

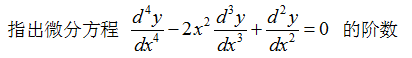
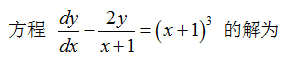
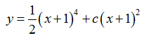
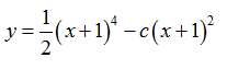
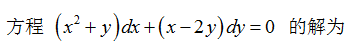
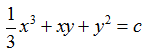
1、单选题:

选项:
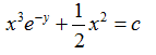
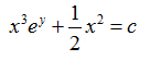
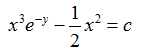
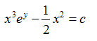
A: 
B: 
C: 
D: 
答案: 【
】
2、判断题:

选项:
A: 正确
B: 错误
答案: 【 正确】
3、判断题:

选项:
A: 正确
B: 错误
答案: 【 错误】
4、判断题:

选项:
A: 正确
B: 错误
答案: 【 正确】
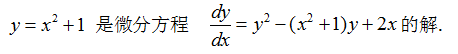
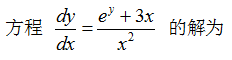
1、单选题:

选项:
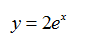
A: 
B: 二阶、线性
C: 一阶、非线性
D: 
答案: 【 二阶、线性】
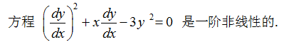
2、单选题:

选项:
A: 
B: 
C: 
D: 
答案: 【
】
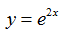
3、单选题:

选项:
A: 
B: 
C: 
D: 
答案: 【
】
4、判断题:

选项:
A: 正确
B: 错误
答案: 【 正确】
5、判断题:

选项:
A: 正确
B: 错误
答案: 【 正确】
6、判断题:

选项:
A: 正确
B: 错误
答案: 【 错误】
1、单选题:

选项:
A: 
B: 
C: 
D: 
答案: 【
】
2、单选题:

选项:
A: 
B: 
C: 
D: 
答案: 【
】
3、单选题:

选项:
A: 
B: 
C: 
D: 
答案: 【
】
4、单选题:

选项:
A: 
B: 
C: 
D: 
答案: 【
】
5、判断题:

选项:
A: 正确
B: 错误
答案: 【 正确】
6、判断题:

选项:
A: 正确
B: 错误
答案: 【 正确】
7、判断题:

选项:
A: 正确
B: 错误
答案: 【 正确】
1、单选题:

选项:
A: 
B: 
C: 
D: 
答案: 【
】
2、单选题:

选项:
A: 
B: 
C: 
D: 
答案: 【
】
3、单选题:

选项:
A: 
B: 
C: 
D: 
答案: 【
】
4、判断题:

选项:
A: 正确
B: 错误
答案: 【 正确】
5、判断题:

选项:
A: 正确
B: 错误
答案: 【 错误】
6、判断题:

选项:
A: 正确
B: 错误
答案: 【 正确】
1、单选题:

选项:
A: 
B: 
C: 
D: 
答案: 【
】
2、单选题:

选项:
A: 
B: 
C: 
D: 
答案: 【
】
3、单选题:

选项:
A: 
B: 
C: 
D: 
答案: 【
】
4、判断题:
备案号:冀ICP备20010840号 2020-2099辉辉网络科技 All Rights Reserved