

1、单选题:

选项:
A: 0
B: 1
C: 3
D: 5
答案: 【 5】
2、单选题:

选项:
A: 
B: 
C: 
D: 
答案: 【
】
3、单选题:

选项:
A: 
B: 
C: 
D: 
答案: 【
】
4、单选题:

选项:
A: 
B: 
C: 
D: 
答案: 【
】
1、单选题:

选项:
A: 
B: 
C: 
D: 
答案: 【
】
2、单选题:

选项:
A: 
B: 
C: 
D: 
答案: 【
】
3、单选题:

选项:
A: 
B: 
C: 
D: 
答案: 【
】
4、单选题:

选项:
A: 
B: 
C: 
D: 
答案: 【
】
1、单选题:

选项:
A: 
B: 
C: 
D: 
答案: 【
】
2、单选题:

选项:
A: 
B: 
C: 
D: 
答案: 【
】
3、单选题:

选项:
A: 
B: 
C: 
D: 
答案: 【
】
4、单选题:

选项:
A: 
B: 
C: 
D: 
答案: 【
】
1、单选题:

选项:
A: (5,1,6)
B: (5,0,6)
C: (-5,0,6)
D: (-5,1,6)
答案: 【 (5,1,6)】
2、单选题:

选项:
A: 平行于xoy面
B: 平行于zox面
C: 平行于yoz面
D: 平行于z轴
答案: 【 平行于xoy面】
3、单选题:

选项:
A: 
B: 
C: 
D: 
答案: 【
】
4、单选题:

选项:
A: -1,-1
B: 1,1
C: -1,1
D: 1,-1
答案: 【 1,1】
1、单选题:

选项:
A: 
B: 
C: 
D: 
答案: 【
】
2、单选题:

选项:
A: 
B: 
C: 
D: 
答案: 【
】
3、单选题:

选项:
A: 10
B: 11
C: 12
D: 13
答案: 【 13】
4、单选题:

选项:
A: 
B: 
C: 
D: 
答案: 【
】
1、单选题:
( )
选项:
A: 
B: 
C: 
D: 
答案: 【
】
2、单选题:

选项:
A: 
B: 
C: 
D: 
答案: 【
】
3、单选题:


选项:
A: 10
B: 20
C: 30
D: 40
答案: 【 20】
4、单选题:

选项:
A: 
B: 
C: 
D: 
答案: 【
】
1、单选题:

选项:
A: 
B: 
C: 
D: 
答案: 【
】
2、单选题:

选项:
A: 1
B: 3
C: 5
D: 7
答案: 【 5】
3、单选题:

选项:
A: -1
B: 1
C: -2
D: 2
答案: 【 -2】
4、单选题:

选项:
A: 
B: 
C: 
D: 
答案: 【
】
1、单选题:
1. 过两点M(1,2,2)和P(–1,4,3) 的直线方程为( )
选项:
A: 
B: 
C: 
D: 
答案: 【
】
2、单选题:
2. 过点(3,1,2)且与平面x+4z+6= 0 垂直的直线方程为( )
选项:
A: 
B: 
C: 
D: 
答案: 【
】
3、单选题:

选项:
A: 2x-y+4z+3=0
B: 2x+8y+z+3=0
C: 2x-y-4z+3=0
D: 2x+8y-z+3=0
答案: 【 2x-y+4z+3=0】
4、单选题:

选项:
A: 
B: 
C: 
D: 
答案: 【
】
1、单选题:

选项:
A: 
B: 
C: 
D: 
答案: 【
】
2、单选题:

选项:
A: 3
B: 
C: 5
D: 
答案: 【
】
3、单选题:

选项:
A: 0
B: 
C: 
D: 
答案: 【
】
4、单选题:

选项:
A: 
B: 
C: 
D: 
答案: 【
】
1、单选题:

选项:
A: 2
B: 3
C: 4
D: 5
答案: 【 5】
2、单选题:
2. 一曲面上任一点到点B(-4,0,0)距离为到点A(2,0,0)的距离的二倍,该曲面方程为( )
选项:
A: 
B: 
C: 
D: 
答案: 【
】
3、单选题:

选项:
A: 
B: 
C: 
D: 
答案: 【
】
4、单选题:
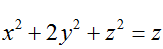
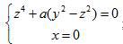
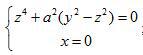
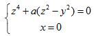
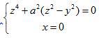
4. 下面的曲面中,哪一个是yoz平面上的曲线绕 y轴旋转而成的?( )
选项:
A: 
B: 
C: 
D: 
答案: 【
】
1、单选题:
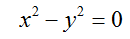
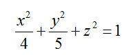
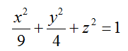
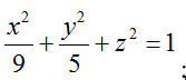
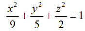
1. 下面的方程中,图形是椭球面的为( )
选项:
A: 
B: 
C: 
D: 
答案: 【
】
2、单选题:

选项:
A: 单叶双曲面
B: 双叶双曲面
C: 锥面
D: 旋转抛物面
答案: 【 旋转抛物面】
3、单选题:

选项:
A: 
B: 
C: 
D: 
答案: 【
】
1、单选题:

选项:
A: 
B: 
C: 
D: 
答案: 【
】
2、单选题:

选项:
A: 
B: 
C: 
D: 
答案: 【&nb
备案号:冀ICP备20010840号 2020-2099辉辉网络科技 All Rights Reserved