

1、单选题:
下列不属于离散消息的是 。
选项:
A: 数据
B: 符号
C: 话音
D: 电报信号
答案: 【 话音】
2、单选题:
下列属于半双工通信方式是 。
选项:
A: 检索
B: 广播
C: 遥控
D: 电话
答案: 【 检索 】
3、单选题:
设每秒传送n个M进制的码元,则信息传输速率为_____。
选项:
A: 
B: 
C: n
D: M
答案: 【
】
4、单选题:
当 时,数字信源有最大熵
选项:
A: 信源等概率分布
B: 传输速率最大
C: 无误码
D: 电话
答案: 【 信源等概率分布 】
5、单选题:
通信系统的可靠性是指传输的______问题。
选项:
A: 质量
B: 速度
C: 经济性
D: 可维护性
答案: 【 质量】
6、单选题:
下列指标中属于通信系统可靠性指标的是_______:
选项:
A: 差错概率
B: 相关带宽
C: 成本
D: 波特率
答案: 【 差错概率】
7、单选题:
点对点通信系统模型中,发送设备可能是_______:
选项:
A: 信道解码器
B: 相干解调器
C: 调制器
D: 误码测试仪
答案: 【 调制器】
8、单选题:
出现概率越_______的消息,其所含的信息量越大。
选项:
A: 大
B: 小
C: 趋向正无穷
D: 趋向1
答案: 【 小】
9、单选题:
信源编码的目的是提高信息传输的_______性;信道编码的目的是提高信息传输的_______
选项:
A: 合理,有效
B: 可靠,合理
C: 可靠,有效
D: 有效,可靠
答案: 【 有效,可靠】
10、单选题:
当码元速率不变时,熵越大,信息速率就_______。
选项:
A: 等于零
B: 越小
C: 保持恒定
D: 越大
答案: 【 越大】
11、单选题:
某独立发送的二进制信源,‘1’符号出现概率为1/4,则‘0’符号出现概率为___?信源的平均信息量为___?
选项:
A: 1/4, 0.81b/符号
B: 3/4, 0.81b/符号
C: 3/4, 0.11b/符号
D: 1, 0.11b/符号
答案: 【 3/4, 0.81b/符号】
12、单选题:
一个八进制数字传输系统,若码元速率为2400Baud,则该系统的最大可能信息速率为_____bps。
选项:
A: 7200
B: 2400
C: 1200
D: 19200
答案: 【 7200】
13、判断题:
4符号信源的最大信源熵可达2比特/符号。
选项:
A: 正确
B: 错误
答案: 【 正确】
14、判断题:
八进制数字传输系统传码率为100B,传信率为800bps。
选项:
A: 正确
B: 错误
答案: 【 错误】
15、判断题:
信源编码的目的是提高系统的可靠性。
选项:
A: 正确
B: 错误
答案: 【 错误】
16、判断题:
信道编码的目的是提高系统的可靠性。
选项:
A: 正确
B: 错误
答案: 【 正确】
1、单选题:
在二十世纪四十年代初奠定了通信的数字理论基础。
选项:
A: 拉普拉斯
B: 维纳
C: 香农
D: 麦克斯韦
答案: 【 香农】
2、单选题:
的发明和发展从根本上解决了通信的带宽问题。
选项:
A: 集成电路
B: 光纤
C: 无线电
D: 半导体
答案: 【 光纤 】
1、判断题:
模拟信号幅度可连续取值并取到无限多个值,数字信号幅度仅能取到有限多个值。( )
选项:
A: 正确
B: 错误
答案: 【 错误】
2、判断题:
数字通信系统因其抗干扰能力强,占用带宽窄,而优于模拟通信系统。( )
选项:
A: 正确
B: 错误
答案: 【 错误】
1、单选题:
无线电广播是 通信方式。
选项:
A: 全双工
B: 半双工
C: 单工
D: 混合双工
答案: 【 单工】
2、判断题:
无线信道中信号的传输属于基带传输方式。( )
选项:
A: 正确
B: 错误
答案: 【 错误】
1、单选题:
信息量常用的基本单位是 。
选项:
A: 比特
B: 熵
C: dB
D: Baud
答案: 【 比特】
2、判断题:
二进制信源在不等概的条件下,信源的熵最大。( )
选项:
A: 正确
B: 错误
答案: 【 错误】
1、单选题:
真正体现数字通信系统有效性的指标是什么?
选项:
A: 码元传输速率RB
B: 
C: 信息传输速率Rb
D: 
答案: 【
】
2、判断题:
如果系统A的信息传输速率高于系统B的信息传输速率,那么系统A的有效性一定高于系统B。
选项:
A: 正确
B: 错误
答案: 【 错误】
3、填空题:
八进制数字通信系统的信息传输速率为6000bps,则其码元传输速率为_______KBaud?
答案: 【 2】
1、单选题:
按照信道的冲激响应是否随时间变化,信道可以分为 和 。
选项:
A: 恒参信道、随参信道
B: 离散信道、连续信道
C: 有线信道,无线信道
D: 以上答案都不对
答案: 【 恒参信道、随参信道】
2、单选题:
下列不属于恒参信道的是 。
选项:
A: 光纤
B: 水下声波通信信道
C: 同轴电缆
D: 电话线
答案: 【 水下声波通信信道】
3、单选题:
编码信道模型可以用 来描述编码信道的特性。
选项:
A: 谐波失真
B: 相位失真
C: 转移概率
D: 信噪比
答案: 【 转移概率】
1、单选题:
理想恒参信道若不存在相频失真,说明相频特性在信号的频带范围内是频率的 函数。
选项:
A: 不能确定
B: 非线性
C: 线性
D: 常数
答案: 【 线性】
2、单选题:
多径效应会使数字信号的码间干扰增大。为了减小码间干扰的影响, 。
选项:
A: 可以增大码元传输速率
B: 可以降低码元传输速率
C: 与码元传输速率无关
D: 以上答案均不正确
答案: 【 可以降低码元传输速率】
3、单选题:
为了使信号基本不受多径传播影响,要求信号带宽 多径信道的相关带宽。
选项:
A: 等于
B: 大于
C: 小于
D: 以上答案都不对
答案: 【 小于】
1、单选题:
按照传输媒质的不同,信道可以分为 和 。
选项:
A: 调制信道、编码信道
B: 恒参信道、随参信道
C: 有线信道,无线信道
D: 线性信道,非线性信道
答案: 【 有线信道,无线信道】
2、单选题:
针对通信系统模型中研究对象的不同,信道可以分为 和 。
选项:
A: 恒参信道、随参信道
B: 调制信道、编码信道
C: 有线信道,无线信道
D: 线性信道,非线性信道
答案: 【 调制信道、编码信道】
3、单选题:
根据通信距离、频率和位置的不同,电磁波的传播主要分 、 、和 三种。
选项:
A: 多径传播、天波、视距传播
B: 地波、多径传播、视距传播
C: 地波、天波、视距传播
D: 反射,散射,漫射传播
答案: 【 地波、天波、视距传播】
4、单选题:
被世界誉为“光纤通讯之父”。
选项:
A: 高锟
B: 多普勒
C: 贝尔
D: 香农
答案: 【 高锟 】
5、单选题:
编码信道模型可以用 来描述编码信道的特性。
选项:
A: 谐波失真
B: 相位失真
C: 转移概率
D: 信噪比
答案: 【 转移概率】
6、单选题:
调制信道模型中,当信道的冲激响应随时间较快变化时,此时信道称为 ,也可以等效为 滤波器。
选项:
A: 恒参信道,线性时变
B: 随参信道,线性时变
C: 随参信道,线性时不变
D: 恒参信道,线性时不变
答案: 【 随参信道,线性时变】
7、单选题:
恒参信道特性的不理想,会引起信号的_______失真和_______失真。
选项:
A: 高频,相频
B: 幅频,相频
C: 幅频,高频
D: 低频, 相频
答案: 【 幅频,相频】
8、单选题:
理想恒参信道的幅频特性为常数时,说明该信道对发送信号的不同频率分量的 是一样的;
选项:
A: 衰减
B: 时延
C: 频率偏移
D: 滤波
答案: 【 衰减 】
9、单选题:
无线通信信道的小尺度衰落主要由 和 引起
选项:
A: 多径效应、传播路径损耗
B: 多径效应、多普勒效应
C: 多普勒效应、传播路径损耗
D: 传输距离、多径效应
答案: 【 多径效应、多普勒效应 】
10、单选题:
多普勒发现,当声源接近观察者时,接收信号频率与声源的原始声音频率相比 ,音调就 。
选项:
A: 变低、变尖
B: 不变、变低
C: 变高、变尖
D: 变高、变低
答案: 【 变高、变尖】
11、单选题:
随参信道存在多径传播时,其相关带宽与多径时延扩展成 。
选项:
A: 反比
B: 正比
C: 不能确定
D: 相同
答案: 【 反比】
12、单选题:
随参信道若存在多普勒效应,如果信号周期大于信道的相干时间,信号在不同时刻所经历的衰落差异 ,此时称该信道为 信道。
选项:
A: 很小,时间选择性衰落
B: 很大,时间选择性衰落
C: 很小,时间非选择性衰落
D: 很大,时间非选择性衰落
答案: 【 很大,时间选择性衰落 】
13、单选题:
下列关于热噪声描述正确的是 。
选项:
A: 属于人为噪声
B: 服从瑞利分布
C: 不会普遍、持续存在
D: 称为白噪声
答案: 【 称为白噪声】
14、单选题:
下列不属于加性噪声的是 。
选项:
A: 热噪声
B: 量化噪声
C: 散弹噪声
D: 宇宙噪声
答案: 【 量化噪声】
15、单选题:
讨论噪声对于通信系统的影响时,主要是考虑 。
选项:
A: 脉冲噪声
B: 窄带噪声
C: 起伏噪声
D: 热噪声
答案: 【 起伏噪声 】
16、单选题:
关于信道描述错误的是 。
选项:
A: 调制信道模型中,乘性干扰始终存在
B: 随参信道中多径传播会引起信号的衰落
C: 热噪声通常被称为高斯白噪声
D: 信道容量是指信道能传输的最大平均信息速率
答案: 【 调制信道模型中,乘性干扰始终存在】
17、单选题:
连续信道容量与 三个因素有关。
选项:
A: 信道带宽、信号转移概率、噪声功率谱密度
B: 信道带宽、信号功率、噪声瞬时电压值
C: 信道带宽、信号功率、噪声功率谱密度
D: 信道带宽、信号功率、噪声带宽
答案: 【 信道带宽、信号功率、噪声功率谱密度】
18、单选题:
香农在他的著作《通信的数学理论》中提出,若信道容量为C,消息源产生信息速率为R,只要 ,总可以找到一种信道编码方式实现无差错传输。
选项:
A: C<R
B: 
C: C与R均趋于无穷
D: C与R均趋于0
答案: 【
】
1、单选题:
短波电离层反射信道属于( )信道。
选项:
A: 恒参;
B: 随参;
C: 编码;
D: 以上都不是;
答案: 【 随参;】
2、单选题:
恒参信道的幅频失真会导致( )。
选项:
A: 多径效应;
B: 传输时延随时间改变;
C: .码间串扰;
D: 信号的传输衰减随时间而变;
答案: 【 .码间串扰;】
1、单选题:
手机与基站间的通信属于( )传播。
选项:
A: 天波;
B: 地波;
C: 视线;
D: 以上都不是;
答案: 【 视线;】
2、单选题:
以下不能够提高视线传输距离的是( )。
选项:
A: 增加收发天线高度;
B: 使用无线中继;
C: 增大无线电波频率;
D: 采用卫星通信;
答案: 【 增大无线电波频率;】
1、单选题:
均值为0的平稳窄带高斯随机过程,其包络的一维分布是( ),其相位的一维分布是( )。
选项:
A: 均匀 指数;
B: 瑞利 均匀;
C: 莱斯 均匀;
D: 指数 均匀;
答案: 【 瑞利 均匀;】
2、单选题:
广义平稳的高斯过程通过线性系统,输出为( )随机过程。
选项:
A: 高斯非平稳;
B: 高斯平稳;
C: 平稳非高斯;
D: 以上都不是;
答案: 【 高斯平稳;】
3、判断题:
广义平稳随机过程的均值为常数,自相关函数只与时间间隔有关。
选项:
A: 正确
B: 错误
答案: 【 正确】
1、单选题:
连续信道容量与 三个因素有关。
选项:
A: 信道带宽、信号转移概率、噪声功率谱密度
B: 信道带宽、信号功率、噪声瞬时电压值
C: 信道带宽、信号功率、噪声功率谱密度
D: 以上答案均不正确
答案: 【 信道带宽、信号功率、噪声功率谱密度】
2、单选题:
香农在他的著作《通信的数学理论》中提出,若信道容量为C,消息源产生信息速率为R,只要 ,总可以找到一种信道编码方式实现无差错传输。
选项:
A: C<R
B: C≥R
C: C与R均趋于无穷
D: 以上答案均不对
答案: 【 C≥R】
3、单选题:
信道容量是指单位时间(秒)内信道上所能传输的 信息量。
选项:
A: 最大
B: 最小
C: 无穷大
D: 以上答案均不正确
答案: 【 最大】
1、单选题:
理想高斯白噪声的功率谱密度随频率呈__ ___分布,其抽样值服从________分布。
选项:
A: 正态,均匀
B: 均匀,正态
C: 瑞利,高斯
D: 高斯,瑞利
答案: 【 均匀,正态】
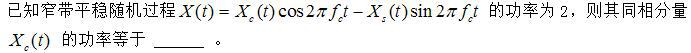
2、单选题:

选项:
A: 0
B: 1
C: 2
D: 4
答案: 【 2】
3、单选题:
平稳信号均值的平方代表 。
选项:
A: 直流功率
B: 交流功率
C: 平均功率
D: 总功率
答案: 【 直流功率 】
4、单选题:
均值为零的平稳窄带高斯噪声的包络服从 分布。
选项:
A: 均匀
B: 高斯
C: 瑞利
D: 莱斯
答案: 【 瑞利】
5、单选题:

选项:
A: 
备案号:冀ICP备20010840号 2020-2099辉辉网络科技 All Rights Reserved