

1、单选题:

选项:
A: 
B: 
C: 
D: 
答案: 【 
】
2、单选题:
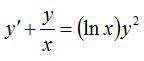
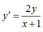
1. 下列为齐次方程的是( )
选项:
A: 
B: 
C: 
D: 
答案: 【
】
3、单选题:

选项:
A: 
B: 
C: 
D: 
答案: 【
】
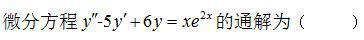
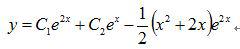
4、单选题:
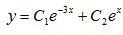
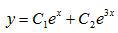
1. 下列微分方程满足所给初始条件的特解为( )

选项:
A: 
B: 
C: 
D: 
答案: 【
】
5、判断题:
凡表示未知函数﹑未知函数的导数与自变量之间的关系的方程叫做微分方程。
选项:
A: 正确
B: 错误
答案: 【 正确】
6、判断题:
如果微分方程的解中含有任意常数,这样的解叫做微分方程的通解。
选项:
A: 正确
B: 错误
答案: 【 错误】
1、单选题:

选项:
A: 
B: 
C: 
D: 
答案: 【
】
2、单选题:

选项:
A: 
B: 
C: 
D: 
答案: 【
】
3、单选题:

选项:
A: 
B: 
C: 
D: 
答案: 【
】
4、判断题:

选项:
A: 正确
B: 错误
答案: 【 正确】
5、判断题:

选项:
A: 正确
B: 错误
答案: 【 错误】
6、判断题:

选项:
A: 正确
B: 错误
答案: 【 正确】
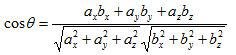
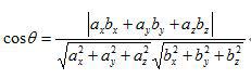
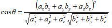
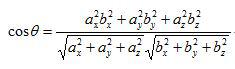
1、单选题:

选项:
A: 
B: 
C: y轴上
D: 第一卦限内
答案: 【
】
2、单选题:

选项:
A: 
B: 
C: 
D: 
答案: 【
】
3、单选题:

选项:
A: 
B: 
C: 
D: 
答案: 【
】
4、单选题:

选项:
A: 
B: 
C: 
D: 
答案: 【
】
5、单选题:

选项:
A: 
B: 
C: 
D: 
答案: 【
】
6、单选题:

选项:
A: 
B: 
C: 
D: 
答案: 【
】
1、单选题:

选项:
A: 
B: 
C: 
D: 
答案: 【
备案号:冀ICP备20010840号 2020-2099辉辉网络科技 All Rights Reserved