

1、单选题:
下列物理量中,不是向量的是______.
选项:
A: 位移
B: 速度
C: 力
D: 功
答案: 【 功】
2、单选题:

选项:
A: 
B: 
C: 
D: 
答案: 【
】
3、单选题:

选项:
A: 
B: 
C: 
D: 
答案: 【
】
4、单选题:

选项:
A: 
B: 
C: 
D: 
答案: 【
】
5、单选题:

选项:
A: 
B: 
C: 
D: 
答案: 【
】
1、单选题:

选项:
A: I
B: II
C: III
D: IV
答案: 【 II 】
2、单选题:

选项:
A: 
B: 
C: 
D: 
答案: 【
】
3、单选题:

选项:
A: 
B: 
C: 
D: 
答案: 【
】
4、单选题:

选项:
A: 
B: 
C: 
D: 
答案: 【
】
5、单选题:

选项:
A: 
B: 
C: 
D: 
答案: 【
】
1、单选题:

选项:
A: 
B: 
C: 
D: 
答案: 【
】
2、单选题:

选项:
A: 
B: 
C: 
D: 
答案: 【
】
3、单选题:

选项:
A: 
B: 
C: 
D: 
答案: 【
】
4、单选题:

选项:
A: 
B: 
C: 
D: 
答案: 【
】
5、单选题:

选项:
A: 
B: 
C: 
D: 
答案: 【
】
1、单选题:

选项:
A: 
B: 
C: 
D: 
答案: 【
】
2、单选题:

选项:
A: 
B: 
C: 
D: 
答案: 【
】
3、单选题:

选项:
A: 0
B: 1
C: 2
D: 3
答案: 【 3】
4、单选题:

选项:
A: 
B: 
C: 
D: 
答案: 【
】
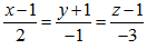
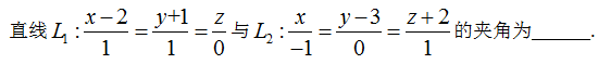
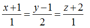
5、单选题:

选项:
A: 平行
B: 垂直
C: 既不平行也不垂直
D: 无法判定
答案: 【 垂直】
1、单选题:

选项:
A: 
B: 
C: 
D: 
答案: 【
】
2、单选题:

选项:
A: 
B: 
C: 
D: 
答案: 【
】
3、单选题:

选项:
A: 
B: 
C: 
D: 
答案: 【
】
4、单选题:

选项:
A: 
B: 
C: 
D: 
答案: 【
】
5、单选题:

选项:
A: 
B: 
C: 
D: 
答案: 【
】
6、单选题:

选项:
A: 
B: 
C: 
D: 
答案: 【
】
7、单选题:

选项:
A: 
B: 
C: 
D: 
答案: 【
】
8、单选题:

选项:
A: 
B: 
C: 
D: 
答案: 【
】
9、单选题:

选项:
A: 
B: 
C: 
D: 
答案: 【
】
10、单选题:

选项:
A: I
B: II
C: III
D: IV
答案: 【 III】
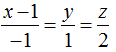
11、单选题:
下面可以成为一个向量的方向余弦的三个数是______.
选项:
A: 
B: 
C: 
D: 
答案: 【
】
12、单选题:

选项:
A: 
B: 
C: 
D: 
答案: 【
】
13、单选题:

选项:
A: 
B: 
C: 
D: 
答案: 【
】
14、单选题:

选项:
A: 
B: 
C: 
D: 
答案: 【
】
15、单选题:

选项:
A: 
B: 
C: 
D: 
答案: 【
】
1、单选题:

选项:
A: 
B: 
C: 
D: 
答案: 【
】
2、单选题:

选项:
A: 
B: 
C: 
D: 
答案: 【
】
3、单选题:

选项:
A: 7
B: 1
C: 5
D: 12
答案: 【 5】
4、单选题:

选项:
A: 
B: 
C: 
D: 
答案: 【
】
5、单选题:

选项:
A: 
B: 
C: 
D: 
答案: 【
】
6、单选题:

选项:
A: (1)和(3)
B: (1)和(4)
C: (2)和(3)
D: (2)和(4)
答案: 【 (2)和(3)】
7、单选题:

选项:
A: 
B: 
C: 
D: 
答案: 【
】
8、单选题:

选项:
A: 
B: 
C: 
D: 
答案: 【
】
9、单选题:

选项:
A: 
B: 
C: 
D: 
答案: 【
】
10、单选题:

选项:
A: 
B: 
C: 
D: 
答案: 【
】
11、单选题:

选项:
A: 
B: 
C: 
D: 
答案: 【
】
12、单选题:

选项:
A: 
B: 
C: 
D: 
答案: 【
】
13、单选题:

选项:
A: 
B: 
C: 
D: 
答案: 【
】
14、单选题:

选项:
A: 
B: 
C: 
D: 
答案: 【
】
15、单选题:

选项:
A: 
B: 
C: 
D: 
答案: 【
】
1、单选题:

选项:
A: 
B: 
C: 
D: 
答案: 【
】
2、单选题:

选项:
A: 
B: 
C: 
D: 
答案: 【
】
3、单选题:

选项:
A: 
B: 
C: 
D: 
答案: 【
】
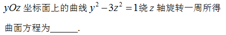
4、单选题:

选项:
A: 椭圆锥面
B: 椭圆抛物面
C: 单叶双曲面
D: 双叶双曲面
答案: 【 单叶双曲面】
5、单选题:

选项:
A: 
B: 
C: 
D: 
答案: 【
】
1、单选题:

选项:
A: 
B: 
C: 
D: 
答案: 【
】
2、单选题:

选项:
A: 
B: 
C: 
D: 
答案: 【
】
3、单选题:

选项:
A: 
B: 
C: 
D: 
答案: 【
】
4、单选题:

选项:
A: 
B: 
C: 
D: 
答案: 【
】
5、单选题:

选项:
A: 
B: 
C: 
D: 
答案: 【
】
1、单选题:

选项:
A: 
B: 
C: 
D: 
答案: 【
】
2、单选题:

选项:
A: 
B: 
C: 
D: 
答案: 【
】
3、单选题:

选项:
A: 
B: 
C: 
D: 
答案: 【
】
4、单选题:

选项:
A: 
B: 
C: 
D: 
答案: 【
】
5、单选题:

选项:
A: 
B: 
C: 
D: 
答案: 【
】
1、单选题:

选项:
A: 
B: 
C: 
D: 
答案: 【
】
2、单选题:

选项:
A: 
B: 
C: 
D: 
答案: 【
】
3、单选题:

选项:
A: 
B: 
C: 
D: 
答案: 【
】
4、单选题:

选项:
A: 
B: 
C: 
D: 
答案: 【
】
5、单选题:

选项:
A: 
B: 
C: 
D: 
答案: 【
】
6、单选题:

选项:
A: 
B: 
C: 
D: 
答案: 【
】
7、单选题:

选项:
A: 
B: 
C: 
D: 
答案: 【
】
8、单选题:

选项:
A: 
B: 
C: 
D: 
答案: 【
】
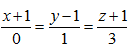
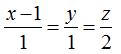
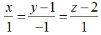
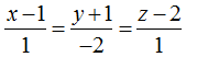
9、单选题:

选项:
A: 平行
B: 重合
C: 垂直
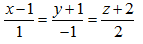
D: 无法判定
答案: 【 重合】
10、单选题:

选项:
A: 
B: 
C: 
D: 
答案: 【
】
11、单选题:

选项:
A: 
B: 
C: 
D: 
答案: 【
】
12、单选题:

选项:
A: 
B: 
C: 
D: 
答案: 【
】
13、单选题:

选项:
A: 
B: 
C: 
D: 
答案: 【
】
14、单选题:

选项:
A: 
B: 
C: 
D: 
答案: 【
】
15、单选题:

选项:
A: 
B: 
C: 
D: 
答案: 【
】
1、单选题:

选项:
A: 
B: 
C: 
D: 
答案: 【
】
2、单选题:

选项:
A: 
B: 
C: 
D: 
答案: 【
】
3、单选题:

选项:
A: 
B: 
C: 
D: 
答案: 【
】
4、单选题:

选项:
A: 
B: 
C: 
D: 
答案: 【
】
5、单选题:

选项:
A: 
B: 
C: 
D: 
答案: 【
】
6、单选题:

选项:
A: 
B: 
C: 
D: 
答案: 【
】
7、单选题:

选项:
A: 
B: 
C: 
D: 
答案: 【
】
8、单选题:

选项:
A: 
B: 
C: 
D: 
答案: 【
】
9、单选题:

选项:
A: 
B: 
C: 
D: 
答案: 【
】
10、单选题:

选项:
A: 
B: 
C: 
D: 
答案: 【
】
11、单选题:

选项:
A: 
B: 
C: 
D: 
答案: 【
】
12、单选题:

选项:
A: 
B: 
C: 
D: 
答案: 【
】
13、单选题:

选项:
A: 
B: 
C: 
D: 
答案: 【
】
14、单选题:

选项:
A: 
B: 
C: 
D: 
答案: 【
】
15、单选题:

选项:
A: 
B: 
C: 
D: 
答案: 【
】
1、单选题:

选项:
A: 
B: 
C: 
D: 
答案: 【
】
2、单选题:

选项:
A: 
B: 
C: 
D: 
答案: 【
】
3、单选题:

选项:
A: 
B: 
C: 
D: 
答案: 【
】
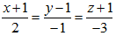
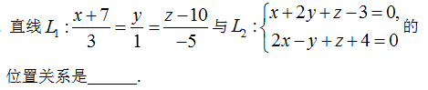
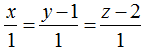
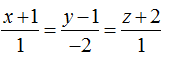
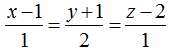
4、单选题:

选项:
A: 平行
B: 重合
C: 垂直
D: 无法判定
答案: 【 平行】
5、单选题:

选项:
A: 
B: 
C: 
D: 
答案: 【
】
1、单选题:

选项:
A: 
B: 
C: 
D: 
答案: 【
】
2、单选题:

选项:
A: 
B: 
C: 
D: 
答案: 【
】
3、单选题:

选项:
A: 
B: 
C: 
D: 
答案: 【
】
4、单选题:

选项:
A: 
B: 
C: 
D: 
答案: 【
】
5、单选题:

选项:
A: 
B: 
C: 
D: 
答案: 【
】
1、单选题:

选项:
A: 
B: 
C: 
D: 
答案: 【
】
2、单选题:

选项:
A: 
B: 
C: 
D: 
答案: 【
】
3、单选题:

选项:
A: 
B: 
C: 
D: 
答案: 【
】
4、单选题:

选项:
A: 
B: 
C: 
D: 
答案: 【
】
5、单选题:

选项:
A: 
B: 
C: 
D: 
答案: 【
】
1、单选题:
备案号:冀ICP备20010840号 2020-2099辉辉网络科技 All Rights Reserved