

1、单选题:
1899年,德国拜耳公司制造了重磅炸弹药物——阿司匹林,至今还以苯酚为原料大量生产,生产能力为4万吨/年。这属于( )
选项:
A: 天然提取制药
B: 化学全合成制药
C: 微生物发酵制药
D: 酶工程制药
E: 化学半合成制药
F: 细胞培养技术制药
G: 基因工程技术制药
H: 手性制药
答案: 【 化学全合成制药】
2、单选题:
1959年,葡萄糖淀粉酶催化淀粉生产葡萄糖新工艺研究成功。这属于( )
选项:
A: 天然提取制药
B: 化学全合成制药
C: 微生物发酵制药
D: 酶工程制药
E: 化学半合成制药
F: 细胞培养技术制药
G: 基因工程技术制药
H: 手性制药
答案: 【 酶工程制药】
3、单选题:
1982年,由美国礼来(Eli Lilly)公司开发的第一个基因工程药物重组人胰岛素获FDA批准。1989年,我国批准了第一个在我国生产的人重组干扰素。至2004年2月,FDA批准了重组蛋白、疫苗和核酸类生物技术药物共79种。足可见基因工程制药的迅猛发展。这些属于( )
选项:
A: 天然提取制药
B: 化学全合成制药
C: 微生物发酵制药
D: 酶工程制药
E: 化学半合成制药
F: 细胞培养技术制药
G: 基因工程技术制药
H: 手性制药
答案: 【 基因工程技术制药】
4、单选题:
20世纪60年代反应停事件揭示了反应停的S-对映体致畸,R-对映体才安全有效,这引起了人们对手性药物的关注。但是直到1992年FDA发布了手性药物指导原则,要求所有在美国上市的消旋体类新药均要说明药物中所含的对映体各自的药理作用、毒性和临床效果。这段文字阐述的是 ( )
选项:
A: 天然提取制药
B: 化学全合成制药
C: 微生物发酵制药
D: 酶工程制药
E: 化学半合成制药
F: 细胞培养技术制药
G: 基因工程技术制药
H: 手性制药
答案: 【 手性制药】
5、多选题:
从制药工艺的角度看20世纪50至60年代的反应停事件,突出的主要问题有( )。
选项:
A: 原料药的质量控制很重要
B: 原料药中的杂质含量控制很重要
C: 原料药若为手性药物,需要清楚地知道其对映体是否有副作用或毒性
D: 原料药若为手性药物,关于其对映体是否有副作用或毒性的研究并不重要。
答案: 【 原料药的质量控制很重要;
原料药中的杂质含量控制很重要;
原料药若为手性药物,需要清楚地知道其对映体是否有副作用或毒性】
6、多选题:
下列关于制药工艺学的描述正确的有( )
选项:
A: 制药工艺学是研究药物的工业生产过程的共性规律及其应用的一门学科。
B: 制药工艺学所研究的共性规律包含如何对药物制备路线进行设计与选择,如何对工艺进行研究,如何进行工艺放大,三废如何处理等
C: 制药工艺学的研究内容还包括具体药物工业化生产过程的制备原理、工艺路线和质量控制。
D: 制药工艺学通过设计、研究药物大规模生产的工艺条件与设备选型,制定最安全、最经济、最可行和最环保的工艺路线与工艺过程,实现制药生产过程最优化,解决药物在工业化生产过程中的技术问题并实施药品生产质量管理规范。
答案: 【 制药工艺学是研究药物的工业生产过程的共性规律及其应用的一门学科。;
制药工艺学所研究的共性规律包含如何对药物制备路线进行设计与选择,如何对工艺进行研究,如何进行工艺放大,三废如何处理等;
制药工艺学的研究内容还包括具体药物工业化生产过程的制备原理、工艺路线和质量控制。;
制药工艺学通过设计、研究药物大规模生产的工艺条件与设备选型,制定最安全、最经济、最可行和最环保的工艺路线与工艺过程,实现制药生产过程最优化,解决药物在工业化生产过程中的技术问题并实施药品生产质量管理规范。】
7、多选题:
下列关于工艺过程的描述正确有( )
选项:
A: 工艺过程是指一系列的单元操作按照一定的次序、操作条件与质量控制组成。
B: 工艺过程所包含的单元操作是指化学合成反应或诸如微生物发酵和细胞培养的生物合成反应过程及后期的分离纯化过程
C: 工艺过程所提及的操作条件是指配料比、培养基组成、温度、压力、催化剂、反应或操作时间、通气与搅拌等。
D: 工艺过程所提及的质量控制指原辅材料、中间体和产品的质量控制。
答案: 【 工艺过程是指一系列的单元操作按照一定的次序、操作条件与质量控制组成。;
工艺过程所包含的单元操作是指化学合成反应或诸如微生物发酵和细胞培养的生物合成反应过程及后期的分离纯化过程;
工艺过程所提及的操作条件是指配料比、培养基组成、温度、压力、催化剂、反应或操作时间、通气与搅拌等。;
工艺过程所提及的质量控制指原辅材料、中间体和产品的质量控制。】
8、多选题:
中国工程院钱旭红院士曾在《制药工艺开发——目前的化学与工程挑战》一书的序言提到:如果说制药工程是重点讲述单元、单个过程或者装备的话,制药工艺则更关心合适的既体现技术经济价值,又与环境生态友好的生产路线。如果说,制药工程是珍珠,无数个不同色彩形状的珍珠,那么制药工艺就是有序、有重点地串起这些珍珠的红线,最终形成了独具特色的项链。通过文明每一个步骤,每一个过程,从而建立起有效而不是不择手段的过程文明,从而建立起新的药物制造业。根据这段话,下列描述正确有( )
选项:
A: 制药工艺的范畴比制药工程大。
B: 项链相当于制药工程,项链上的珠子相当于制药工艺。
C: 这段话出现的第一个“文明”,用行话来说,就是“优化”的意思
D: 这段话出现的第二个“文明”,用行话来说,就是“工艺”的意思
答案: 【 制药工艺的范畴比制药工程大。;
这段话出现的第一个“文明”,用行话来说,就是“优化”的意思;
这段话出现的第二个“文明”,用行话来说,就是“工艺”的意思】
9、多选题:
下列关于制药工艺学重要性的描述正确的有( )
选项:
A: 它所研究的制药工艺是药物研究和大规模生产的重要中间环节,是桥梁也是瓶颈。
B: 它所研究的制药工艺是药物生产的核心部分,也是药物成型化生产的关键过程。
C: 它所研究的药物生产工艺直接关系到药品生产质量。
D: 它所研究的药物生产工艺与药品生产质量关系不大。
答案: 【 它所研究的制药工艺是药物研究和大规模生产的重要中间环节,是桥梁也是瓶颈。;
它所研究的制药工艺是药物生产的核心部分,也是药物成型化生产的关键过程。;
它所研究的药物生产工艺直接关系到药品生产质量。】
10、多选题:
下列关于制药工艺学的研究内容描述正确的有( )。
选项:
A: 制药工艺学是研究药物制造原理、生产技术、工艺路线与过程优化、工艺放大与质量控制,从而分析和解决药物生产过程的实际问题。
B: 从工业生产的角度来看,主要是改造、设计和开发药物的生产工艺,包括小试研究、中试放大研究和工业化生产。
C: 在小试研究阶段,主要是设计与选择药物制备的工艺路线,研究药物合成动力学即反应的快慢及影响因素并进行因素优化,此外,还要建立质量控制标准与方法。
D: 在中试阶段,主要是考虑规模放大时采用何种技术和手段实现每一个单元操作,以及要考虑规模放大时有哪些因素会带来影响,比如热量是否及时供给或者及时导出,搅拌是否充分,在此基础上,在中试放大的规模下对生产工艺进一步进行研究与优化。
答案: 【 制药工艺学是研究药物制造原理、生产技术、工艺路线与过程优化、工艺放大与质量控制,从而分析和解决药物生产过程的实际问题。;
从工业生产的角度来看,主要是改造、设计和开发药物的生产工艺,包括小试研究、中试放大研究和工业化生产。;
在小试研究阶段,主要是设计与选择药物制备的工艺路线,研究药物合成动力学即反应的快慢及影响因素并进行因素优化,此外,还要建立质量控制标准与方法。;
在中试阶段,主要是考虑规模放大时采用何种技术和手段实现每一个单元操作,以及要考虑规模放大时有哪些因素会带来影响,比如热量是否及时供给或者及时导出,搅拌是否充分,在此基础上,在中试放大的规模下对生产工艺进一步进行研究与优化。】
11、多选题:
制药工艺的发展趋势包含( )
选项:
A: 综合利用各种制药技术,生物创制新药愈加突出。
B: 发展绿色工艺,发展药物的连续制造。
C: 对药品质量要求更高。
D: 化学合成新药愈加突出。
答案: 【 综合利用各种制药技术,生物创制新药愈加突出。;
发展绿色工艺,发展药物的连续制造。;
对药品质量要求更高。】
12、多选题:
关于学习制药工艺学的目的描述正确的有()
选项:
A: 通过本课程的学习,了解药物制造的基本原理、工艺路线与质量控制。
B: 了解药物的理化性质、以及药理和药效学特性。
C: 使得学生初步具备运用所学的知识进行制药工艺的创新和开展新工艺的研究与开发能力。
D: 培养学生利用所学的知识来分析和解决药物生产实际过程中的实际工程问题的能力,以便成为适应现代化制药企业和学科发展所需要的制药工程师。
答案: 【 通过本课程的学习,了解药物制造的基本原理、工艺路线与质量控制。;
使得学生初步具备运用所学的知识进行制药工艺的创新和开展新工艺的研究与开发能力。;
培养学生利用所学的知识来分析和解决药物生产实际过程中的实际工程问题的能力,以便成为适应现代化制药企业和学科发展所需要的制药工程师。】
1、单选题:
工业设计路线的研究对象有哪些 ( )。
选项:
A: 即将上市的药物。
B: 专利即将到期的药物。
C: 产量大、应用广泛的药物。
D: 以上皆是。
答案: 【 以上皆是。】
2、单选题:
关于低收率反应步骤的位置,下列正确的是( )
选项:
A: 采用直线式方案时靠前,采用汇聚式方案时靠前。
B: 采用直线式方案时靠前,采用汇聚式方案时靠后。
C: 采用直线式方案时靠后,采用汇聚式方案时靠前。
D: 采用直线式方案时靠后,采用汇聚式方案时靠后。
答案: 【 采用直线式方案时靠前,采用汇聚式方案时靠前。】
3、单选题:
在合成工序的安排中,贵重原料放在何位置,手性中间体的构建又放在何位置( )。
选项:
A: 贵重原料靠路线的前端放置,手性中间体的构建靠路线的前端放置。
B: 贵重原料靠路线的前端放置,手性中间体的构建靠路线的后端放置。
C: 贵重原料靠路线的后端放置,手性中间体的构建靠路线的前端放置。
D: 贵重原料靠路线的后端放置,手性中间体的构建应按照手性构建方法的不同权衡利弊,合理安排。
答案: 【 贵重原料靠路线的后端放置,手性中间体的构建应按照手性构建方法的不同权衡利弊,合理安排。】
4、单选题:
原子经济性是1991年由著名化学家B M Trost提出的,下列关于原子经济性说法错误的是( )。
选项:
A: 目标产物中的原子质量与参与反应的所有起始物的原子质量之比。
B: 原子经济性愈大,原料的利用率愈低。
C: Baylis-Hillman反应和Diels-Alder反应是原子经济性都达到100%的反应。
D: 原子经济性不考虑反应收率,溶剂的量,及处理过程中使用的其他试剂。
答案: 【 原子经济性愈大,原料的利用率愈低。】
5、单选题:
根据原子经济性的定义对加成反应、取代反应、消除反应、保护和脱保护反应、催化反应、高选择性反应进行分类,分成可接受反应和要回避的反应。下列关于可接受反应和要回避的反应归类正确的有( )。
选项:
A: 可接受反应:加成反应、取代反应、消除反应、保护和脱保护反应、高选择性反应。
B: 要回避的反应:加成反应、取代反应、催化反应、高选择性反应、保护和脱保护反应。
C: 可接受反应:加成反应、催化反应、取代反应、消除反应、高选择性反应。
D: 要回避的反应:加成反应、消除反应、催化反应、高选择性反应、保护和脱保护反应。
答案: 【 可接受反应:加成反应、催化反应、取代反应、消除反应、高选择性反应。】
6、单选题:
如下图为胃促动力剂扎非那辛的原始和修改后的合成过程,下列说法错误的是( )。


选项:
A: 原始工艺中,高能化合物中间体3分解放热,易产生失控反应。
B: 修改工艺后,回避了高能化合物分解放热的问题。
C: 两种路线皆采用汇聚式。
D: 化合物3和4都是含高能官能团的高能化合物。
答案: 【 化合物3和4都是含高能官能团的高能化合物。】
7、单选题:
关于丙炔醚的Claisen重排,下列说法错误的是( )。
选项:
A: 这是一个放热反应。
B: 小试能很好进行,放大时急剧升温。
C: 小试33s内,体系温度从180℃上升到445℃。
D: 针对该反应,中试对放热的解决办法是将间歇式反应器变为管式反应器(PFR)。
答案: 【 小试33s内,体系温度从180℃上升到445℃。】
8、多选题:
药物合成路线的设计方法一般有哪几种( )。
选项:
A: 逆合成法 。
B: 类型反应法 。
C: 分子对称法 。
D: 模拟类推法。
答案: 【 逆合成法 。;
类型反应法 。;
分子对称法 。;
模拟类推法。】
9、多选题:
合成工艺路线的设计与选择需要考虑哪些方面的因素 ( )。
选项:
A: 合成路线的长短。
B: 工艺过程的难易。
C: 质量可靠、经济有效、过程安全、环境友好。
D: 具有工业生产价值。
答案: 【 合成路线的长短。;
工艺过程的难易。;
质量可靠、经济有效、过程安全、环境友好。;
具有工业生产价值。】
10、多选题:
多步反应1步完成即“一勺烩”中,适用场合为( )。
选项:
A: 中间体的结晶性差。
B: 中间体的结构复杂。
C: 中间产物难以分离。
D: 中间体化学稳定性差或高反应性或高毒性。
答案: 【 中间体的结晶性差。;
中间产物难以分离。;
中间体化学稳定性差或高反应性或高毒性。】
11、多选题:
关于以下反应,以下说法正确的有( )。

选项:
A: 一勺烩步骤是1-4。
B: 一勺烩步骤是1-5。
C: 亚胺2和醛3都是不稳定的非晶性化合物,而4是稳定的容易结晶的化合物。
D: 亚胺2和醛3都是稳定的晶性化合物,4是稳定的容易结晶的化合物。
答案: 【 一勺烩步骤是1-4。;
亚胺2和醛3都是不稳定的非晶性化合物,而4是稳定的容易结晶的化合物。】
12、多选题:
在进行“一勺烩”反应时,下述描述正确的有( )。
选项:
A: 应当弄清楚各步的反应机理。
B: 一勺烩的前提是:上一步反应体系对下一步反应有影响。
C: 产物的纯度可能会下降,分离纯化的难度可能会增加。
D: 产品质量可能会被影响。
答案: 【 应当弄清楚各步的反应机理。;
产物的纯度可能会下降,分离纯化的难度可能会增加。;
产品质量可能会被影响。】
13、多选题:
关于下述金属蛋白酶抑制剂的两个合成方案的叙述正确的有( )。


选项:
A: 都是5步反应。
B: 方案2较方案1更简便。
C: 将对映异构体的拆分放在合成路线的后端能降低成本。
D: 将对映异构体的拆分放在合成路线的前端能降低成本。
答案: 【 都是5步反应。;
将对映异构体的拆分放在合成路线的前端能降低成本。】
14、多选题:
下面关于“汇聚式”合成方案说法正确的有( )
选项:
A: 总收率高。
B: 中间产物总量减少。
C: 所需要的反应容器较小。
D: 降低了中间体的合成成本,在生产过程中一旦出错,损失小。
答案: 【 总收率高。;
中间产物总量减少。;
所需要的反应容器较小。;
降低了中间体的合成成本,在生产过程中一旦出错,损失小。】
15、多选题:
关于下面的反应,下列说法正确的有( )。

选项:
A: 路线1和路线2的反应条件和收率差不多。
B: 路线1和路线2的原料来源差不多。
C: 路线1的原料合成难度大,成本高,来源困难。
D: 路线2的原料合成难度大,成本高,来源困难。
答案: 【 路线1和路线2的反应条件和收率差不多。;
路线2的原料合成难度大,成本高,来源困难。】
16、多选题:
在药物生产中溶剂对所使用材料、总能量和温室气体排放量的占比如图所示,以下说法正确的有( )。

选项:
A: 溶剂的使用量占材料用量的20%。
B: 溶剂的使用量占材料用量的80%。
C: 溶剂使用消耗的能量占总能量消耗的60%。
D: 溶剂使用导致的温室气体排放量占温室气体排放总量的50%。
答案: 【 溶剂的使用量占材料用量的80%。;
溶剂使用消耗的能量占总能量消耗的60%。;
溶剂使用导致的温室气体排放量占温室气体排放总量的50%。】
17、多选题:
根据人用药物注册技术要求国际协调会议(ICH)的指导原则,下列说法正确的有( )。
选项:
A: 第一类溶剂是指已知可以致癌并被强烈怀疑对人和环境有害的溶剂。
B: 第二类溶剂是指无基因毒性但有动物致癌性的溶剂。
C: 第三类溶剂是指对人体低毒的溶剂。
D: 在生产治疗价值较大的药品时若不可避免使用第一类溶剂,需证明其合理性,残留量必须控制在规定的范围内。
答案: 【 第一类溶剂是指已知可以致癌并被强烈怀疑对人和环境有害的溶剂。;
第二类溶剂是指无基因毒性但有动物致癌性的溶剂。;
第三类溶剂是指对人体低毒的溶剂。;
在生产治疗价值较大的药品时若不可避免使用第一类溶剂,需证明其合理性,残留量必须控制在规定的范围内。】
18、多选题:
据人用药物注册技术要求国际协调会议(ICH)的指导原则,下列说法正确的有( )。
选项:
A: 1,1-二氯乙烯,四氯化碳,二氯甲烷是第一类溶剂。
B: 甲醇,乙腈,甲基环己烷,1,2-二氯乙烷是第二类溶剂。
C: N,N-二甲基乙酰胺,1,4-二氧六环,1,1,2-三氯乙烷是第二类溶剂。
D: 甲乙酮,乙酸甲酯,3-甲基-1-丁醇,丙酮是第三类溶剂。
答案: 【 N,N-二甲基乙酰胺,1,4-二氧六环,1,1,2-三氯乙烷是第二类溶剂。;
甲乙酮,乙酸甲酯,3-甲基-1-丁醇,丙酮是第三类溶剂。】
19、多选题:
原辅材料的供应,应该( )。
选项:
A: 避免使用管制的和禁用的物料。
B: 避免使用不可接受的重大事故危险控制条例COMAH列出的化学物质。
C: 避免使用危险运输的物料以及第三方禁止的材料。
D: 不使用违反当前或者侵害第三方知识产权的材料、技术或工艺。
答案: 【 避免使用管制的和禁用的物料。;
避免使用不可接受的重大事故危险控制条例COMAH列出的化学物质。;
避免使用危险运输的物料以及第三方禁止的材料。;
不使用违反当前或者侵害第三方知识产权的材料、技术或工艺。】
20、多选题:
关于对瑞莫必利的合成路线,下列描述正确的有( )。

选项:
A: 虽然化合物1经过酒石酸拆分获得化合物2的路线已经被专利保护,其他公司依然可以使用这条路线合成化合物2,继而合成瑞莫必利。
B: 为规避专利保护,Astra公司选用手性源氨基酸(S)-脯氨酸(3)为原料制备化合物2,从而制备瑞莫必利。这种途径值得鼓励。
C: Astra公司的创新路线在于不需要经过拆分获得手性中间体2。
D: Astra公司基于手性中间体2合成的创新路线可以无条件被别的公司采用。
答案: 【 为规避专利保护,Astra公司选用手性源氨基酸(S)-脯氨酸(3)为原料制备化合物2,从而制备瑞莫必利。这种途径值得鼓励。;
Astra公司的创新路线在于不需要经过拆分获得手性中间体2。】
21、多选题:
技术路线可行是评价合成工艺路线的重要指标。作为优化的工业化生产路线,应该具备以下哪些特征( )。
选项:
A: 工艺路线各步反应稳定可靠,发生意外的概率低。
B: 产品的收率和质量重现性好。
C: 各步的反应条件温和,易于达到,易于控制,尽量避免高温、高压或超低温等极端条件。
D: 最好是尖顶型反应,而非平顶型反应。
答案: 【 工艺路线各步反应稳定可靠,发生意外的概率低。;
产品的收率和质量重现性好。;
各步的反应条件温和,易于达到,易于控制,尽量避免高温、高压或超低温等极端条件。】
22、多选题:
如下图,平顶型反应和尖顶型反应各有何优缺点( )。

选项:
A: 平顶型反应中,最佳反应条件范围宽。
B: 尖顶型反应中,最佳反应条件窄,稍有不慎,副反应增多,收率下降。
C: 平顶型反应工艺操作条件稍有变化会影响产品收率和质量。
D: 尖顶型反应与安全生产、三废防治和设备条件密切相关。
答案: 【 平顶型反应中,最佳反应条件范围宽。;
尖顶型反应中,最佳反应条件窄,稍有不慎,副反应增多,收率下降。;
尖顶型反应与安全生产、三废防治和设备条件密切相关。】
23、多选题:
关于Duff反应,以下说法正确的有( )。

选项:
A: Duff反应为平顶型。
B: Duff反应是在活泼芳环上引入甲酰基的经典反应。
C: 该反应条件易于控制,操作简单。
D: 产物纯净,收率高。
答案: 【 Duff反应为平顶型。;
Duff反应是在活泼芳环上引入甲酰基的经典反应。;
该反应条件易于控制,操作简单。】
24、多选题:
关于Gattermann-Koch反应,以下说法正确的有( )。

选项:
A: Gattermann-Koch反应为尖顶型。
B: 该反应条件难以控制,原料毒性大,设备要加压。
C: 若自动化控制也可使用该反应。
D: 即便自动化控制该反应也不可用。
答案: 【 Gattermann-Koch反应为尖顶型。;
该反应条件难以控制,原料毒性大,设备要加压。;
若自动化控制也可使用该反应。】
25、多选题:
技术路线的可行性还表现在合成工序的安排要合理。因为合成工序的安排也会影响到产品的收率和成本。如下反应式所示,以对硝基苯甲酸为起始原料合成局部麻醉药盐酸普鲁卡因的反应中( )。

选项:
A: A路线中先还原后酯化,芳香酸能与铁离子(铁粉为还原剂时的产物)形成不溶性的沉淀混于铁泥中,难以分离。
B: 为了回避A提到的问题,A路线中的还原反应必须采用其他更贵重的还原剂,不利于降低产品成本。
C: B路线先酯化后还原,由于对硝基苯甲酸的酸性强,有利于加快酯化反应速率。并不存在A路线遇到的问题,可采用廉价的铁粉为还原剂。
D: B路线总体收率高于A路线。
答案: 【 A路线中先还原后酯化,芳香酸能与铁离子(铁粉为还原剂时的产物)形成不溶性的沉淀混于铁泥中,难以分离。;
为了回避A提到的问题,A路线中的还原反应必须采用其他更贵重的还原剂,不利于降低产品成本。;
B路线先酯化后还原,由于对硝基苯甲酸的酸性强,有利于加快酯化反应速率。并不存在A路线遇到的问题,可采用廉价的铁粉为还原剂。;
B路线总体收率高于A路线。】
26、多选题:
以下关于合理工艺的控制方式描述正确的有( )。
选项:
A: 通过结晶方式对固体中间体或最终API进行分离。
B: 将有机化合物萃取到有机相,除去电离物质。
C: 将酸性或碱性化合物萃取到水相,除去非电离杂质。
D: 通过合理设计,寻找“干净的反应”,即杂质种类和量少的反应。这点愈靠近路线的末端愈加重要。
答案: 【 通过结晶方式对固体中间体或最终API进行分离。;
将有机化合物萃取到有机相,除去电离物质。;
将酸性或碱性化合物萃取到水相,除去非电离杂质。;
通过合理设计,寻找“干净的反应”,即杂质种类和量少的反应。这点愈靠近路线的末端愈加重要。】
27、多选题:
下图为GP IIb/IIIa受体拮抗剂5的合成过程,以下描述正确的有( )。

选项:
A: 由化合物1制备3时,将3萃取到pH为7.5的水相,从而与化合物2分离,过程可控干净。
B: 化合物3合成化合物4的过程中,在水中进行,若碘代试剂过量,会有二碘代副产物生成。二碘代副产物等易在钯碳催化羰基化反应中产生更多的新的杂质。这个过程为可控的工艺。
C: 若让化合物3比一氯化碘吡啶配合物稍过量2%,反应结束后通过对化合物4的结晶将剩下的化合物3予以除去,并回收利用,这是可控工艺。
D: 上述说法都不对。
答案: 【 由化合物1制备3时,将3萃取到pH为7.5的水相,从而与化合物2分离,过程可控干净。;
若让化合物3比一氯化碘吡啶配合物稍过量2%,反应结束后通过对化合物4的结晶将剩下的化合物3予以除去,并回收利用,这是可控工艺。】
28、多选题:
在工业化合成路线选择的过程中,必须考虑设备的因素,生产设备的可靠性也是评价合成工艺路线的重要指标。因此,应该做到( )。
选项:
A: 尽可能采用常规设备。
B: 少用特殊种类、特殊材质、特殊型号的设备。
C: 路线设计中应规避电化学、超高温或低温等反应条件。
D: 剧烈放热、快速淬灭、严格控温、高度无水、超强酸或超强碱等这类反应条件也尽可能避免。
答案: 【 尽可能采用常规设备。;
少用特殊种类、特殊材质、特殊型号的设备。;
路线设计中应规避电化学、超高温或低温等反应条件。;
剧烈放热、快速淬灭、严格控温、高度无水、超强酸或超强碱等这类反应条件也尽可能避免。】
29、多选题:
简化后处理的优势有( )。
选项:
A: 有效地减少物料的损失。
B: 降低污染物的排放。
C: 节省工时,降低劳动强度。
D: 节约设备投资。
答案: 【 有效地减少物料的损失。;
降低污染物的排放。;
节省工时,降低劳动强度。;
节约设备投资。】
30、多选题:
简化后处理的推荐方法有( )。
选项:
A: 一勺烩。
B: 采用精馏和减压蒸馏。
C: 采用结晶、萃取、吸附、沉淀、离子交换、常压蒸馏、水蒸气蒸馏等常规方法。
D: 采用柱色谱,使用模拟移动床色谱用于复杂体系如手性化合物、结构类似物的分离。
答案: 【 一勺烩。;
采用结晶、萃取、吸附、沉淀、离子交换、常压蒸馏、水蒸气蒸馏等常规方法。】
31、多选题:
下列关于原子经济性说法正确的是( )。
选项:
A: Baylis-Hillman反应和Wittig反应合成烯烃是原子经济性达到100%的反应。
B: 酯化、醇解、Aldol反应是原子经济性较高的反应。
C: Gabriel反应合成伯胺和Diels-Alder反应是原子经济性低的反应。
D: 一般情况下,有机反应中的重排反应和加成反应的原子经济性最高。
答案: 【 酯化、醇解、Aldol反应是原子经济性较高的反应。;
一般情况下,有机反应中的重排反应和加成反应的原子经济性最高。】
32、多选题:
环境因子是1992年Sheldon提出来的,定义为废弃物与产物的质量比。下列关于环境因子说法正确的是( )。
选项:
A: 环境因子愈大,产生废弃物越多。
B: 医药行业的环境因子是所有化工行业最高的。
C: 大宗化学品的环境因子是最高的。
D: 以上说法都不对。
答案: 【 环境因子愈大,产生废弃物越多。;
医药行业的环境因子是所有化工行业最高的。】
33、多选题:
减少对环境影响的措施有( )。
选项:
A: 减少反应步骤。
B: 简化后处理过程。
C: 采用绿色原辅材料。
D: 采用原子经济性低的工艺路线。
E: 采用生物转化替代化学转化。
答案: 【 减少反应步骤。;
简化后处理过程。;
采用绿色原辅材料。;
采用生物转化替代化学转化。】
34、多选题:
青霉素G水解成6-PAP的反应有两种途径:(1)+(2)表示化学法;(3)表示酶法。下列关于化学法和酶解法叙述正确的有( )。

其中(1) TMSCl, then PCl5, PNMe2, CH2Cl2,-40℃;(2)n-BuOH, -40℃; then H2O, 0℃; (3) Pen-acylase, H2O, 37℃
选项:
A: 化学法中使用了反应活性高和毒性大的五氯化磷以及不受欢迎的二氯甲烷溶剂。
B: 化学法在-40℃下反应,能耗高。
C: 酶解法是单步反应。
D: 酶解法在室温下发生反应,水相中反应。
答案: 【 化学法中使用了反应活性高和毒性大的五氯化磷以及不受欢迎的二氯甲烷溶剂。;
化学法在-40℃下反应,能耗高。;
酶解法是单步反应。;
酶解法在室温下发生反应,水相中反应。】
35、多选题:
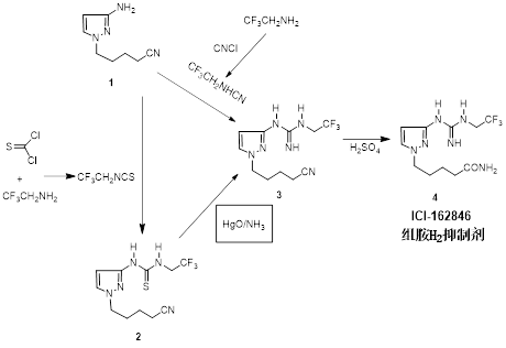
如图所示,化合物4为一种组胺H2抑制剂,用于治疗胃溃疡和功能紊乱。在如下图所示的胍基中间体3的合成过程中,用了HgO做了夺取S原子的试剂。下列说法正确的有( )。

选项:
A: 物质安全包含所用溶剂安全,催化剂或辅料安全,副产物安全等。
B: 催化剂和辅助试剂不安全时,工艺路线不能用于工业化生产。
C: 路线1→2→3→4易产生含汞废水,易造成生态系统污染。
D: 路线1→3利用氰胺中间体获得中间体3,更安全,可用于工业化生产。
答案: 【 物质安全包含所用溶剂安全,催化剂或辅料安全,副产物安全等。;
催化剂和辅助试剂不安全时,工艺路线不能用于工业化生产。;
路线1→2→3→4易产生含汞废水,易造成生态系统污染。;
路线1→3利用氰胺中间体获得中间体3,更安全,可用于工业化生产。】
36、多选题:
产生失控反应三个因素( )。
选项:
A: 忽视了放热反应。
B: 未做到程序升温。
C: 反应器的传热面积不够。
D: 忽视了反应体系类有高能官能团化合物存在。
答案: 【 忽视了放热反应。;
反应器的传热面积不够。;
忽视了反应体系类有高能官能团化合物存在。】
37、多选题:
下列关于含高能官能团的高能化合物的说法正确的是( )。
选项:
A: 炔类和金属炔类化合物、环氧化物是高能化合物。
B: 吡咯、三唑、三嗪、四唑等是高能化合物。
C: 金属氮化物是高能化合物。
D: 含氮卤键和氧卤键的化合物是高能化合物。
答案: 【 炔类和金属炔类化合物、环氧化物是高能化合物。;
金属氮化物是高能化合物。;
含氮卤键和氧卤键的化合物是高能化合物。】
38、多选题:
连续活塞流反应器又称为平推流反应器,它是一种理想的反应器。它具有如下一些特征( )。
选项:
A: 反应器的长径比大,所以换热面积特别大。
B: 反应物和生产物沿管长方向流动,假设不同时刻进入反应器的物料之间不发生逆向混合(返混)。
C: 任何一个截面上不存在着流速分布;反应物和生物物浓度随流动方向从一个截面到另一个截面而变化。
D: 反应时间是管长的函数(管长越长反应时间越长,适合慢反应)。
E: 离开平推流反应器的所有流体质点均具有相同的平均停留时间,并等于反应时间。
答案: 【 反应器的长径比大,所以换热面积特别大。;
反应物和生产物沿管长方向流动,假设不同时刻进入反应器的物料之间不发生逆向混合(返混)。;
任何一个截面上不存在着流速分布;反应物和生物物浓度随流动方向从一个截面到另一个截面而变化。;
反应时间是管长的函数(管长越长反应时间越长,适合慢反应)。;
离开平推流反应器的所有流体质点均具有相同的平均停留时间,并等于反应时间。】
39、多选题:
布洛芬最早由英国Boots公司开发,于20世纪60年代在英国上市。如下图所示合成布洛芬的Boots路线(1-2-3-4-5-6-7),下列对其评价正确的有( )。

选项:
A: Boots路线原料易得、反应可靠、控制方便,是较为成熟的工业化路线。
B: 反应步骤包括6步反应,路线较长。
C: 反应过程中需要使用醇钠,存在一定的安全隐患。
D: 原子利用率低,成品的精制过程复杂,生产成本高。
答案: 【 Boots路线原料易得、反应可靠、控制方便,是较为成熟的工业化路线。;
反应步骤包括6步反应,路线较长。;
反应过程中需要使用醇钠,存在一定的安全隐患。;
原子利用率低,成品的精制过程复杂,生产成本高。】
40、多选题:
如图为美国Hoechst-Celanse 公司与Boots公司联合开发1条全新的布洛芬3步法工艺路线(1-2-8),即HCB路线。下列对其评价正确的有( )。

选项:
A: 与Boots路线相比,HCB路线 反应步骤减少,路线明显缩短。
B: 与Boots路线相比,HCB路线后处理次数减少,产物的纯度良好。
C: 与Boots路线相比,HCB路线起始原料并未改变,其他原料和试剂的种类减少,价格低廉,无需使用溶剂。
D: 与Boots路线相比,HCB路线原子经济性明显改善,原子利用率得到了提高。
答案: 【 与Boots路线相比,HCB
备案号:冀ICP备20010840号 2020-2099辉辉网络科技 All Rights Reserved