

1、单选题:

选项:
A: 1
B: -1
C: 3
D: 0
答案: 【 0】
2、单选题:

选项:
A: -2
B: 2
C: -1
D: 1
答案: 【 -1】
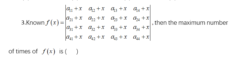
3、单选题:

选项:
A: 4
B: 3
C: 2
D: 1
答案: 【 1】
4、单选题:

选项:
A: 0
B: -1
C: 2
D: 1
答案: 【 2】
5、单选题:

选项:
A: 
B: 
C: 
D: 
答案: 【
】
6、单选题:

选项:
A: 
B: 
C: 
D: 
答案: 【
】
7、单选题:

选项:
A: m+n
B: -(m+n)
C: n-m
D: m-n
答案: 【 m-n】
8、单选题:

选项:
A: -6
B: 6
C: -5
D: 5
答案: 【 -6】
9、单选题:

选项:
A: -1
B: 0
C: 1
D: 3
答案: 【 -1】
10、单选题:

选项:
A: -7
B: 28
C: 8
D: 7
答案: 【 28】
1、单选题:


选项:
A: 
B: 
C: 
D: 
答案: 【
】
2、单选题:


选项:
A: 
B: 
C: 
D: 
答案: 【
】
3、单选题:


选项:
A: 
B: 
C: 
D: 
答案: 【
】
4、单选题:

选项:
A: 
B: 
C: 
D: 
答案: 【
】
5、单选题:

选项:
A: 
B: 
C: 
D: 
答案: 【
】
6、单选题:

选项:
A: 
B: 
C: 
D: 
答案: 【
】
7、单选题:

选项:
A: 
B: 
C: 
D: 
答案: 【
】
8、单选题:

选项:
A: 
B: 
C: 
D: 
备案号:冀ICP备20010840号 2020-2099辉辉网络科技 All Rights Reserved