

1、单选题:
构件的强度是指( )
选项:
A: 在外力作用下构件抵抗变形的能力
B: 在外力作用下构件抵抗破坏的能力
C: 在外力作用下保持自身平衡状态的能力
D: 在外力作用下构件抵抗压缩的能力
答案: 【 在外力作用下构件抵抗破坏的能力 】
2、单选题:
构件的刚度是指( )
选项:
A: 在外力作用下构件抵抗变形的能力
B: 在外力作用下构件抵抗破坏的能力
C: 在外力作用下保持自身平衡状态的能力
D: 在外力作用下构件抵抗压缩的能力
答案: 【 在外力作用下构件抵抗变形的能力】
3、单选题:
构件的强度、刚度、稳定性( )
选项:
A: 只与材料的力学性质有关
B: 只与构件的形状尺寸有关
C: 与二者都有关
D: 与二者无关,只与外力状态有关
答案: 【 与二者都有关】
4、单选题:
材料力学的基本假设不包括( )
选项:
A: 均匀性连续性
B: 小变形
C: 各向同性
D: 杆件必须是等直的
答案: 【 杆件必须是等直的】
5、单选题:
两根长度相同的圆截面杆件,杆端受力,关于内力的结论正确的是( )
选项:
A: 若受力相等,材料相等,直径不同,则内力不相等
B: 若受力相等,直径相同,材料不等,则内力不相等
C: 若外力相同,材料不同,直径不同,内力也相等
D: 内力很复杂,不能确定两根杆件内力是否相等
答案: 【 若外力相同,材料不同,直径不同,内力也相等】
6、单选题:
根据均匀性假设,可认为构件的( )各处相等
选项:
A: 应力
B: 应变
C: 弹性系数
D: 位移
答案: 【 弹性系数】
7、单选题:
关于应力的命题正确的是( )
选项:
A: 正应力与截面垂直,用
表示
B: 正应力与截面垂直,用
表示
C: 切应力与截面垂直,用
表示
D: 切应力与截面平行,用
表示
答案: 【 正应力与截面垂直,用
表示】
8、单选题:
在下列结论中()是正确的
选项:
A: 内力是应力的代数和
B: 截面上各点的应力一定相等,等于内力与面积的比值
C: 应力是内力分布的集度
D: 内力大于应力
答案: 【 应力是内力分布的集度】
9、单选题:
关于应力,下面命题正确的是( )
选项:
A: 应力的单位只能是Pa
B: 当力的单位为N, 长度单位为m时,应力的单位为MPa
C: 当力的单位为N, 长度单位为mm时,应力的单位为MPa
D: 1MPa=
Pa
答案: 【 当力的单位为N, 长度单位为mm时,应力的单位为MPa】
10、单选题:
在截面任意点处切应力和正应力的夹角
选项:
A: 0°
B: 90°
C: 45°
D: 任意角度
答案: 【 90°】
1、单选题:

选项:
A: 
B: 
C: 
D: 
答案: 【
】
2、单选题:
低碳钢在拉伸时应力应变曲线分成下面的哪四个阶段( )
选项:
A: 弹性阶段、屈服阶段、冷作硬化阶段和颈缩阶段
B: 线性阶段、屈服阶段、强化阶段和颈缩阶段
C: 弹性阶段、屈服阶段、强化阶段和局部变形阶段
D: 弹性阶段、屈服阶段、冷作硬化阶段和颈缩阶段
答案: 【 弹性阶段、屈服阶段、强化阶段和局部变形阶段】
3、单选题:
下面哪个不是铸铁拉伸应力应变曲线的特点( )
选项:
A: 没有明显的屈服阶段
B: 出现冷作硬化现象
C: 拉断前的应变很小
D: 应力应变曲线没有明显直线段
答案: 【 出现冷作硬化现象】
4、单选题:

选项:
A: 
B: 
C: 
D: 
答案: 【
】
5、单选题:
关于铸铁的压缩实验,( )是错误的
选项:
A: 铸铁轴向压缩时的应力应变关系表现为一条弯曲的曲线
B: 铸铁的抗压强度比它的抗拉强度高4~5倍,适合作为抗压构件
C: 铸铁轴向压缩时在较小的变形下突然破坏
D: 铸铁轴向压缩时沿横截面破坏
答案: 【 铸铁轴向压缩时沿横截面破坏】
6、单选题:

选项:
A: 三段都满足强度要求
B: 仅BC段满足强度要求
C: 仅DC段满足强度要求
D: AB 和BC段满足强度要求
答案: 【 AB 和BC段满足强度要求】
7、单选题:
对于轴向拉压杆件,下面命题哪个是正确的( )
选项:
A: 杆件的线应变等于总伸长量与杆长的比值
B: 胡克定律总是成立的
C: 两根等截面直杆,截面面积相同,分别为铝杆和钢杆,在同样拉力作用下,铝杆的变形一定大于钢杆。
D: 在线弹性范围内,如果某一横截面上正应力为拉应力,应变一定为拉应变。
答案: 【 在线弹性范围内,如果某一横截面上正应力为拉应力,应变一定为拉应变。】
8、单选题:
下面命题哪个是不正确的( )
选项:
A: 在试件切槽处附近会出现应力集中
B: 应力集中程度可以用应力集中系数表示,因数可以小于1.
C: 应力集中因数指的是应力集中截面上的最大应力和试件上的平均应力的比值
D: 在集中载荷处会出现应力集中作用
答案: 【 应力集中程度可以用应力集中系数表示,因数可以小于1. 】
9、单选题:
下面命题哪个是正确的
选项:
A: 装配应力与加工误差大小有关,与材料性能有关,与杆件原始尺寸无关
B: 加工误差引起的装配应力不会造成构件破坏
C: 装配应力仅与加工误差大小有关,与杆件材料性能无关
D: 加工试件时的加工误差仅会造成静定结构几何形状的变化,不会引起装配应力
答案: 【 加工试件时的加工误差仅会造成静定结构几何形状的变化,不会引起装配应力 】
10、单选题:

选项:
A: 0.125mm
B: -0.075mm
C: -0.2mm
D: 0.325mm
答案: 【 -0.075mm】
11、单选题:
下面( )不是材料的强度指标
选项:
A: 
B: 
C: 
D: E
答案: 【 E】
12、单选题:
下面命题哪个是不正确的( )
选项:
A: 螺栓、铆钉、键等连接件主要承受剪切变形
B: 当两个外力合力作用线垂直于轴线,且大小相等,方向相反,作用线重合时,发生剪切变形
C: 剪切的变形特点是沿剪切面发生相对错动
D: 剪切构件在剪切变形的同时常伴着其他形式的变形
答案: 【 当两个外力合力作用线垂直于轴线,且大小相等,方向相反,作用线重合时,发生剪切变形】
13、单选题:
下面命题哪个是不正确的()
选项:
A: 挤压强度的实用计算中假设挤压应力在挤压面上均匀分布
B: 挤压破坏是指由于相互挤压,连接处局部出现塑性变形或者压碎的现象
C: 当接触面为圆柱面时,挤压面积等于圆柱的表面积
D: 当接触面为平面时,挤压面积为接触面积
答案: 【 当接触面为圆柱面时,挤压面积等于圆柱的表面积】
14、单选题:

选项:
A: 0.25
B: 2.4
C: 1.25
D: 0.8
答案: 【 0.8】
15、判断题:
等截面直杆件,外力的合力作用线只要和轴线平行就会发生轴向拉压变形
选项:
A: 正确
B: 错误
答案: 【 错误】
16、判断题:
杆件在轴向拉力作用下,轴向伸长,横截面没有变化
选项:
A: 正确
B: 错误
答案: 【 错误】
17、判断题:
挤压破坏是指杆件受挤压力的作用发生局部被压碎的现象
选项:
A: 正确
B: 错误
答案: 【 错误】
18、判断题:
在进行挤压强度校核时,应该在相互挤压的两个物体中,取抗挤压能力比较强的材料的许用挤压应力进行校核。
选项:
A: 正确
B: 错误
答案: 【 错误】
1、单选题:

选项:
A: M(N.m),P(W),n(r/min)
B: M(N.m),P(kW),n(r/min)
C: M(kN.m),P(kW),n(r/min)
D: M(kN.m),P(kW),n(r/s)
答案: 【 M(N.m),P(kW),n(r/min)】
2、单选题:

选项:
A: 
B: 
C: 
D: 
答案: 【
】
3、单选题:
在线弹性范围内,实心圆截面轴,所受外力偶矩不变,如果轴的半径变为原来的一半,轴横截面上的的最大切应力变为原来的()
选项:
A: 2倍
B: 4倍
C: 16倍
D: 8倍
答案: 【 8倍】
4、单选题:
环形截面轴横截面上应力分布正确的是( )
选项:
A: 
B: 
C: 
D: 
答案: 【
】
5、单选题:

选项:
A: 两轴的内力、应力、变形均相同
B: 两轴内力、应力相同、变形不同
C: 两轴内力、应力、变形都不同
D: 两轴内力相同,应力和变形不同
答案: 【 两轴内力、应力相同、变形不同】
6、单选题:
下面关于圆轴扭转刚度计算的公式哪个是正确的( )
选项:
A: 
B: 
C: 
D: 
答案: 【
】
7、单选题:
已知环形截面外径为D,内径为d,则截面对形心的极惯性矩( )
选项:
A: 
B: 
C: 
D: 
答案: 【
】
8、单选题:
下面的命题哪个是错误的( )
选项:
A: 杆件发生扭转变形时,横截面的内力是横截面内的一个力偶,其力偶矩称为扭矩,用T来表示
B: 杆件发生扭转变形时横截面上的扭矩可以用截面法求解
C: 扭矩的正负号实际上是根据轴的变形来规定的
D: 扭矩的符号采用右手螺旋,四指表示扭矩的转向,大拇指指向截面,扭矩为正
答案: 【 扭矩的符号采用右手螺旋,四指表示扭矩的转向,大拇指指向截面,扭矩为正】
9、单选题:
下面命题哪个是不正确的( )
选项:
A: 杆件发生扭转变形时,表面与轴线平行的母线会倾斜
B: 扭转变形的外力偶作用面与轴线垂直
C: 扭转变形时横截面上有轴力
D: 扭转变形的变形特点是任意两个横截面绕轴线发生相对转动
答案: 【 扭转变形时横截面上有轴力】
10、单选题:
关于切应力互等定理下面命题哪个是正确的
选项:
A: 在两互相垂直的截面上,在交线处垂直于交线的切应力成对出现,切应力数值相等,同时指向交线或同时背离交线
B: 在两个互相垂直的截面上,在交线处平行于交线方向的切应力成对出现,切应力数值相等,方向相反
C: 在两个互相垂直的截面上,在交线处平行于交线方向的切应力成对出现,切应力数值相等,方向相同
D: 切应力互等定理仅适用于纯剪切状态的单元体
答案: 【 在两互相垂直的截面上,在交线处垂直于交线的切应力成对出现,切应力数值相等,同时指向交线或同时背离交线】
11、单选题:
扭转的切应力公式 适用于( )
选项:
A: 圆形截面轴
B: 方形截面轴
C: 椭圆形截面轴
D: 各种截面轴
答案: 【 圆形截面轴】
12、单选题:
如下命题正确的是( )
选项:
A: 圆轴发生扭转变形时,杆件的抗扭刚度仅与杆件的直径有关
B: 圆轴发生扭转变形时,杆件的抗扭刚度仅与材料的剪切弹性模量有关
C: 圆轴发生扭转变形时,杆件的抗扭刚度与材料的剪切弹性模量和杆件的直径有关
D: 圆轴发生扭转变形时,杆件的抗扭刚度与材料的剪切弹性模量、直径和杆件的长度有关
答案: 【 圆轴发生扭转变形时,杆件的抗扭刚度与材料的剪切弹性模量和杆件的直径有关】
13、单选题:

选项:
A: 
B: 
C: 
D: 
答案: 【
】
14、判断题:
圆轴扭转时横截面上只有切应力,没有正应力( )
选项:
A: 正确
B: 错误
答案: 【 正确】
15、判断题:
圆轴扭转时横截面上某一点的切应力方向与该点与截面圆心的连线垂直( )
选项:
A: 正确
B: 错误
答案: 【 正确】
16、判断题:
扭转时横截面的内力称为扭矩,扭矩的符号规定为右手螺旋,当大拇指的指向背离截面,扭矩为负( )
选项:
A: 正确
B: 错误
答案: 【 错误】
17、判断题:
切应力互等定理仅对于线弹性体系成立( )
选项:
A: 正确
B: 错误
答案: 【 错误】
18、判断题:
保持薄壁圆轴的横截面面积不变,平均半径越大,轴的抗扭强度越低( )
选项:
A: 正确
B: 错误
答案: 【 正确】
19、判断题:
圆轴扭转时纵向截面上也有切应力
选项:
A: 正确
B: 错误
答案: 【 正确】
20、判断题:
圆轴扭转时横截面上的切应力在横截面上均匀分布
选项:
A: 正确
B: 错误
答案: 【 错误】
21、判断题:
切应力与切应变之间存在正比例关系
选项:
A: 正确
B: 错误
答案: 【 错误】
1、单选题:
在图所示四种情况中,截面上弯矩M为正,剪力为负的是( )
选项:
A: 
B: 
C: 
D: 
答案: 【
】
2、单选题:

选项:
A: 
B: 
C: 
D: 
答案: 【
】
3、单选题:

选项:
A: 
B: 
C: 
D: 
答案: 【
】
4、单选题:
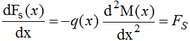
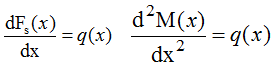
q(x)为沿梁长每单位长度上的分布载荷,向上为正,q(x)、FS(x)和M(x)之间的微分关系为( )
选项:
A: 
B: 
C: 
D: 
答案: 【
】
5、单选题:

选项:
A: 
B: 
C: 
D:
备案号:冀ICP备20010840号 2020-2099辉辉网络科技 All Rights Reserved