

1、单选题:

选项:
A: 0
B: 1
C: 
D: -1
答案: 【
】
1、单选题:

选项:
A: 1
B: e
C: -1
D: 
答案: 【
】
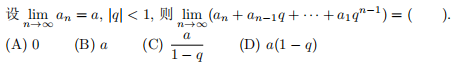
1、单选题:

选项:
A: A
B: B
C: C
D: D
答案: 【 A】
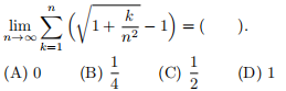
2、单选题:

选项:
A: A
B: B
C: C
D: D
答案: 【 C】
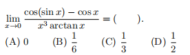
3、单选题:

选项:
A: A
B: B
C: C
D: D
答案: 【 B】
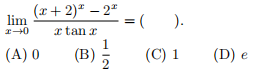
4、单选题:

选项:
A: A
B: B
C: C
D: D
答案: 【 B】
5、单选题:

选项:
A: A
B: B
C: C
D: D
答案: 【 B】
6、单选题:

选项:
A: A
B: B
C: C
D: D
答案: 【 C】
7、单选题:

选项:
A: A
B: B
C: C
D: D
答案: 【 B】
8、单选题:

选项:
A: A
B: B
C: C
D: D
答案: 【 B】
9、单选题:

选项:
A: A
B: B
C: C
D: D
答案: 【 D】
10、单选题:

选项:
A: A
B: B
C: C
D: D
答案: 【 D】
11、判断题:

选项:
A: 正确
B: 错误
答案: 【 正确】
12、判断题:

选项:
A: 正确
B: 错误
答案: 【 错误】
13、判断题:

选项:
A: 正确
B: 错误
答案: 【 错误】
14、判断题:

选项:
A: 正确
B: 错误
答案: 【 正确】
15、判断题:

选项:
A: 正确
B: 错误
答案: 【 正确】
16、判断题:

选项:
A: 正确
B: 错误
答案: 【 正确】
17、判断题:

选项:
A: 正确
B: 错误
答案: 【 正确】
18、判断题:

选项:
A: 正确
B: 错误
答案: 【 正确】
19、判断题:

选项:
A: 正确
B: 错误
答案: 【 正确】
20、判断题:

选项:
A: 正确
B: 错误
答案: 【 错误】
1、单选题:
单调有界数列收敛定理与有限覆盖定理的关系是什么?
选项:
A: 充分但不必要条件
B: 必要但不充分条件
C: 充要条件
D: 既不充分也不必要条件
答案: 【 充要条件】
1、单选题:
对任意连续函数
,下列描述不正确的是
选项:
A: 任意开集的原像是开集
B:
将开集映成开集
C: 任意开区间的原像是开集
D: 对任意收敛数列,
保持其极限
答案: 【
将开集映成开集】
1、单选题:
f为定义在开区间(a,b)上的任意下凸函数,下列描述不正确的是
选项:
A: f在(a,b)上连续
B: f在(a,b)内任意闭区间上有界
C: f的一阶导函数在(a,b)上连续
D: f在(a,b)内任意闭区间上满足Lipschitz条件
答案: 【 f的一阶导函数在(a,b)上连续】
1、单选题:
是否存在连续函数
,对任意
,(1)f(x)=a恰有两个实数解(2)f(x)=a恰有三个实数解?
选项:
A: (1)(2)均存在
B: (1)(2)均不存在
C: (1)存在但(2)不存在
D: (1)不存在但(2)存在
答案: 【 (1)不存在但(2)存在】
1、单选题:
函数f在
上连续,且对任意的x>0,有
,则
选项:
A: 0
B: -1
C: 1
D: 2
答案: 【 0】
1、判断题:

选项:
A: 正确
B: 错误
答案: 【 错误】
2、判断题:

选项:
A: 正确
B: 错误
答案: 【 错误】
3、判断题:

选项:
A: 正确
B: 错误
答案: 【 正确】
4、判断题:

选项:
A: 正确
B: 错误
答案: 【 正确】
5、判断题:

选项:
A: 正确
B: 错误
答案: 【 错误】
6、判断题:

选项:
A: 正确
B: 错误
答案: 【 正确】
7、判断题:

选项:
A: 正确
B: 错误
答案: 【 正确】
8、判断题:

选项:
A: 正确
B: 错误
答案: 【 错误】
9、判断题:

选项:
A: 正确
B: 错误
答案: 【 错误】
10、判断题:

选项:
A: 正确
B: 错误
答案: 【 正确】
11、判断题:

选项:
A: 正确
B: 错误
答案: 【 错误】
12、判断题:

选项:
A: 正确
B: 错误
答案: 【 正确】
13、判断题:

选项:
A: 正确
B: 错误
答案: 【 正确】
14、判断题:

选项:
A: 正确
B: 错误
答案: 【 错误】
15、判断题:

选项:
A: 正确
B: 错误
答案: 【 错误】
16、判断题:

选项:
A: 正确
B: 错误
答案: 【 错误】
17、判断题:

选项:
A: 正确
B: 错误
答案: 【 正确】
18、判断题:

选项:
A: 正确
B: 错误
答案: 【 错误】
19、判断题:

选项:
A: 正确
B: 错误
答案: 【 正确】
20、判断题:

选项:
A: 正确
B: 错误
答案: 【 正确】
1、单选题:
下例关于黎曼函数描述不正确的是
选项:
A: 是周期为1的周期函数
B: 在R上处处不可导
C: 在任意有理点连续
D: 在任意无理点连续
答案: 【 在任意有理点连续】
1、单选题:
设函数f在x=0处连续,且
,则f'(0)=
选项:
A: 0
B: 不存在
C: 2A
D: A
答案: 【 A】
1、单选题:
设函数f在[a,b]上可导,且f'(a)=f'(b),则存在一点
,使得
=
选项:
A: 
B: 
C: 
D: 
答案: 【
】
1、单选题:
设函数f在[a,b]上二阶可导,且
,则对任意
,下列不等式成立的是
选项:
A: 
B: 
C:
备案号:冀ICP备20010840号 2020-2099辉辉网络科技 All Rights Reserved