

1、单选题:
下面论述中正确的是 ( )
选项:
A: 在树中,从一个节点到另一个节点不可能有两个不同的路径
B: 图的一个不含回路的子图即为该图的树
C: 作一个图的树时,任何一组支路都可选为树支或连支
D: n个节点连通图,由n-1条支路构成的子图必为树
答案: 【 在树中,从一个节点到另一个节点不可能有两个不同的路径】
2、单选题:
对于有n个节点,b条支路的线图,下列说法错误的是( )
选项:
A: 在全部支路电流中,树支电流是一组独立变量,个数等于n-1
B: 独立KCL方程的数目等于树支数个,即n-1
C: 树支电流可以表达成连支电流的线性组合,因为连支电流是一组独立变量
D: 基本割集的KCL方程是一组独立方程,共n-1个
答案: 【 在全部支路电流中,树支电流是一组独立变量,个数等于n-1】
3、单选题:

选项:
A: 
B: 
C: 
D: 
答案: 【
】
4、单选题:
由关联矩阵A列写的基尔霍夫电流定律方程的矩阵形式为( )
选项:
A: 
B: 
C: 
D: 
答案: 【
】
5、单选题:
由基本回路矩阵B列写的基尔霍夫电压定律方程的矩阵形式为( )
选项:
A: 
B: 
C: 
D: 
答案: 【
】
6、单选题:
由基本割集矩阵C列写的基尔霍夫电流定律方程的矩阵形式为( )
选项:
A: 
B: 
C: 
D: 
答案: 【
】
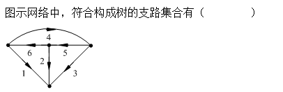
7、单选题:

选项:
A: {2,3,4},{2,3,5}
B: {1,4,6},{3,4,5}
C: {1,2,4,5},{2,3,4,6}
D: {1,2,3},{2,5,6}
答案: 【 {2,3,4},{2,3,5} 】
8、单选题:
下列说法不正确的是( )
选项:
A: 列写割集的KCL方程是独立的
B: 树支电流可以表达成连支电流的线性组合
C: 基本割集列出的(n-1)个KCL方程保证是独立的
D: 连支电流是一组独立变量,个数等于连支数 bl = (b – n +1)
答案: 【 列写割集的KCL方程是独立的】
9、单选题:

选项:
A: {1,3,4},{2,3,5},{1,2,6}
B: {1,2,6},{4,5,6}
C: {1,3,5,6},{2,3,4,6}
D: {1,3,4},2,3,5},{1,2,4,5}
答案: 【 {1,3,4},{2,3,5},{1,2,6} 】
10、单选题:
由关联矩阵A列写的基尔霍夫电压定律方程的矩阵形式为( )
选项:
A: 
B: 
C: 
D: 
答案: 【
】
11、单选题:
由基本割集矩阵C列写的基尔霍夫电压定律方程的矩阵形式为( )
选项:
A: 
B: 
C: 
D: 
答案: 【
】
1、单选题:

选项:
A: {1,2,3},{2,3,4}
B: 1,3,4},{2,3,5}
C: {2,3,4},{2,3,5}
D: {1,2,4,5},{1,3,5,6}
答案: 【 {1,2,3},{2,3,4} 】
2、单选题:

选项:
A: {1,3,4},{2,3,5},{1,2,6}
B: {1,2,6},{4,5,6}
C: {1,3,5,6},{2,3,4,6}
D: {1,3,4},2,3,5},{1,2,4,5}
答案: 【 {1,3,4},{2,3,5},{1,2,6} 】
3、单选题:
由关联矩阵A列写的基尔霍夫电压定律方程的矩阵形式为( )
选项:
A: 
B: 
C: 
D: 
答案: 【
】
4、单选题:
由基本回路矩阵B列写的基尔霍夫电流定律方程的矩阵形式为( )
选项:
A: 
B: 
C: 
D: 
答案: 【
】
5、单选题:
由基本割集矩阵C列写的基尔霍夫电压定律方程的矩阵形式为( )
选项:
A: 
B: 
C: 
D: 
答案: 【
】
6、单选题:
可以通过C矩阵确定B矩阵的关系式为( )
选项:
A: 
B: 
C: 
D: 
答案: 【
】
7、单选题:

选项:
A: 
B: 
C: 
D: 
答案: 【
】
1、单选题:

选项:
A: 
B: 
C: 
D: 
答案: 【
】
2、单选题:

选项:
A: 
B: 
C: 
D: 
答案: 【
】
3、单选题:

选项:
A: 
B: 
C: 
D: 
答案: 【
】
4、单选题:

选项:
A: 
B: 
C: 
D: 
答案: 【
】
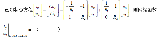
5、单选题:
线性电容和电感的状态变量分别为( )
选项:
A: uC、iL
B: iC、uL
C: uC、uL
D: iC 、iL
答案: 【 uC、iL 】
6、单选题:
列写状态方程最关键一步是( )
选项:
A: 列单电容树支割集的KCL方程和单电感连支回路的KVL方程
B: 列单电感树支割集的KCL方程和单电容连支回路的KVL方程
C: 列单电容树支割集的KVL方程和单电感连支回路的KCL方程
D: 列单电感连支割集的KCL方程和单电容树支回路的KVL方程
答案: 【 列单电容树支割集的KCL方程和单电感连支回路的KVL方程】
7、单选题:

选项:
A: 
B: 
C: 
D: 
答案: 【
】
1、单选题:

选项:
A: 
B: 
C: 
D: 
答案: 【
】
2、单选题:

选项:
A: 
B: 
C: 
D: 
答案: 【
】
3、单选题:

选项:
A: 
B: 
C: 
D: 
答案: 【
】
4、单选题:

选项:
A: 
B: 
C: 
D: 
答案: 【
】
5、单选题:

选项:
A: 
B: 
C: 
D: 
答案: 【
】
6、单选题:

选项:
A: 
B: 
C: 
D: 
答案: 【
】
1、单选题:

选项:
A: (1,3),(2,4),(2,3,5)
B: (1,3),(2,4),(1,4,5)
C: (1,3),(1,2,4),(3,4,5)
D: (1,2,5),(3,4,5),(2,3,5)
答案: 【 (1,3),(2,4),(2,3,5) 】
2、单选题:

选项:
A: 
B: 
C: 
D: 
答案: 【
】
3、单选题:
对含有电流控制的受控源进行电路分析时下列说法最合理的是( )
选项:
A: 受控源的控制量电流做连支
B: 电流可以做树支也可做连支
C: 受控源的控制量电流做树支
D: 以上说法都不对
答案: 【 受控源的控制量电流做连支】
4、单选题:
备案号:冀ICP备20010840号 2020-2099辉辉网络科技 All Rights Reserved