

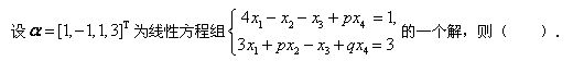
1、单选题:

选项:
A: 
B: 
C: 
D: 
答案: 【
】
2、单选题:

选项:
A: 
B: 
C: 
D: 
答案: 【
】
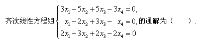
3、单选题:

选项:
A: -1
B: 1
C: -1 或 1
D: 0
答案: 【 1】
4、多选题:

选项:
A: 
B: 
C: 
D: 
答案: 【
;
】
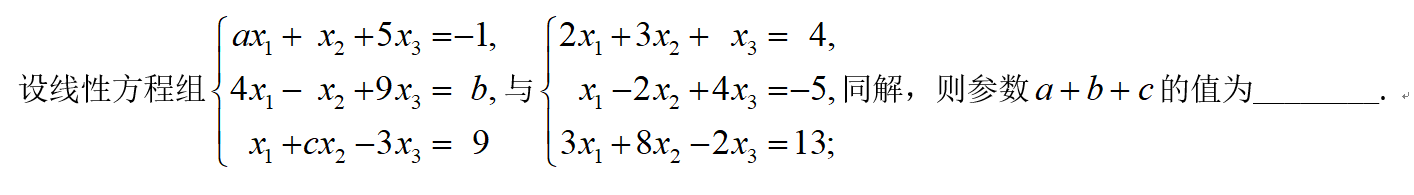
5、填空题:

答案: 【 3】
6、填空题:

答案: 【 2】
1、单选题:

选项:
A: 
B: 
C: 
D: 
答案: 【
】
2、单选题:

选项:
A: 15
B: 0
C: 21
D: 43
答案: 【 0】
3、单选题:

选项:
A: -7
B: -1
C: 1
D: 7
答案: 【 1】
4、单选题:

选项:
A: -56
B: -8
C: 16
D: 56
答案: 【 -56】
5、多选题:

选项:
A: 0
B: 1
C: 2
D: 3
答案: 【 0;
2】
6、判断题:

选项:
A: 正确
B: 错误
答案: 【 正确】
7、填空题:

答案: 【 4】
1、单选题:

选项:
A: 
B: 
C: 
D: 
答案: 【
】
2、单选题:

选项:
A: 
B: 
C: 
D: 
答案: 【
】
3、单选题:

选项:
A: 
B: 
C: 
D: 
答案: 【
】
4、单选题:

选项:
A: 
B: 
备案号:冀ICP备20010840号 2020-2099辉辉网络科技 All Rights Reserved