

1、单选题:
下列各组函数表示相等函数的是
选项:
A: 
B: 
C: 
D: 
答案: 【
】
2、单选题:
下列命题中,正确的是
选项:
A: 
B: 
C: 
D: 
答案: 【
】
3、单选题:

选项:
A: 
B: 
C: 
D: 
答案: 【
】
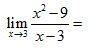
4、单选题:

选项:
A: -3
B: 3
C: -8
D: 8
答案: 【 8】
5、单选题:

选项:
A: 
B: 
C: 
D: 
答案: 【
】
1、单选题:

选项:
A: 
B: 
C: 
D: 
答案: 【
】
2、单选题:

选项:
A: 
B: 
C: 
D: 
答案: 【
】
3、单选题:

选项:
A: 
B: 
C: 
D: 
答案: 【
】
4、单选题:

选项:
A: 
B: 
C: 
D: 
答案: 【
】
5、单选题:

选项:
A: 
B: 
C: 
D: 
答案: 【
】
6、单选题:

选项:
A: 
B: 
C: 
D: 
答案: 【
】
7、单选题:

选项:
A: 
B: 
C: 
D: 
答案: 【
】
8、单选题:

选项:
A: 
B: 
C: 
D: 
答案: 【
】
9、单选题:

选项:
A: 
B: 
C: 
D: 
答案: 【
】
10、单选题:

选项:
A: 
B: 
C: 
D: 
答案: 【
】
1、单选题:
下列函数中不是基本初等函数的是
选项:
A: 反三角函数
B: 符号函数
C: 对数函数
D: 幂函数
答案: 【 符号函数】
2、单选题:

选项:
A: 
B: 
C: 
D: 
答案: 【
】
3、单选题:

选项:
A: 
B: 
C: 
D: 
答案: 【
】
4、单选题:

选项:
A: 
B: 
C: 
D: 
答案: 【
】
5、单选题:

选项:
A: 
B: 
C: 
D: 
答案: 【
】
1、单选题:

选项:
A: 
B: 
C: 
D: 
答案: 【
】
2、单选题:

选项:
A: 
B: 
C: 
D: 
答案: 【
】
3、单选题:

选项:
A: 
B: 
C: 
D: 
答案: 【
】
4、单选题:

选项:
A: 
B: 
C: 
D: 
答案: 【
】
5、判断题:

选项:
A: 正确
B: 错误
答案: 【 正确】
6、判断题:

选项:
A: 正确
B: 错误
答案: 【 错误】
1、单选题:
下列关于初等函数的描述正确的是
选项:
A: 基本初等函数不是初等函数.
B: 复合函数不是初等函数.
C: 基本初等函数经过四则运算和复合运算得到的函数是初等函数.
D: 初等函数都能用一个解析式表示.
答案: 【 初等函数都能用一个解析式表示.】
2、单选题:

选项:
A: 
B: 
C: 
D: 
答案: 【
】
3、单选题:

选项:
A: 
B: 
C: 
D: 
答案: 【
】
4、判断题:
两个初等函数相加所得的关系式一定是初等函数.
选项:
A: 正确
B: 错误
答案: 【 正确】
5、判断题:
分段函数是多个函数.
选项:
A: 正确
B: 错误
答案: 【 错误】
1、单选题:

选项:
A: 
B: 
C: 
D: 
答案: 【
】
2、单选题:

选项:
A: 
B: 
C: 
D: 
答案: 【
】
3、单选题:

选项:
A: 
B: 
C: 
D: 
答案: 【
】
4、单选题:

选项:
A: 
B: 
C: 
D: 
答案: 【
】
5、单选题:

选项:
A: 
B: 
C: 
D: 
答案: 【
】
6、单选题:

选项:
A: 
B: 
C: 
D: 
答案: 【
】
7、单选题:

选项:
A: 
B: 
C: 
D: 
答案: 【
】
8、单选题:

选项:
A: 
B: 
C: 
D: 
答案: 【
】
9、单选题:

选项:
A: 
B: 
C: 
D: 
答案: 【
】
10、单选题:

选项:
A: 
B: 
C: 
D: 
E: 
F: 
G: 
H: 
答案: 【
;
】
11、单选题:

选项:
A: 
B: 
C: 
D: 
E: 
F: 
G: 
H: 
答案: 【
;
】
12、单选题:

选项:
A: 
B: 
C: 
D: 
答案: 【
】
13、单选题:

选项:
A: 
B: 
C: 
D: 
答案: 【
】
14、单选题:

选项:
A: 
B: 
C: 
D: 
答案: 【
】
15、单选题:

选项:
A: 
B: 
C: 
D: 
答案: 【
】
16、单选题:

选项:
A: 
B: 
C: 
D: 
答案: 【
】
17、单选题:

选项:
A: 
B: 
C: 
D: 
答案: 【
】
18、单选题:

选项:
A: 
B: 
C: 
D: 
答案: 【
】
19、单选题:

选项:
A: 
B: 
C: 
D: 
答案: 【
】
20、单选题:

选项:
A: 
B: 
C: 
D: 
答案: 【
】
21、单选题:

选项:
A: 
B: 
C: 
D: 
答案: 【
】
22、单选题:

选项:
A: 
B: 
C: 
D: 
答案: 【
】
23、单选题:

选项:
A: 
B: 
C: 
D: 
答案: 【
】
24、单选题:

选项:
A: 1
B: 0
C: -1
D: 2
答案: 【 1】
1、单选题:

选项:
A: 不存在
B: 0
C: 1
D: -1
答案: 【 1】
2、单选题:

选项:
A: 1
B: 不存在
C: -1
D: 0
答案: 【 不存在】
3、单选题:

选项:
A: 0
B: 1
C: -1
D: 不存在
答案: 【 1】
4、单选题:
下列说法中正确的是
选项:
A: 有界数列必定收敛
B: 收敛数列必定有界
C: 单调数列必定收敛
D: 收敛数列必定单调
答案: 【 收敛数列必定有界】
5、单选题:

选项:
A: 0
B: 3
C: 不存在
D: 以上都不对
答案: 【 3】
6、单选题:

选项:
A: 0
B: 1
C: -1
D: 不存在
答案: 【 0】
7、单选题:

选项:
A: 0
B: 1
C: -1
D: 不存在
答案: 【 不存在】
8、单选题:

选项:
A: 0
B: 1
C: -1
D: 不存在
答案: 【 0】
9、判断题:

选项:
A: 正确
B: 错误
答案: 【 错误】
10、判断题:

选项:
A: 正确
B: 错误
答案: 【 错误】
1、单选题:

选项:
A: 不存在
B: 
C: 
D: 
答案: 【 不存在】
2、单选题:

选项:
A: 必要条件
B: 充分条件
C: 充要条件
D: 无关条件
答案: 【 必要条件】
3、单选题:

选项:
A: 0
B: 1
C: -1
D: 不存在
答案: 【 0】
4、单选题:

选项:
A: 0
B: 1
C: -1
D: 不存在
答案: 【 0】
5、单选题:

选项:
A: 0
B: 1
C: -1
D: 不存在
答案: 【 不存在】
6、单选题:

选项:
A: 0
B: 1
C: -1
D: 不存在
答案: 【 不存在】
7、单选题:

选项:
A: 0
B: 1
C: 2
D: 不存在
答案: 【 2】
8、单选题:

选项:
A: 0
B: 
C: 
D: 不存在
答案: 【
】
9、单选题:

选项:
A: 0
B: 
C: 
D: 不存在
答案: 【
】
10、判断题:

选项:
A: 正确
B: 错误
答案: 【 错误】
1、单选题:

选项:
A: 必要条件
B: 充分条件
C: 充要条件
D: 无关条件
答案: 【 必要条件】
2、单选题:

选项:
A: -2
B: 2
C: -1
D: 0
答案: 【 2】
3、单选题:

选项:
A: 
B: 
C: 
D: 
答案: 【
】
4、单选题:

选项:
A: 0
B: 1
C: -1
D: 不存在
答案: 【 不存在】
5、单选题:

选项:
A: 必要条件
B: 充分条件
C: 充要条件
D: 无关条件
答案: 【 无关条件】
6、单选题:

选项:
A: 
B: 
C: 
D: 
答案: 【
】
7、单选题:

选项:
A: 
B: 
C: 
D: 
答案: 【
】
8、单选题:

选项:
A: 
B: 
C: 
D: 
答案: 【
】
9、判断题:

选项:
A: 正确
B: 错误
答案: 【 正确】
10、判断题:

选项:
A: 正确
B: 错误
答案: 【 正确】
1、单选题:

选项:
A: 
B: 
C: 
D: 
答案: 【
】
2、单选题:

选项:
A: 在定义域内有界
B: 在定义域内无界
C: 
D: 以上都不对
答案: 【
】
3、判断题:

选项:
A: 正确
B: 错误
答案: 【 正确】
4、判断题:

选项:
A: 正确
B: 错误
答案: 【 错误】
5、判断题:

选项:
A: 正确
B: 错误
答案: 【 错误】
1、单选题:
下列说法正确的是
选项:
A: 无穷大的倒数是无穷小
B: 无穷小的倒数是无穷大
C: 绝对值很大的常数是无穷大
D: 无界量是无穷大
答案: 【 无穷大的倒数是无穷小】
2、单选题:
下列函数是无穷大量的是
选项:
A: 
B: 
C: 
D: 
答案: 【
】
3、单选题:

选项:
A: 
B: 
C: 
D: 
答案: 【
】
4、单选题:
在给定的x趋向下,为无穷小量的是
选项:
A: 
B: 
C: 
D: 
答案: 【
】
5、单选题:

选项:
A: 充分条件
B: 必要条件
C: 充要条件
D: 无关条件
答案: 【 充要条件】
6、单选题:

选项:
A: 无界
B: 没有极限
C: 是无穷小量
D: 无意义
答案: 【 是无穷小量】
7、判断题:
无穷大的倒数是无穷小,无穷小的倒数是无穷大
选项:
A: 正确
B: 错误
答案: 【 错误】
8、判断题:
常数中没有无穷大
选项:
A: 正确
B: 错误
答案: 【 正确】
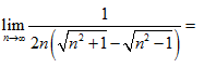
1、单选题:

选项:
A: 0
B: 
C: 10
D: 3
答案: 【
】
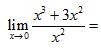
2、单选题:

选项:
A: 0
B: 
C: 3
D: 6
答案: 【 6】
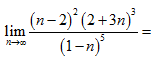
3、单选题:

选项:
A: 1
B: 2
C: 3
D: 4
答案: 【 3】
4、单选题:

选项:
A: 1
B: 
C: 
D: 0
答案: 【
】
5、单选题:

选项:
A: 0
B: 32
C: -27
D: 27
答案: 【 -27】
6、单选题:

选项:
A: 
B: 
C: 5
D: 3
答案: 【
】
7、判断题:

选项:
A: 正确
B: 错误
答案: 【 错误】
8、判断题:

选项:
A: 正确
B: 错误
答案: 【 错误】
1、单选题:

选项:
A: 1
B: 2
C: 3
D: 4
答案: 【 3】
2、单选题:

选项:
A: 0
B: 1
C: 2
D: 
答案: 【 1】
3、单选题:

选项:
A: 0
B: 
C: 
D: 
答案: 【
】
4、单选题:
下列各式中正确的是
选项:
A: 
B: 
C: 
D: 
答案: 【
】
5、单选题:

选项:
A: 
B: 
C: 
D: 
答案: 【
】
6、单选题:
下列等式成立的是
选项:
A: 
B: 
C: 
D: 
答案: 【
】
7、单选题:
下列等式成立的是
选项:
A: 
B: 
C: 
D: 
答案: 【
】
8、单选题:
下列等式成立的是
选项:
A: 
B: 
C: 
D: 
答案: 【
】
9、单选题:

选项:
A: 0
B: 1
C: 
D: 2
答案: 【 2】
10、单选题:

选项:
A: 0
B: 1
C: 
D: 2
答案: 【 1】
1、单选题:

选项:
A: 
B: 
C: 
D: 
答案: 【
】
2、单选题:

选项:
A: 同一个常数
B: 不同的变量
C: 同一个表达式
D: 以上都不对
答案: 【 同一个表达式】
3、单选题:

选项:
A: 
B: 
C: 0
D: 1
答案: 【
】
4、单选题:

选项:
A: 
B: 
C: 
D: 
答案: 【
】
5、单选题:
下列等式成立的是
选项:
A: 
B: 
C: 
D: 
答案: 【
】
6、单选题:

选项:
A: 
B: 
C: 
D: 
答案: 【
】
7、判断题:

选项:
A: 正确
B: 错误
答案: 【 错误】
8、判断题:

选项:
A: 正确
B: 错误
答案: 【 正确】
9、判断题:

选项:
A: 正确
B: 错误
答案: 【 正确】
10、判断题:

选项:
A: 正确
B: 错误
答案: 【 错误】
1、单选题:

选项:
A: 高阶无穷小
B: 同阶无穷小,但不等价
C: 等价无穷小
D: 低阶无穷小
答案: 【 同阶无穷小,但不等价】
2、单选题:

选项:
A: 高阶无穷小
B: 同阶无穷小,但不等价
C: 等价无穷小
D: 低阶无穷小
答案: 【 高阶无穷小 】
3、单选题:

选项:
A: 
B: 
C: 
D: 
答案: 【
】
4、单选题:

选项:
A: 
B: 
C: 
D: 
答案: 【
】
5、单选题:

选项:
A: 0
B: 1
C: 2
D: 3
答案: 【 2】
6、单选题:

选项:
A: 
B: 3
C: 
D: 2
答案: 【
】
7、单选题:

选项:
A: 1
B: 
C: 2
D: 0
答案: 【
】
8、单选题:

选项:
A: 0
B: 1
C: 2
D: 
答案: 【 1】
9、判断题:

选项:
A: 正确
B: 错误
答案: 【 错误】
10、判断题:

选项:
A: 正确
B: 错误
答案: 【 错误】
1、单选题:

选项:
A: 1
B: 2
C: 0
D: 
答案: 【 1】
2、单选题:

选项:
A: 0
B: 1
C: 2
D: 3
答案: 【 3】
3、单选题:

选项:
A: 0
B: 1
C: 2
D: 
答案: 【 0】
4、单选题:

选项:
A: 0
B: 1
C: 2
D: 
答案: 【 0】
5、单选题:

选项:
A: 1
B: 2
C: 3
D: 4
答案: 【 2】
6、单选题:

选项:
A: 
B: 1
C: 2
D: 0
答案: 【
】
7、单选题:

选项:
A: 0
B: 1
C: 2
D: 3
答案: 【 0】
8、单选题:

选项:
A: 6
B: 5
C: 4
D: 3
答案: 【 6】
9、单选题:

选项:
A: 2
B: 4
C: 6
D: 8
答案: 【 8】
10、单选题:

选项:
A: 
B: 
C: 
D: 
答案: 【
】
11、单选题:

选项:
A: 
B: 
C: 
D: 
E: 
F: 
G: 
H: 
I: 
J: 
K: 
L: 
M: 
N: 
答案: 【
;
;
;
】
12、单选题:

选项:
A: 
B: 
C: 
D: 
E: 
F: 
G: 
H: 
答案: 【
;
】
13、单选题:

选项:
A: 
B: 
C: 
D: 
答案: 【
】
14、单选题:

选项:
A: 
B: 
C: 
D: 
E: 
F: 
G: 
H: 
I: 
J: 
K: 
答案: 【
;
;
;
】
15、单选题:

选项:
A: 
B: 
C: 
D: 
答案: 【
】
16、单选题:

选项:
A: 
B: 
C: 
D: 
答案: 【
】
17、单选题:

选项:
A: 
B: 
C: 
D: 
答案: 【
】
18、单选题:

选项:
A: 
B: 
C: 
D: 
答案: 【
】
19、单选题:

选项:
A: 
B: 
C: 
D: 
答案: 【
】
20、单选题:

选项:
A: 
B: 
C: 
D:
备案号:冀ICP备20010840号 2020-2099辉辉网络科技 All Rights Reserved