

1、单选题:
以下关于矩阵的说法,正确的是( )
选项:
A: 所有元素均为1的矩阵是单位矩阵。
B: 任意矩阵的行数一定等于列数。
C: 矩阵是由一些元素构成的一个数表。
D: 矩阵是由一些元素计算而得的一个数。
答案: 【 矩阵是由一些元素构成的一个数表。】
2、单选题:

选项:
A: 
B: 
C: 
D: 
答案: 【
】
3、单选题:

选项:
A: 1
B: 3
C: 4
D: 7
答案: 【 1】
4、判断题:
若矩阵的行数与列数相等,则该矩阵称为方阵。
选项:
A: 正确
B: 错误
答案: 【 正确】
5、判断题:
零矩阵一定是唯一的。
选项:
A: 正确
B: 错误
答案: 【 错误】
1、单选题:

选项:
A: 
B: 
C: 
D: 
答案: 【
】
2、判断题:

选项:
A: 正确
B: 错误
答案: 【 正确】
3、判断题:

选项:
A: 正确
B: 错误
答案: 【 错误】
4、判断题:

选项:
A: 正确
B: 错误
答案: 【 正确】
5、判断题:

选项:
A: 正确
B: 错误
答案: 【 错误】
1、单选题:

选项:
A: 
B: 
C: 
D: 
答案: 【
】
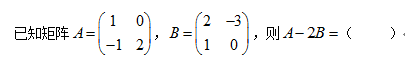
2、单选题:

选项:
A: 
B: 
C: 
D: 
答案: 【
】
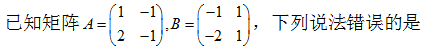
3、单选题:

选项:
A: 
B: 
C: 
D: 
答案: 【
】
4、判断题:

选项:
A: 正确
B: 错误
答案: 【 正确】
5、判断题:

选项:
A: 正确
B: 错误
答案: 【 正确】
6、判断题:

选项:
A: 正确
B: 错误
答案: 【 正确】
7、判断题:
矩阵初等行变换的对换变换是指任意交换矩阵的两行。
选项:
A: 正确
B: 错误
答案: 【 正确】
8、判断题:

选项:
A: 正确
B: 错误
答案: 【 错误】
9、判断题:

选项:
A: 正确
B: 错误
答案: 【 错误】
10、判断题:

选项:
A: 正确
B: 错误
答案: 【 错误】
1、判断题:

选项:
A: 正确
B: 错误
答案: 【 错误】
2、判断题:

选项:
A: 正确
B: 错误
答案: 【 错误】
3、判断题:

选项:
A: 正确
B: 错误
答案: 【 正确】
4、判断题:

选项:
A: 正确
B: 错误
答案: 【 正确】
5、判断题:

选项:
A: 正确
B: 错误
答案: 【 正确】
6、判断题:

选项:
A: 正确
B: 错误
答案: 【 正确】
1、单选题:

选项:
A: 
B: 
C: 
D: 
答案: 【
】
2、单选题:

选项:
A: 
B: 
C: 
D: 
答案: 【
】
3、单选题:

选项:
A: 
B: 
C: 
D: 
答案: 【
】
4、单选题:

选项:
A: 
B: 
C: 
D: 
答案: 【
】
5、单选题:

选项:
A: 
B: 
C: 
D: 
答案: 【
】
6、判断题:

选项:
A: 正确
B: 错误
答案: 【 正确】
7、判断题:

选项:
A: 正确
B: 错误
答案: 【 错误】
8、判断题:

选项:
A: 正确
B: 错误
答案: 【 正确】
9、判断题:

选项:
A: 正确
B: 错误
答案: 【 错误】
10、判断题:

选项:
A: 正确
B: 错误
答案: 【 错误】
1、单选题:

选项:
A: 
B: 
C: 
D: 
答案: 【
】
2、单选题:

选项:
A: 
B: 
C:
备案号:冀ICP备20010840号 2020-2099辉辉网络科技 All Rights Reserved