴
C: 正负离子
D: 自由电子和空穴
答案: 【 自由电子和空穴】
4、单选题:
在热力学零度时,本征半导体相当于 。
选项:
A: 导体
B: 超导体
C: 绝缘体
D: 半导体
答案: 【 绝缘体】
5、单选题:
本征激发体现了半导体的 特性。
选项:
A: 光敏性
B: 热敏性
C: 掺杂性
D: 光敏性和热敏性
答案: 【 光敏性和热敏性】
1、单选题:
在 中掺入适量的杂质元素称为杂质半导体。
选项:
A: P型半导体
B: N型半导体
C: I型半导体
D: 半导体
答案: 【 I型半导体】
2、单选题:
杂质半导体体现了半导体的 性。
选项:
A: 光敏
B: 热敏
C: 掺杂
D: 导电
答案: 【 掺杂】
3、单选题:
在杂质半导体中,少数载流子的浓度与 有关。
选项:
A: 电子
B: 空穴
C: 掺杂浓度
D: 温度
答案: 【 温度】
4、单选题:
P型半导体的多子是空穴,该半导体 。
选项:
A: 带正电
B: 带负电
C: 不带电
D: 无法确定带电情况
答案: 【 不带电】
5、单选题:
在N型半导体内掺入足够的三价元素,可以将其转型为 。
选项:
A: P型半导体
B: N型半导体
C: I型半导体
D: 导体
答案: 【 P型半导体】
1、单选题:
漂移电流是 在内电场作用下形成的。
选项:
A: 少数载流子
B: 多数载流子
C: 正离子
D: 负离子
答案: 【 少数载流子】
2、单选题:
关于PN结正偏说法正确的是 。
选项:
A: P端电位高,N端电位低
B: N端电位高,P端电位低
C: P端与N端电位相同
D: P、N两端电位高低不确定
答案: 【 P端电位高,N端电位低】
3、单选题:
当PN结外加反向电压时,耗尽层_____。
选项:
A: 变宽
B: 变窄
C: 不变
D: 无法确定
答案: 【 变宽】
4、单选题:
PN结外加正向电压时,扩散电流 漂移电流。
选项:
A: 大于
B: 小于
C: 等于
D: 无法确定
答案: 【 大于】
5、判断题:
PN结具有双向导电性。
选项:
A: 正确
B: 错误
答案: 【 错误】
1、单选题:
PN结伏安特性方程中的
在常温(
)时的值约为 。
选项:
A: 26V
B: 2.6V
C: 26mV
D: 2.6mV
答案: 【 26mV】
2、单选题:
下列关于PN结伏安特性方程中,正确的是 。
选项:
A: 
B: 
C: 
D: 
答案: 【
】
3、单选题:
PN结伏安特性方程可以描述PN结的 特性。
选项:
A: 正向
B: 反向
C: 正向和反向
D: 击穿
答案: 【 正向和反向】
4、单选题:
参数
表示的是 电压。
选项:
A: 反向
B: 击穿
C: 击穿反向
D: 反向击穿
答案: 【 反向击穿】
5、单选题:
参数
与 有关。
选项:
A: 外加电压
B: 掺杂性质
C: 反向击穿电压
D: 温度
答案: 【 温度】
1、单选题:
下列有关面接触型二极管的说法,正确的是 。
选项:
A: PN结面积小,适用于高频情况
B: PN结面积大,适用于高频情况
C: PN结面积小,适用于低频情况
D: PN结面积大,适用于低频情况
答案: 【 PN结面积大,适用于低频情况】
2、多选题:
点接触型二极管主要用于 。
选项:
A: 整流
B: 稳压
C: 检波
D: 开关
答案: 【 检波;
开关】
3、多选题:
由P区引出的电极称为 。
选项:
A: 阳极
B: 阴极
C: 正极
D: 负极
答案: 【 阳极;
正极】
1、单选题:
下列有关硅二极管的说法,正确的是 。
选项:
A: 死区电压为0.1V,正向导通电压为0.3 V
B: 死区电压为0.3 V,正向导通电压为0.5 V
C: 死区电压为0.5 V,正向导通电压为0.7 V
D: 死区电压为0.7 V,正向导通电压为0.9 V
答案: 【 死区电压为0.5 V,正向导通电压为0.7 V】
2、单选题:
当温度升高时,二极管伏安特性曲线的正向部分 。
选项:
A: 左移
B: 右移
C: 上移
D: 下移
答案: 【 左移】
3、单选题:
二极管的最大反向工作电压是100V,它的反向击穿电压约为 。
选项:
A: 50V
B: 100V
C: 150V
D: 200V
答案: 【 200V】
4、判断题:
二极管的伏安特性与PN结的伏安特性相同。
选项:
A: 正确
B: 错误
答案: 【 错误】
5、判断题:
当温度升高时,二极管的反向特性曲线将下移。
选项:
A: 正确
B: 错误
答案: 【 正确】
1、单选题:
理想二极管模型相当于 。
选项:
A: 一个理想开关
B: 一个恒压源
C: 一个动态电阻
D: 一条斜线
答案: 【 一个理想开关】
2、单选题:
在常温下测得流过某二极管的电流为10mA,此时二极管的动态电阻为 。
选项:
A: 2.6kΩ
B: 1.3kΩ
C: 2.6Ω
D: 条件不足,无法计算
答案: 【 2.6Ω】
3、单选题:
理想二极管的正向电阻为 。
选项:
A: 零
B: 无穷大
C: 约几十千欧
D: 约几十欧
答案: 【 零】
4、多选题:
用恒压源模型等效硅二极管时,下列参数中正确的是 。
选项:
A: 
B: 
C: 
D: 
答案: 【
;
】
5、多选题:
用万用表测量二极管的正反向电阻,通常采用 。
选项:
A: R×1Ω挡
B: R×10Ω挡
C: R×100Ω挡
D: R×1kΩ挡
答案: 【 R×100Ω挡;
R×1kΩ挡】
1、单选题:
稳压管正常工作时应处于 状态。
选项:
A: 正偏
B: 反偏
C: 反向击穿
D: 任意
答案: 【 反向击穿】
2、单选题:
用一只稳压二极管与一只普通二极管串联,可得到的稳压值有 种。
选项:
A: 1
B: 2
C: 3
D: 4
答案: 【 2】
3、单选题:
变容二极管主要利用二极管的 。
选项:
A: 单向导电性
B: 频率特性
C: 非线性
D: 结电容随反偏电压大小可变的特性
答案: 【 结电容随反偏电压大小可变的特性】
4、单选题:
发光二极管正常工作时处于 状态。
选项:
A: 正偏
B: 反偏
C: 反向击穿
D: 任意
答案: 【 正偏】
5、单选题:
光电二极管正常工作时应处于 状态。
选项:
A: 正偏
B: 反偏
C: 反向击穿
D: 任意
答案: 【 反偏】
1、单选题:
1.在本征半导体中加入适量的 元素可以形成N型半导体。
选项:
A: 二价
B: 三价
C: 四价
D: 五价
答案: 【 五价】
2、单选题:
在杂质半导体中,多数载流子的浓度主要取决于 。
选项:
A: I型半导体
B: 杂质浓度
C: 杂质类型
D: 温度
答案: 【 杂质浓度】
3、单选题:
在常温下,硅二极管的开启电压约为 V。
选项:
A: 0.7
B: 0.1
C: 0.5
D: 0.2
答案: 【 0.5】
4、单选题:
温度升高,二极管的反向特性曲线 。
选项:
A: 左移
B: 上移
C: 右移
D: 下移
答案: 【 下移】
5、单选题:
用万用表的R×100Ω和R×1kΩ挡分别测量一个正常二极管的正向电阻,两次测量结果是 。
选项:
A: R×100Ω挡测量的比R×1kΩ挡测量的阻值小
B: 相同
C: R×100Ω挡测量的比R×1kΩ挡测量的阻值大
D: 无法判断
答案: 【 R×100Ω挡测量的比R×1kΩ挡测量的阻值小】
6、单选题:
由理想二极管构成的电路如图所示,电压
。

选项:
A: -3V
B: 0V
C: -12V
D: – 15V
答案: 【 -12V】
7、单选题:
如图所示电路中的二极管性能均为理想,电路中的电压
。

选项:
A: -3V
B: -15V
C: -12V
D: 3V
答案: 【 -15V】
8、单选题:
两只稳压值分别为6V和9V的硅稳压管并联,可得到的稳压值是 。
选项:
A: 6V,0.7V
B: 9V,0.7V
C: 6V,9V
D: 0.7V,0.7V
答案: 【 6V,0.7V】
9、单选题:
稳压管电路如图所示。两稳压管的稳压值均为6.3 V,正向导通电压为0.7V,其输出电压
为 。
选项:
A: 1.4V
B: 7V
C: 0.7V
D: 6.7V
答案: 【 7V】
10、单选题:
稳压管稳压电路如图所示,其中
,
,且具有理想特性。由此可知输出电压
为 。
选项:
A: 0
B: 6V
C: 1V
D: 7V
答案: 【 1V】
11、判断题:
由于PN结交界面两边存在电位差,所以当把PN结两端短路时就有电流通过。
选项:
A: 正确
B: 错误
答案: 【 错误】
12、判断题:
PN结方程可以描述PN结的正、反向特性,也可以描述其反向击穿特性。
选项:
A: 正确
B: 错误
答案: 【 错误】
13、判断题:
二极管的动态电阻
随静态工作点电流的增大而减小。
选项:
A: 正确
B: 错误
答案: 【 正确】
14、判断题:
型号为2CW14的稳压管稳压值是在6~7.5V之间,说明该稳压管的稳压值是在6~7.5V之间可变。
选项:
A: 正确
B: 错误
答案: 【 错误】
15、判断题:
发光二极管要正向偏置,光电二极管要反向偏置。
选项:
A: 正确
B: 错误
答案: 【 正确】
1、单选题:
晶体管是由 层半导体组成。
选项:
A: 1
B: 2
C: 3
D: 4
答案: 【 3】
2、单选题:
晶体管电路符号中的箭头方向表示 。
选项:
A: 发射结由P指向N
B: 集电结由P指向N
C: 发射结由N指向P
D: 集电结由N指向P
答案: 【 发射结由P指向N】
3、单选题:
在电路中,晶体管有 种接法。
选项:
A: 1
B: 2
C: 3
D: 4
答案: 【 3】
1、单选题:
下列有关晶体管的说法中,正确的是 。
选项:
A: 发射区的掺杂浓度小于集电区
B: 基区很薄,掺杂浓度较大
C: 基区与集电区的接触面积较大
D: 发射极与集电极可以互换
答案: 【 基区与集电区的接触面积较大】
2、单选题:
NPN型晶体管工作在放大状态,要求 .
选项:
A:
,
B:
,
C:
,
D:
,
答案: 【
,
】
3、单选题:
当集电结反偏时,基区和集电区中的少子向对方漂移,形成了 。
选项:
A: 基极电流
B: 集电极电流
C: 发射极电流
D: 反向饱和电流
答案: 【 反向饱和电流
】
1、单选题:
在共基极接法的电路中,体现了 的控制作用。
选项:
A:
对
B:
对
C:
对
D:
对
答案: 【
对
】
2、单选题:
下列关于穿透电流的表达式正确的是 。
选项:
A: 
B: 
C: 
D: 
答案: 【
】
3、多选题:
在下列各式中, 能够正确反映晶体管的电流分配关系。
选项:
A: 
B: 
C: 
D: 
答案: 【
;
】
1、单选题:
共发射极接法的晶体管工作在放大状态下,对直流而言其 。
选项:
A: 输入具有近似的恒压特性,而输出具有恒流特性
B: 输入和输出都具有近似的恒流特性
C: 输入和输出都具有近似的恒压特性
D: 输入具有近似的恒流特性,而输出具有近似的恒压特性
答案: 【 输入具有近似的恒压特性,而输出具有恒流特性】
2、单选题:
测得放大电路中晶体管各电极电位如图所示,说明该管是 。

选项:
A: NPN锗管
B: NPN硅管
C: PNP锗管
D: PNP硅管
答案: 【 PNP锗管】
3、单选题:
测得电路中PNP型晶体管e、b、c三个电极的电位分别是2.6V、2V、2.4V,该管的工作状态是 。
选项:
A: 饱和
B: 截止
C: 放大
D: 损坏
答案: 【 饱和】
1、单选题:
当晶体管的集电极电流
时,下列说法正确的是 。
选项:
A: 晶体管一定被损坏
B: 晶体管的
C: 晶体管的
一定减小
D: 晶体管的
一定增大
答案: 【 晶体管的
一定减小】
2、单选题:
的区域称为 。
选项:
A: 过流区
B: 过压区
C: 过损区
D: 击穿区
答案: 【 过损区】
3、单选题:
某晶体管的
,
,
。当 时,可以保证晶体管安全工作。
选项:
A:
,
B:
,
C:
,
D:
,
答案: 【
,
】
4、单选题:
当温度升高时,晶体管的
、
、
的变化情况是 。
选项:
A:
增加、
和
减小
B:
和
增加、
减小
C:
和
减小、
增加
D:
、
和
都增加
答案: 【
和
增加、
减小】
5、单选题:
温度升高 。
选项:
A:
减小,输入特性曲线右移
B:
减小,输入特性曲线左移
C:
增大,输入特性曲线右移
D:
增大,输入特性曲线左移
答案: 【
减小,输入特性曲线左移】
1、单选题:
是衡量放大电路对信号的放大能力。
选项:
A: 
B: 
C: 
D: 
答案: 【
】
2、单选题:
源电压放大倍数与电压放大倍数的关系是 。
选项:
A: 
B: 
C: 
D: 
答案: 【
】
3、单选题:
如果信号源分别是接近于理想的电压源和电流源,那么希望放大电路的输入电阻分别是 。
选项:
A: 大,小
B: 大,大
C: 小,小
D: 小,大
答案: 【 大,小】
4、单选题:
有两个空载放大倍数相同,输入输出电阻不同的放大电路甲和乙,对同一信号源进行放大,在负载开路的情况下测得甲的输出电压小,这说明甲的 。
选项:
A: 输入电阻大
B: 输入电阻小
C: 输出电阻大
D: 输出电阻小
答案: 【 输入电阻小】
5、单选题:
某放大电路在负载开路时的输出电压为4V,接入3kΩ的负载后输出电压降为3V。这说明放大电路的输出电阻为 。
选项:
A: 10kΩ
B: 2kΩ
C: 1kΩ
D: 0.5kΩ
答案: 【 1kΩ】
1、单选题:
在基本共射电路中,基极偏置电阻
的作用是 。
选项:
A: 限制基极电流,使晶体管工作在放大区,并防止输入信号被短路
B: 把基极电流的变化转换为输入电压的变化
C: 保护信号源
D: 防止输出信号被短路
答案: 【 限制基极电流,使晶体管工作在放大区,并防止输入信号被短路】
2、单选题:
在基本共射放大电路中, 可以把放大的电流转换为电压输出。
选项:
A: 
B: 
C: 
D: 
答案: 【
】
3、判断题:
判断如图所示的电路是否正确。

选项:
A: 正确
B: 错误
答案: 【 错误】
1、单选题:
放大电路直流通路的画法是 。
选项:
A: 电容视为短路,电感视为短路
B: 电容视为短路,电感视为开路
C: 电容视为开路,电感视为短路
D: 电容视为开路,电感视为开路
答案: 【 电容视为开路,电感视为短路】
2、单选题:
放大电路交流通路的画法是 。
选项:
A: 理想直流电源开路,大容量电容开路
B: 理想直流电源开路,大容量电容短路
C: 理想直流电源短路,大容量电容开路
D: 理想直流电源短路,大容量电容短路
答案: 【 理想直流电源短路,大容量电容短路】
3、单选题:
在如图所示的交流通路中,输出电压可表示为 。

选项:
A: 
B: 
C: 
D: 
答案: 【
】
4、单选题:
在下列表述放大电路电流、电压的关系式中,正确的是 。
选项:
A: 
B: 
C: 
D: 
答案: 【
】
5、判断题:
在晶体管组成的放大电路中,常用解析法估算放大电路的静态工作点。
选项:
A: 正确
B: 错误
答案: 【 错误】
1、单选题:
在共射放大电路的图解分析中,直流负载线 为静态工作点。
选项:
A: 中点处
B: 与
对应的那条输出特性曲线的交点
C: 与输出特性曲线的交点
D: 与中间那条输出特性曲线的交点
答案: 【 与
对应的那条输出特性曲线的交点】
2、单选题:
在基本共射放大电路中,改变电源
,直流负载线 。
选项:
A: 斜率增大
B: 斜率减小
C: 位置不变
D: 平行移动
答案: 【 平行移动】
3、单选题:
在基本共射放大电路中如果用万用表测得
,可能是因为 。
选项:
A:
短路
B:
开路
C:
开路
D:
过大
答案: 【
开路】
4、多选题:
在基本共射放大电路中,下列说法正确的是 。
选项:
A: 静态工作点随
的增大沿直流负载线向上移动
B: 静态工作点随
的增大沿直流负载线向下移动
C: 静态工作点随
的增大沿
对应的输出特性曲线向左移动
D: 静态工作点随
的增大沿
对应的输出特性曲线向右移动
答案: 【 静态工作点随
的增大沿直流负载线向下移动;
静态工作点随
的增大沿
对应的输出特性曲线向左移动】
5、多选题:
图解法较适于解决的问题是 。
选项:
A: 输入、输出均为小信号时电路的交流性能
B: 输入正弦波信号时输出波形
C: 输出为大信号时的幅值与波形
D: 静态工作点的设置情况
答案: 【 输出为大信号时的幅值与波形;
静态工作点的设置情况】
1、单选题:
在基本共射放大电路中,输入电容两端的电压为 。
选项:
A: 0
B: 
C: 
D: 
答案: 【
】
2、单选题:
交流负载线是经过Q点和坐标为 点的直线。
选项:
A: 
B: 
C: 
D: 
答案: 【
】
3、判断题:
交流负载线是动态工作点移动的轨迹。
选项:
A: 正确
B: 错误
答案: 【 正确】
4、判断题:
当负载开路时,交流负载线与直流负载线重合。
选项:
A: 正确
B: 错误
答案: 【 正确】
5、判断题:
在基本共射放大电路中,输出电压与输入电压波形同相。
选项:
A: 正确
B: 错误
答案: 【 错误】
1、单选题:
对于NPN管组成的放大电路,当静态工作点偏高时,下列说法正确的是 。
选项:
A:
、
削顶,
削顶
B:
、
削顶,
削底
C:
不失真、
削底,
削顶
D:
不失真、
削顶,
削底
答案: 【
不失真、
削顶,
削底】
2、单选题:
对于PNP管组成的放大电路,当静态工作点偏低时,下列说法正确的是 。
选项:
A:
、
削底,
削底
B:
、
削底,
削顶
C:
不失真、
削底,
削顶
D:
不失真、
削顶,
削底
答案: 【
、
削底,
削底】
3、单选题:
在输出波形不失真的情况下,静态工作点位于交流负载线的 为最佳。
选项:
A: 中点处
B: 偏高处
C: 偏低处
D: 任意处
答案: 【 偏低处】
4、单选题:
在放大电路中, 时可输出最大不失真电压。
选项:
A: 
B: 
C: 
D: 
答案: 【
】
5、单选题:
基本共射放大电路输出特性曲线及放大电路的交流、直流负载线如图所示。该电路最大不失真输出电压的幅值是 V。

选项:
A: 10
B: 6
C: 4
D: 2
答案: 【 2】
1、单选题:
晶体管是一种 的器件。
选项:
A: 电压控制电压
B: 电压控制电流
C: 电流控制电压
D: 电流控制电流
答案: 【 电流控制电流】
2、单选题:
工作在放大区的某晶体管,如果测得晶体管
时
,而
时
,则该管的交流电流放大系数为 。
选项:
A: 80
B: 60
C: 75
D: 100
答案: 【 60】
3、单选题:
测得放大电路中的三极管管脚电位分别为-9V、-6V和-6.2V,说明该晶体管是 。
选项:
A: NPN锗管
B: PNP锗管
C: NPN硅管
D: PNP硅管
答案: 【 PNP锗管】
4、单选题:
用万用表直流电压挡测得电路中晶体管各电极对地电位如图所示,说明该晶体管的工作状态是 。

选项:
A: 饱和
B: 截止
C: 放大
D: 损坏
答案: 【 截止】
5、单选题:
测得放大电路中晶体管各电极电位如图所示,该管的电极从左到右依次为 。

选项:
A: c、b、e
B: c、e、b
C: b、e、c
D: e、b、c
答案: 【 e、b、c】
6、单选题:
晶体管的
大,说明其 。
选项:
A: 工作电流大
B: 击穿电压高
C: 寿命长
D: 热稳定性差
答案: 【 热稳定性差】
7、单选题:
某三极管的极限参数
,
,
若它的工作电压
,则工作电流
不得超过 mA。
选项:
A: 150
B: 100
C: 50
D: 5
答案: 【 100】
8、单选题:
分析放大电路通常采用交直流分开分析的方法,这是因为 。
选项:
A: 晶体管是非线性器件
B: 电路中存在电容
C: 电路中存在电阻
D: 电路中既有直流量又有交流量
答案: 【 电路中既有直流量又有交流量】
9、单选题:
基本共射放大电路的输出特性曲线和直流、交流负载线如图所示,由此可得出负载电阻的大小是 。

选项:
A: 1kΩ
B: 2kΩ
C: 3kΩ
D: 4kΩ
答案: 【 3kΩ】
10、单选题:
在NPN管基本共射放大电路中,用万用表测得基极电位比集电极电位高,当输入信号
为正弦波时,输出信号
的波形为 。
选项:
A: 正弦波
B: 削底波形
C: 削顶波形
D: 双向失真波形
答案: 【 削底波形】
11、判断题:
若晶体三极管发射结处于正向偏置,其一定工作在放大状态。
选项:
A: 正确
B: 错误
答案: 【 错误】
12、判断题:
晶体管由两个PN结构成,因此可以用两个二极管反向串联来构成一个晶体管。
选项:
A: 正确
B: 错误
答案: 【 错误】
13、判断题:
放大电路的静态是指输入直流信号的状态。
选项:
A: 正确
B: 错误
答案: 【 错误】
14、判断题:
在交流通路中只考虑交流信号的作用。
选项:
A: 正确
B: 错误
答案: 【 正确】
15、判断题:
只要是共射放大电路,输出电压的底部失真都是饱和失真。
选项:
A: 正确
B: 错误
答案: 【 错误】
1、单选题:
估算放大电路的静态工作点,需要计算 。
选项:
A:
和
B:
和
C:
、
和
D:
、
和
答案: 【
、
和
】
2、单选题:
由NPN管组成的固定偏置共射放大电路,若
,
,
,晶体管的
,
,通过计算可判断该电路处于 状态。
选项:
A: 放大
B: 饱和
C: 截止
D: 不定
答案: 【 饱和】
3、单选题:
在如图所示的电路中,T为硅管。当
时,输出电压
。

选项:
A: 为正弦波
B: 为半个正弦波
C: 为矩形波
D: 无任何波形
答案: 【 无任何波形】
4、单选题:
固定偏置共射放大电路输出特性曲线和直流、交流负载线如图所示,由此可确定集电极电阻
为 。

选项:
A: 1kΩ
B: 2kΩ
C: 3kΩ
D: 4kΩ
答案: 【 3kΩ】
5、多选题:
对于如图所示的放大电路,下列表达式正确的是 。

选项:
A: 
B: 
C: 
D: 
答案: 【
;
】
1、单选题:
利用微变等效模型可以计算放大电路的 。
选项:
A: 静态工作点
B: 交流性能指标
C: 直流和交流指标
D: 最大不失真输出电压
答案: 【 交流性能指标】
2、单选题:
晶体管微变等效模型中的电压和电流必须采用 形式。
选项:
A: 直流量
B: 交流量
C: 瞬时量
D: 正弦量有效值的相量
答案: 【 正弦量有效值的相量】
3、多选题:
晶体管微变等效模型中的动态电阻
。
选项:
A: 
B: 
C: 
D: 
答案: 【
;
】
1、单选题:
放大电路的负载所获得的能量主要是由 提供的。
选项:
A: 输入端的信号源
B: 加在放大电路上的直流稳压电源
C: 电路中的有源元件
D: 电路中的电容
答案: 【 加在放大电路上的直流稳压电源】
2、单选题:
在固定偏置共射放大电路中,当
一定时,在一定范围内增大
,其电压放大倍数将 。
选项:
A: 增大
B: 减小
C: 不变
D: 不能确定
答案: 【 增大】
3、单选题:
带有负载的固定偏置共射放大电路,下列各表达式正确的是 。
选项:
A: 
B: 
C: 
D: 
答案: 【
】
4、单选题:
由NPN管组成的带负载固定偏置共射放大电路,如果
减小,则会引起 。
选项:
A: Q点上升,
减小
B: Q点下降,
减小
C: Q点不动,
减小
D: Q点不动,
增大
答案: 【 Q点不动,
减小】
5、多选题:
对于如图所示的放大电路,书写正确的表达式是 。

选项:
A: 
B: 
C: 
D: 
答案: 【
;
】
1、单选题:
引起放大电路静态工作点不稳定的原因很多,其中最主要的原因是 。
选项:
A: 电源电压的波动
B: 信号源电压的不稳定
C: 负载的变化
D: 温度
答案: 【 温度】
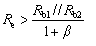
2、单选题:
在分压式工作点稳定共射放大电路中,起稳定工作点的主要元件是 。
选项:
A: 电阻
B: 电阻
C: 电阻
D: 电阻
答案: 【 电阻
】
3、单选题:
在分压式工作点稳定共射放大电路中,当
时,
,
。若只更换
的晶体管,而其他参数不变,则
和
分别为 。
选项:
A: 10μA,1mA
B: 20μA,2mA
C: 30μA,3mA
D: 40μA,4mA
答案: 【 10μA,1mA】
4、单选题:
在如图所示的放大电路中,测得
,
,说明该电路出现了故障,分析故障原因是 。

选项:
A:
开路
B:
短路
C:
短路
D:
开路
答案: 【
开路】
5、多选题:
分压式工作点稳定共射放大电路的稳定条件是 。
选项:
A: 
B: 
C: 
D: 
答案: 【
;
】
1、单选题:
在分压式工作点稳定共射放大电路中,计算Q点的步骤是 。
选项:
A:
、
、
、
B:
、
、
、
C:
、
、
、
D:
、
、
、
答案: 【
、
、
、
】
2、单选题:
分压式工作点稳定共射放大电路,在 的条件下可采用近似计算法。
选项:
A: 
B: 
C: 
D: 
答案: 【
】
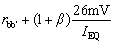
3、单选题:
对于如图所示的放大电路,下列表达式正确的是 。

选项:
A: 
B: 
C: 
D: 
答案: 【
】
4、单选题:
若将如图所示放大电路中的电阻
调大,则对电路性能产生的影响是 。

选项:
A:
增大、
增大
B:
减小、
增大
C:
增大、
减小
D:
减小、
减小
答案: 【
增大、
减小】
5、多选题:
在如图所示的电路中,正确的表达式是 。

选项:
A: 
B: 
C: 
D: 
答案: 【
;
】
1、单选题:
在带有负载的共集放大电路中,下列表达式正确的是 。
选项:
A: 
备案号:冀ICP备20010840号 2020-2099辉辉网络科技 All Rights Reserved