

1、单选题:
下列信号的分类方法不正确的是( )。
选项:
A: 数字信号和离散信号
B: 确定信号和随机信号
C: 周期信号和非周期信号
D: 连续信号与离散信号
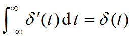
答案: 【 数字信号和离散信号】
2、单选题:
下列叙述正确的是( )
选项:
A: 各种数字信号都是离散信号
B: 各种离散信号都是数字信号
C: 数字信号的幅度只能取1或0
D: 将模拟信号抽样可得数字信号
答案: 【 各种数字信号都是离散信号】
3、单选题:
信号f(t)=cos2t+sin3t 周期为( )
选项:
A: π
B:
π
C: 2π
D: 6π
答案: 【 2π 】
4、单选题:
信号f(k)=
是( )
选项:
A: 能量信号
B: 功率信号
C: 既是能量信号又是功率信号
D: 既非能量信号又非功率信号
答案: 【 功率信号】
5、单选题:
f(t)波形如图所示,其表达式为( )

选项:
A: 
B: 
C: 
D: 
答案: 【
】
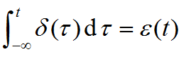
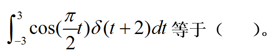
6、单选题:
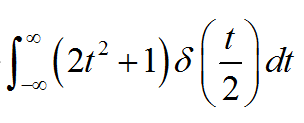
积分
等于( )
选项:
A: 2
B: -2
C: 1
D: 0
答案: 【 2】
7、单选题:
下列关于冲激函数性质的表达式不正确的是
选项:
A: 
B: 
C: 
D: 
答案: 【
】
8、单选题:

选项:
A: 1
B: -1
C: 0
D: 2
答案: 【 -1】
9、单选题:
下面关于能量信号和功率信号说法正确的是( )
选项:
A: 能量信号的能量E=0
B: 功率信号的功率P=0
C: 功率信号的能量E=∞
D: 能量信号的功率P=∞
答案: 【 功率信号的能量E=∞ 】
10、单选题:
下列说法不正确的是( )。
选项:
A: 一般周期信号为功率信号
B: 时限信号(仅在有限时间区间不为零的非周期信号)为能量信号
C: ε(t)是功率信号
D:
为能量信号
答案: 【
为能量信号】
1、单选题:
下列关系式错误的是( )
选项:
A:
B: δ(k) = ε(k) –ε(k –1)
C: 
D: 
答案: 【
】
2、单选题:
的周期等于( )
选项:
A: 8
B: 16
C: 4
D: 2
答案: 【 16】
3、单选题:
序列和
等于( )
选项:
A: 1
B: 
C: 
D: 
答案: 【 1】
4、单选题:
序列和
等于( )
选项:
A: 1
B: -1
C: 0
D: 5
答案: 【 0】
5、单选题:
f(t)波形如图所示,其表达式为( )

选项:
A: f(t)= t
B: f(t)= tε(t)
C: f(t)= t[ε(t-2)+ε(t-3)]
D: f(t)= t[ε(t-2) -ε(t-3)]
答案: 【 f(t)= t[ε(t-2) -ε(t-3)]】
6、单选题:
将信号f(t) 变换为( )称为对信号f(t)的反转或者反折。
选项:
A: f(at)
B: 2f(t)
C: f(t-a)
D: f(-t)
答案: 【 f(-t)】
7、单选题:
信号平移、反转和尺度变化的最佳作图顺序是( )
选项:
A: 先平移,再尺度变换,最后反折
B: 先反折,再尺度变换,最后平移
C: 先平移,再反折,最后尺度变换
D: 先尺度变换,再平移,最后反折
答案: 【 先平移,再尺度变换,最后反折】
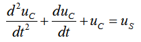
8、单选题:
下列微分或差分方程所描述的系统为线性时不变系统的是( )
选项:
A: 
B: 
C: 
D: 
答案: 【
】
9、单选题:
下列微分或差分方程所描述的系统为线性时变系统的是( )
选项:
A: 
B: 
C: 
D: 
答案: 【
】
10、单选题:
已知f(-2t – 4)波形如图所示,则图f(t)波形为( )

选项:
A: 
B: 
C: 
D: 
答案: 【
】
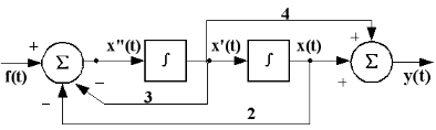
1、单选题:
已知系统框图如图所示
,则系统的微分方程为( )
选项:
A: 
B: 
C: 
D: 
答案: 【
】
2、单选题:

选项:
A: 
B: 
C: 
D: 
答案: 【
】
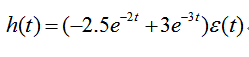
3、单选题:
选项:
A: y(0+) = 1、y'(0+) = -5
B: y(0+) = -1、y'(0+) = 5
C: y(0+) = 5、y'(0+) = 1
D: y(0+) = 1、y'(0+) = 5
答案: 【 y(0+) = 1、y'(0+) = 5 】
4、单选题:
线性系统响应满足以下规律( )
选项:
A: 若初始状态为零,则零输入响应为零。
B: 若初始状态为零,则零状态响应为零。
C: 若系统的零状态响应为零,则强迫响应也为零。
D: 若系统的起始状态为零,则系统的自由响应为零。
答案: 【 若初始状态为零,则零输入响应为零。 】
5、单选题:

选项:
A: ![]()
B: 
C: 
D: 
答案: 【
】
6、单选题:

选项:
A: 
B: 
C: 
D: 
答案: 【
】
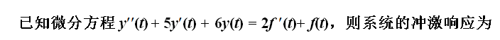
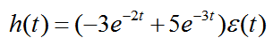
7、单选题:
已知某LTI系统对输入激励r(t)的零状态响应y(t)为
,则系统的单位冲激响应为( )
选项:
A: 
B: 
C: 
D: 
答案: 【
】
8、单选题:
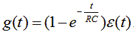
如图所示RC电路中,求电容电压的阶跃响应为( )

选项:
A: 
B: 
C: 
D: 
答案: 【
】
9、单选题:
下面说法不正确的是
选项:
A: 微分方程的齐次解是指对应齐次微分方程的解,函数形式由特征根来决定。
B: 特解的函数形式与激励的函数形式有关
C: LTI系统输出中的自由响应的形式由特征根和激励共同决定
D: LTI系统输出中的强迫响应是微分方程的特解,仅由激励决定
答案: 【 LTI系统输出中的自由响应的形式由特征根和激励共同决定】
10、单选题:
下面说法正确的是
选项:
A: 零输入响应称之为自由响应,零状态响应称之为强迫响应
B: 系统的零状态响应就是稳态响应
C: 暂态响应随着时间的增长,它将消失
D: 零状态响应是自由响应的一部分
答案: 【 暂态响应随着时间的增长,它将消失】
备案号:冀ICP备20010840号 2020-2099辉辉网络科技 All Rights Reserved