

1、单选题:
线性规划模型不包括下列( )要素。
选项:
A: 目标函数
B: 约束条件
C: 决策变量
D: 状态变量
答案: 【 状态变量】
2、填空题:
求一个线性函数在一组 约束条件下的最大化或最小化问题,称为线性规划问题。
答案: 【 线性】
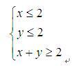
1、单选题:
1. 若x、y满足约束条件

则z=x+2y的取值范围是( )
选项:
A: [2,6]
B: [2,5]
C: [3,6]
D: (3,5]
答案: 【 [2,6]】
2、单选题:
为化为标准形式而引入的松弛变量在目标函数中的系数应为( )
选项:
A: 0
B: 1
C: 2
D: 3
答案: 【 0】
3、单选题:
若线性规划问题没有可行解,可行解集是空集,则此问题( )
选项:
A: 没有无穷多最优解
B: 没有最优解
C: 有无界解
D: 没有无界解
答案: 【 没有最优解】
4、单选题:
在单纯形法计算中,如不按最小比值原则选取换出变量,则在下一个解中( )
选项:
A: 不影响解的可行性
B: 至少有一个基变量的值为负
C: 找不到出基变量
D: 找不到进基变量
答案: 【 至少有一个基变量的值为负】
5、单选题:
用单纯形法求解极大化线性规划问题中,若某非基变量检验数为零,而其他非基变量检验数全部<0,则说明本问题( )
选项:
A: 有惟一最优解
B: 有多重最优解
C: 无界
D: 无解
答案: 【 有多重最优解】
6、单选题:
单纯形法当中,入基变量的确定应选择检验数( )
选项:
A: 绝对值最大
B: 绝对值最小
C: 正值最大
D: 负值最小
答案: 【 正值最大】
7、单选题:
在单纯形表的终表中,若非基变量的检验数有0,那么最优解( )
选项:
A: 不存在
B: 唯一
C: 无穷多
D: 无穷大
答案: 【 不存在】
8、填空题:
图解法适用于含有 个变量的线性规划问题。
答案: 【 两##%_YZPRLFH_%##2】
9、填空题:
线性规划问题的可行解是指满足 的解。
答案: 【 所有约束条件】
10、填空题:
在线性规划问题的基本解中,所有的非基变量等于 。
答案: 【 零##%_YZPRLFH_%##0】
11、填空题:
若线性规划问题有最优解,则最优解一定可以在可行域的 达到。
答案: 【 顶点##%_YZPRLFH_%##极点】
12、填空题:
线性规划问题有可行解,则必有 。
答案: 【 基可行解】
13、填空题:
如果线性规划问题存在目标函数为有限值的最优解,求解时只需在其 _的集合中进行搜索即可得到最优解。
答案: 【 基可行解】
14、填空
备案号:冀ICP备20010840号 2020-2099辉辉网络科技 All Rights Reserved