

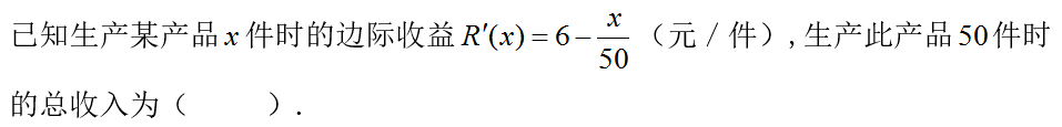
1、单选题:

选项:
A: 48
B: 58
C: 68
D: 78
答案: 【 68】
2、单选题:

选项:
A: 1500
B: 1600
C: 1700
D: 1800
答案: 【 1700】
3、单选题:

选项:
A: 200
B: 225
C: 250
D: 275
答案: 【 275】
4、单选题:

选项:
A: 500
B: 600
C: 700
D: 800
答案: 【 800】
5、单选题:

选项:
A: 600
B: 700
C: 900
D: 1000
答案: 【 900】
1、判断题:
一切多元初等函数在其定义区域内连续。
选项:
A: 正确
B: 错误
答案: 【 正确】
2、判断题:
在有界闭区域D上的多元连续函数,在D上不一定有最值。
选项:
A: 正确
B: 错误
答案: 【 错误】
1、判断题:
二元函数的极限又叫二重极限。
选项:
A: 正确
B: 错误
答案: 【 正确】
2、判断题:
一元函数各种求极限的方法在二元函数求极限时均可用。
选项:
A: 正确
B: 错误
答案: 【 错误】
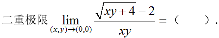
1、单选题:

选项:
A: 0
B: 
C:
备案号:冀ICP备20010840号 2020-2099辉辉网络科技 All Rights Reserved