

1、单选题:
如果一体系在 作用下,其几何形状和位置没有发生改变。则这一体系就是几何不变体系。
选项:
A: 一个荷载
B: 二个荷载
C: 三个荷载
D: 任意荷载
答案: 【 任意荷载】
2、单选题:
在下列物体或体系中,不可以看成刚片的物体或体系是 。
选项:
A: 杆
B: 支撑结构的地基
C: 已有的几何不变体系
D: 已有的几何可变体系
答案: 【 已有的几何可变体系】
1、单选题:
在某一平面内运动,没有受到约束的点,即平面自由点,具有 个自由度。
选项:
A: 0
B: 1
C: 2
D: 3
答案: 【 2】
2、单选题:
在某一平面内运动,没有受到约束的刚体,即平面自由刚体,具有 个自由度。
选项:
A: 0
B: 1
C: 2
D: 3
答案: 【 3】
3、单选题:
一个连接3个杆件的铰,相当于 个约束。
选项:
A: 1
B: 2
C: 3
D: 4
答案: 【 4】
1、单选题:
除去一个 后,体系的自由度将增加一个。
选项:
A: 必要约束
B: 多余约束
C: 铰
D: 链杆
答案: 【 必要约束 】
2、单选题:
除去二个多余约束后,体系的自由度将 。
选项:
A: 减少
B: 增加
C: 增加二个
D: 不发生变化
答案: 【 不发生变化】
1、单选题:
如果一个体系的计算自由度>0,则该体系是 。
选项:
A: 缺少必要约束的几何不变体系
B: 缺少必要约束的几何可变体系
C: 缺少多余约束的几何不变体系
D: 缺少多余约束的几何可变体系
答案: 【 缺少必要约束的几何可变体系 】
2、单选题:
如果一个体系的计算自由度= -1,则该体系 。
选项:
A: 是几何不变体系
B: 是具有一个多余约束的几何不变体系
C: 可能是几何可变体系
D: 是缺少一个必要约束的几何可变体系
答案: 【 可能是几何可变体系】
1、单选题:
瞬变体系 。
选项:
A: 在任意荷载作用下,都可以保持静力平衡
B: 缺少一个必要约束
C: 没有一个多余约束
D: 体系的计算自由度= 1
答案: 【 缺少一个必要约束】
2、单选题:
因为处于原始位置的瞬变体系经过微小位移后,将变成为几何不变体系。则初始的瞬变体系应该为 体系。
选项:
A: 无多余约束的几何不变
B: 有多余约束的几何不变
C: 几何可变
D: 几何常变
答案: 【 几何可变】
1、单选题:
若三个刚片通过三个不共线单铰两两相连,则该体系为 体系。
选项:
A: 几何常变
B: 瞬变
C: 无多余约束的几何不变
D: 有多余约束的几何不变
答案: 【 无多余约束的几何不变】
2、单选题:
如果两个刚片通过三个相互平行但不等长的链杆连接,则该体系为 体系。
选项:
A: 无多余约束的几何不变
B: 有多余约束的几何不变
C: 瞬变
D: 几何常变
答案: 【 瞬变】
3、单选题:
如果一个体系通过减二元体得到的最后体系是几何常变体系,则该体系为 体系。
选项:
A: 几何常变
B: 瞬变
C: 几何不变
D: 几何可变
答案: 【 几何常变】
1、单选题:
例题2-1所示体系的计算自由度为 。

选项:
A: -1
B: 0
C: 1
D: 2
答案: 【 0】
2、单选题:
例题2-2所示体系的计算自由度为 。

选项:
A: -2
B: -1
C: 0
D: 1
答案: 【 0】
3、单选题:
例题2-3所示体系的计算自由度为 。

选项:
A: -1
B: 0
C: 1
D: 2
答案: 【 0】
4、单选题:
例题2-4所示体系的计算自由度为 。

选项:
A: -2
B: -1
C: 0
D: 1
答案: 【 0】
5、单选题:
例题2-5所示体系的计算自由度为 。

选项:
A: -1
B: 0
C: 1
D: 2
答案: 【 0】
6、单选题:
例题2-6所示体系的计算自由度为 。

选项:
A: -2
B: -1
C: 0
D: 1
答案: 【 0】
1、单选题:
如果一个刚片受到三个链杆的约束,其中两平行链杆组成无穷远处的虚铰,且两平行链杆与另外一个链杆不平行,则该体系为 体系。
选项:
A: 无多余约束的几何不变
B: 有多余约束的几何不变
C: 瞬变
D: 几何常变
答案: 【 无多余约束的几何不变】
2、单选题:
2、如图,一个刚片受到三个等长且相互平行链杆的约束,其中某两平行链杆可以看成无穷远处的虚铰,则该体系为 体系。

选项:
A: 无多余约束的几何不变
B: 有多余约束的几何不变
C: 瞬变
D: 几何常变
答案: 【 瞬变】
1、单选题:
一个无多余约束的几何不变体系,其 。
选项:
A: 独立静力平衡方程的个数等于该体系约束的个数
B: 独立静力平衡方程的个数小于该体系约束的个数
C: 独立静力平衡方程的个数大于该体系约束的个数
D: 该体系的自由度不等于零
答案: 【 独立静力平衡方程的个数等于该体系约束的个数】
2、单选题:
一个有多余约束的几何不变体系,其 。
选项:
A: 独立静力平衡方程的个数等于该体系约束的个数
B: 独立静力平衡方程的个数小于该体系约束的个数
C: 独立静力平衡方程的个数大于该体系约束的个数
D: 该体系的自由度不等于零
答案: 【 独立静力平衡方程的个数小于该体系约束的个数】
3、单选题:
一个几何常变体系,其 。
选项:
A: 独立静力平衡方程的个数等于该体系约束的个数
B: 独立静力平衡方程的个数小于该体系约束的个数
C: 独立静力平衡方程的个数大于该体系约束的个数
D: 该体系的自由度等于零
答案: 【 独立静力平衡方程的个数大于该体系约束的个数】
1、单选题:
以下弯矩图可能正确的是:( )
选项:
A: 
B: 
C: 
D: 
答案: 【
】
2、单选题:
图示各梁中︱M︱max为最小者是图:( )
选项:
A: 
B: 
C: 
D: 
答案: 【
】
1、判断题:
图示为一杆段的M、Q图,若Q图是正确的,则M图一定是错误的。

选项:
A: 正确
B: 错误
答案: 【 正确】
2、判断题:
在无剪力直杆中,各截面弯矩不一定相等。
选项:
A: 正确
B: 错误
答案: 【 正确】
1、判断题:
分段叠加法作弯矩图时,M图的叠加是指两个M图纵坐标的叠加。( )
选项:
A: 正确
B: 错误
答案: 【 正确】
2、判断题:
直杆上任一区段的弯矩图都可以用分段叠加法作。( )
选项:
A: 正确
B: 错误
答案: 【 正确】
1、判断题:
作弯矩图时,有时可以不求支座反力。( )
选项:
A: 正确
B: 错误
答案: 【 正确】
1、判断题:
图示结构B支座反力等于P/2,方向向上。

选项:
A: 正确
B: 错误
答案: 【 错误】
2、判断题:
荷载作用在静定多跨梁的附属部分时,基本部分一般内力不为零。
选项:
A: 正确
B: 错误
答案: 【 正确】
1、判断题:
图示梁中,BC段的剪力等于0,DE段的弯矩等于0。

选项:
A: 正确
B: 错误
答案: 【 正确】
2、判断题:
一般情况下,静定多跨梁的弯矩比一系列相应的简支梁的弯矩要小。( )
选项:
A: 正确
B: 错误
答案: 【 正确】
1、单选题:
图示静定梁EI=常数, D端的反力矩为()

选项:
A: 20KN.m,逆时针
B: 0KN.m
C: 20KN.m,顺时针
D: 40KN.m,逆时针
答案: 【 20KN.m,逆时针】
2、判断题:
图a所示多跨静定梁的剪力图和弯矩图分别如图b和图c所示。( )



选项:
A: 正确
B: 错误
答案: 【 正确】
1、判断题:
图示结构中DE杆的轴力FNDE=FP/3。

选项:
A: 正确
B: 错误
答案: 【 错误】
2、判断题:
静定平面刚架的几何组成分析对其受力分析的顺序选择具有重要参考作用。( )
选项:
A: 正确
B: 错误
答案: 【 正确】
1、判断题:
图示结构的弯矩分布图是正确的。( )

选项:
A: 正确
B: 错误
答案: 【 错误】
1、单选题:
图示结构中,BA杆B端的剪力和弯矩为( )

选项:
A: 
B: 
C: 
D: 
答案: 【
】
1、单选题:
图示两结构及其受载状态,它们的内力符合:( )

选项:
A: 弯矩相同,剪力不同;
B: 弯矩相同,轴力不同;
C: 弯矩不同,剪力相同;
D: 弯矩不同,轴力不同。
答案: 【 弯矩相同,轴力不同;】
1、判断题:
图示结构中,当一集中力偶分别施加在C左或C右截面时,BC杆的受力是不同的。

选项:
A: 正确
B: 错误
答案: 【 正确】
1、单选题:
图示结构中:( )

选项:
A: 
B: 
C: 
D: 
答案: 【
】
2、判断题:
图示刚架弯矩图正确。

选项:
A: 正确
B: 错误
答案: 【 正确】
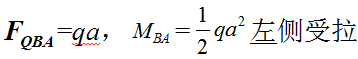
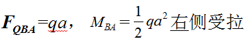
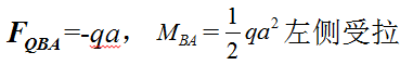
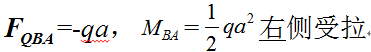
1、单选题:
图示结构
(设下侧受拉为正)为:
备案号:冀ICP备20010840号 2020-2099辉辉网络科技 All Rights Reserved