

1、单选题:

选项:
A: 
B: 
C: 
D: 
答案: 【
】
2、单选题:

选项:
A:
.
B:
.
C:
.
D:
.
答案: 【
.
】
1、单选题:

选项:
A: 3.
B: 2.
C: 1.
D: 4.
答案: 【 3.】
1、单选题:

选项:
A: 36.
B: 40.
C: 30.
D: 46.
答案: 【 46.】
2、单选题:

选项:
A: 
B: 
C: 
D: 
答案: 【
】
3、单选题:

选项:
A: 1.
B: 0.
C: 2.
D: -1.
答案: 【 0.】
1、单选题:

选项:
A: -24,24,24.
B: -24,24,-24.
C: 24,24,24.
D: 24,24,-24.
答案: 【 24,24,24.】
2、判断题:

选项:
A: 正确
B: 错误
答案: 【 错误】
3、判断题:

选项:
A: 正确
B: 错误
答案: 【 错误】
1、单选题:

选项:
A: 0
B: 1
C: -1
D: 2
答案: 【 0】
2、单选题:

选项:
A: k
B: 8k
C: 2k
D: -2k
答案: 【 -2k】
3、判断题:

选项:
A: 正确
B: 错误
答案: 【 错误】
1、单选题:

选项:
A: 
B: 
C: 
D: 0
答案: 【 0】
2、单选题:

选项:
A: -1
B: 
C: 1
D: 
答案: 【
】
1、单选题:

选项:
A: 
B: 
C: 
D: 
答案: 【
】
2、单选题:

选项:
A: 
B: 
C: 
D: 
答案: 【
】
3、单选题:

选项:
A: 
B: 
C: 
D: 
答案: 【
】
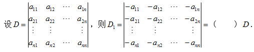
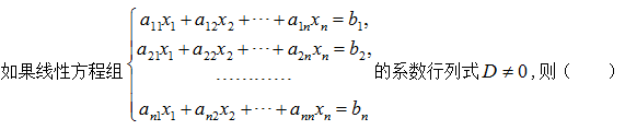
1、单选题:

选项:
A: 该方程组有无穷多组解
B: 该方程组只有零解
C: 该方程组一定有解,且解是唯一的
D: 该方程组无解
答案: 【 该方程组一定有解,且解是唯一的】
1、单选题:

选项:
A: 0
B: -1
C: 1
D: 2
答案: 【 -1】
2、单选题:

选项:
A: 0
B: 1
C: 2
D: 3
答案: 【 2】
1、单选题:

选项:
A: 
B: 
C: 
D: 
答案: 【
】
2、单选题:

选项:
A: -90
B: 0
C: -80
D: 1
答案: 【 -80】
1、单选题:
下列行列式中哪一个是范德蒙行列式( )
选项:
A: 
B: 
C: 
D: 
答案: 【 
】
2、单选题:

选项:
A: 
B: 
C: 
D: 
答案: 【
】
1、单选题:

选项:
A: 
B: 
C: 
D: 
答案: 【
】
2、单选题:

选项:
A: 
B: 
C: 
D: 
答案: 【
】
3、单选题:

选项:
A: 
B: 
C: 
D: 
答案: 【
】
4、单选题:

选项:
A: k=-2
B: k=-1或k=-3
C: k=-1且k=-3
D: k=1或k=-2
答案: 【 k=-1或k=-3】
5、单选题:

选项:
A: 2
B: -2
C: 1
D: -1
答案: 【 2】
6、填空题:

答案: 【 2】
7、填空题:

答案: 【 0】
8、填空题:

答案: 【 -20】
备案号:冀ICP备20010840号 2020-2099辉辉网络科技 All Rights Reserved